A window function is an SQL function where the input values are taken from a "window" of one or more rows in the results set of a SELECT statement.
Window functions are distinguished from other SQL functions by the presence of an OVER clause. If a function has an OVER clause, then it is a window function. If it lacks an OVER clause, then it is an ordinary aggregate or scalar function. Window functions might also have a FILTER clause in between the function and the OVER clause.
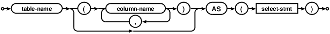
The syntax for a window function is like this:
Unlike ordinary functions, window functions cannot use the DISTINCT keyword. Also, Window functions may only appear in the result set and in the ORDER BY clause of a SELECT statement.
Window functions come in two varieties: aggregate window functions and built-in window functions. Every aggregate window function can also work as a ordinary aggregate function, simply by omitting the OVER and FILTER clauses. Furthermore, all of the built-in aggregate functions of SQLite can be used as an aggregate window function by adding an appropriate OVER clause. Applications can register new aggregate window functions using the sqlite3_create_window_function() interface. The built-in window functions, however, require special-case handling in the query planner and hence new window functions that exhibit the exceptional properties found in the built-in window functions cannot be added by the application.
Here is an example using the built-in row_number() window function:
CREATE TABLE t0(x INTEGER PRIMARY KEY, y TEXT); INSERT INTO t0 VALUES (1, 'aaa'), (2, 'ccc'), (3, 'bbb'); -- The following SELECT statement returns: -- -- x | y | row_number ----------------------- -- 1 | aaa | 1 -- 2 | ccc | 3 -- 3 | bbb | 2 -- SELECT x, y, row_number() OVER (ORDER BY y) AS row_number FROM t0 ORDER BY x;
The row_number() window function assigns consecutive integers to each row in order of the "ORDER BY" clause within the window-defn (in this case "ORDER BY y"). Note that this does not affect the order in which results are returned from the overall query. The order of the final output is still governed by the ORDER BY clause attached to the SELECT statement (in this case "ORDER BY x").
Named window-defn clauses may also be added to a SELECT statement using a WINDOW clause and then referred to by name within window function invocations. For example, the following SELECT statement contains two named window-defs clauses, "win1" and "win2":
SELECT x, y, row_number() OVER win1, rank() OVER win2
FROM t0
WINDOW win1 AS (ORDER BY y RANGE BETWEEN UNBOUNDED PRECEDING AND CURRENT ROW),
win2 AS (PARTITION BY y ORDER BY x)
ORDER BY x;
The WINDOW clause, when one is present, comes after any HAVING clause and before any ORDER BY.
The examples in this section all assume that the database is populated as follows:
CREATE TABLE t1(a INTEGER PRIMARY KEY, b, c);
INSERT INTO t1 VALUES (1, 'A', 'one' ),
(2, 'B', 'two' ),
(3, 'C', 'three'),
(4, 'D', 'one' ),
(5, 'E', 'two' ),
(6, 'F', 'three'),
(7, 'G', 'one' );
An aggregate window function is similar to an ordinary aggregate function, except adding it to a query does not change the number of rows returned. Instead, for each row the result of the aggregate window function is as if the corresponding aggregate were run over all rows in the "window frame" specified by the OVER clause.
-- The following SELECT statement returns: -- -- a | b | group_concat ------------------------- -- 1 | A | A.B -- 2 | B | A.B.C -- 3 | C | B.C.D -- 4 | D | C.D.E -- 5 | E | D.E.F -- 6 | F | E.F.G -- 7 | G | F.G -- SELECT a, b, group_concat(b, '.') OVER ( ORDER BY a ROWS BETWEEN 1 PRECEDING AND 1 FOLLOWING ) AS group_concat FROM t1;
In the example above, the window frame consists of all rows between the previous row ("1 PRECEDING") and the following row ("1 FOLLOWING"), inclusive, where rows are sorted according to the ORDER BY clause in the window-defn (in this case "ORDER BY a"). For example, the frame for the row with (a=3) consists of rows (2, 'B', 'two'), (3, 'C', 'three') and (4, 'D', 'one'). The result of group_concat(b, '.') for that row is therefore 'B.C.D'.
All of SQLite's aggregate functions may be used as aggregate window functions. It is also possible to create user-defined aggregate window functions.
For the purpose of computing window functions, the result set of a query is divided into one or more "partitions". A partition consists of all rows that have the same value for all terms of the PARTITION BY clause in the window-defn. If there is no PARTITION BY clause, then the entire result set of the query is a single partition. Window-function processing is performed separately for each partition.
For example:
-- The following SELECT statement returns: -- -- c | a | b | group_concat --------------------------------- -- one | 1 | A | A.D.G -- one | 4 | D | D.G -- one | 7 | G | G -- three | 3 | C | C.F -- three | 6 | F | F -- two | 2 | B | B.E -- two | 5 | E | E -- SELECT c, a, b, group_concat(b, '.') OVER ( PARTITION BY c ORDER BY a RANGE BETWEEN CURRENT ROW AND UNBOUNDED FOLLOWING ) AS group_concat FROM t1 ORDER BY c, a;
In the query above, the "PARTITION BY c" clause breaks the result set up into three partitions. The first partition has three rows with c=='one'. The second partition has two rows with c=='three' and the third partition has two rows with c=='two'.
In the example above, all the rows for each partition are grouped together in the final output. This is because the PARTITION BY clause is a prefix of the ORDER BY clause on the overall query. But that does not have to be the case. A partition can be composed of rows scattered about haphazardly within the result set. For example:
-- The following SELECT statement returns: -- -- c | a | b | group_concat --------------------------------- -- one | 1 | A | A.D.G -- two | 2 | B | B.E -- three | 3 | C | C.F -- one | 4 | D | D.G -- two | 5 | E | E -- three | 6 | F | F -- one | 7 | G | G -- SELECT c, a, b, group_concat(b, '.') OVER ( PARTITION BY c ORDER BY a RANGE BETWEEN CURRENT ROW AND UNBOUNDED FOLLOWING ) AS group_concat FROM t1 ORDER BY a;
The frame-spec determines which output rows are read by an aggregate window function. The frame-spec consists of four parts:
Here are the syntax details:
The ending frame boundary can be omitted (if the BETWEEN and AND keywords that surround the starting frame boundary are also omitted), in which case the ending frame boundary defaults to CURRENT ROW.
If the frame type is RANGE or GROUPS, then rows with the same values for all ORDER BY expressions are considered "peers". Or, if there are no ORDER BY terms, all rows are peers. Peers are always within the same frame.
The default frame-spec is:
RANGE BETWEEN UNBOUNDED PRECEDING AND CURRENT ROW EXCLUDE NO OTHERS
The default means that aggregate window functions read all rows from the beginning of the partition up to and including the current row and its peers. This implies that rows that have the same values for all ORDER BY expressions will also have the same value for the result of the window function (as the window frame is the same). For example:
-- The following SELECT statement returns:
--
-- a | b | c | group_concat
-----------------------------
-- 1 | A | one | A.D.G
-- 2 | B | two | A.D.G.C.F.B.E
-- 3 | C | three | A.D.G.C.F
-- 4 | D | one | A.D.G
-- 5 | E | two | A.D.G.C.F.B.E
-- 6 | F | three | A.D.G.C.F
-- 7 | G | one | A.D.G
--
SELECT a, b, c,
group_concat(b, '.') OVER (ORDER BY c) AS group_concat
FROM t1 ORDER BY a;
There are three frame types: ROWS, GROUPS, and RANGE. The frame type determines how the starting and ending boundaries of the frame are measured.
ROWS: The ROWS frame type means that the starting and ending boundaries for the frame are determined by counting individual rows relative to the current row.
GROUPS: The GROUPS frame type means that the starting and ending boundaries are determine by counting "groups" relative to the current group. A "group" is a set of rows that all have equivalent values for all all terms of the window ORDER BY clause. ("Equivalent" means that the IS operator is true when comparing the two values.) In other words, a group consists of all peers of a row.
RANGE: The RANGE frame type requires that the ORDER BY clause of the window have exactly one term. Call that term "X". With the RANGE frame type, the elements of the frame are determined by computing the value of expression X for all rows in the partition and framing those rows for which the value of X is within a certain range of the value of X for the current row. See the description in the "<expr> PRECEDING" boundary specification below for details.
The ROWS and GROUPS frame types are similar in that they both determine the extent of a frame by counting relative to the current row. The difference is that ROWS counts individual rows and GROUPS counts peer groups. The RANGE frame type is different. The RANGE frame type determines the extent of a frame by looking for expression values that are within some band of values relative to the current row.
There are five ways to describe starting and ending frame boundaries:
UNBOUNDED PRECEDING
The frame boundary is the first
row in the partition.
<expr> PRECEDING
<expr> must be a non-negative constant numeric expression.
The boundary is a row that is <expr> "units" prior to
the current row. The meaning of "units" here depends on the
frame type:
ROWS → The frame boundary is the row that is <expr> rows before the current row, or the first row of the partition if there are fewer than <expr> rows before the current row. <expr> must be an integer.
GROUPS → A "group" is a set of peer rows - rows that all have the same values for every term in the ORDER BY clause. The frame boundary is the group that is <expr> groups before the group containing the current row, or the first group of the partition if there are fewer than <expr> groups before the current row. For the starting boundary of a frame, the first row of the group is used and for the ending boundary of a frame, the last row of the group is used. <expr> must be an integer.
RANGE → For this form, the ORDER BY clause of the window-defn must have a single term. Call that ORDER BY term "X". Let Xi be the value of the X expression for the i-th row in the partition and let Xc be the value of X for the current row. Informally, a RANGE bound is the first row for which Xi is within the <expr> of Xc. More precisely:
CURRENT ROW
The current row. For RANGE and GROUPS frame types,
peers of the current row are also included in the frame,
unless specifically excluded by the EXCLUDE clause.
This is true regardless of whether CURRENT ROW is used
as the starting or ending frame boundary.
<expr> FOLLOWING
This is the same as "<expr> PRECEDING" except that
the boundary is <expr> units after the current
rather than before the current row.
UNBOUNDED FOLLOWING
The frame boundary is the last
row in the partition.
The ending frame boundary may not take a form that appears higher in the above list than the starting frame boundary.
In the following example, the window frame for each row consists of all rows from the current row to the end of the set, where rows are sorted according to "ORDER BY a".
-- The following SELECT statement returns: -- -- c | a | b | group_concat --------------------------------- -- one | 1 | A | A.D.G.C.F.B.E -- one | 4 | D | D.G.C.F.B.E -- one | 7 | G | G.C.F.B.E -- three | 3 | C | C.F.B.E -- three | 6 | F | F.B.E -- two | 2 | B | B.E -- two | 5 | E | E -- SELECT c, a, b, group_concat(b, '.') OVER ( ORDER BY c, a ROWS BETWEEN CURRENT ROW AND UNBOUNDED FOLLOWING ) AS group_concat FROM t1 ORDER BY c, a;
The optional EXCLUDE clause may take any of the following four forms:
EXCLUDE NO OTHERS: This is the default. In this case no rows are excluded from the window frame as defined by its starting and ending frame boundaries.
EXCLUDE CURRENT ROW: In this case the current row is excluded from the window frame. Peers of the current row remain in the frame for the GROUPS and RANGE frame types.
EXCLUDE GROUP: In this case the current row and all other rows that are peers of the current row are excluded from the frame. When processing an EXCLUDE clause, all rows with the same ORDER BY values, or all rows in the partition if there is no ORDER BY clause, are considered peers, even if the frame type is ROWS.
EXCLUDE TIES: In this case the current row is part of the frame, but peers of the current row are excluded.
The following example demonstrates the effect of the various forms of the EXCLUDE clause:
-- The following SELECT statement returns:
--
-- c | a | b | no_others | current_row | grp | ties
-- one | 1 | A | A.D.G | D.G | | A
-- one | 4 | D | A.D.G | A.G | | D
-- one | 7 | G | A.D.G | A.D | | G
-- three | 3 | C | A.D.G.C.F | A.D.G.F | A.D.G | A.D.G.C
-- three | 6 | F | A.D.G.C.F | A.D.G.C | A.D.G | A.D.G.F
-- two | 2 | B | A.D.G.C.F.B.E | A.D.G.C.F.E | A.D.G.C.F | A.D.G.C.F.B
-- two | 5 | E | A.D.G.C.F.B.E | A.D.G.C.F.B | A.D.G.C.F | A.D.G.C.F.E
--
SELECT c, a, b,
group_concat(b, '.') OVER (
ORDER BY c GROUPS BETWEEN UNBOUNDED PRECEDING AND CURRENT ROW EXCLUDE NO OTHERS
) AS no_others,
group_concat(b, '.') OVER (
ORDER BY c GROUPS BETWEEN UNBOUNDED PRECEDING AND CURRENT ROW EXCLUDE CURRENT ROW
) AS current_row,
group_concat(b, '.') OVER (
ORDER BY c GROUPS BETWEEN UNBOUNDED PRECEDING AND CURRENT ROW EXCLUDE GROUP
) AS grp,
group_concat(b, '.') OVER (
ORDER BY c GROUPS BETWEEN UNBOUNDED PRECEDING AND CURRENT ROW EXCLUDE TIES
) AS ties
FROM t1 ORDER BY c, a;
If a FILTER clause is provided, then only rows for which the expr is true are included in the window frame. The aggregate window still returns a value for every row, but those for which the FILTER expression evaluates to other than true are not included in the window frame for any row. For example:
-- The following SELECT statement returns: -- -- c | a | b | group_concat --------------------------------- -- one | 1 | A | A -- two | 2 | B | A -- three | 3 | C | A.C -- one | 4 | D | A.C.D -- two | 5 | E | A.C.D -- three | 6 | F | A.C.D.F -- one | 7 | G | A.C.D.F.G -- SELECT c, a, b, group_concat(b, '.') FILTER (WHERE c!='two') OVER ( ORDER BY a ) AS group_concat FROM t1 ORDER BY a;
As well as aggregate window functions, SQLite features a set of built-in window functions based on those supported by PostgreSQL.
Built-in window functions honor any PARTITION BY clause in the same way as aggregate window functions - each selected row is assigned to a partition and each partition is processed separately. The ways in which any ORDER BY clause affects each built-in window function is described below. Some of the window functions (rank(), dense_rank(), percent_rank() and ntile()) use the concept of "peer groups" (rows within the same partition that have the same values for all ORDER BY expressions). In these cases, it does not matter whether the frame-spec specifies ROWS, GROUPS, or RANGE. For the purposes of built-in window function processing, rows with the same values for all ORDER BY expressions are considered peers regardless of the frame type.
Most built-in window functions ignore the frame-spec, the exceptions being first_value(), last_value() and nth_value(). It is a syntax error to specify a FILTER clause as part of a built-in window function invocation.
SQLite supports the following 11 built-in window functions:
row_number()
The number of the row within the current partition. Rows are numbered starting from 1 in the order defined by the ORDER BY clause in the window definition, or in arbitrary order otherwise.
rank()
The row_number() of the first peer in each group - the rank of the current row with gaps. If there is no ORDER BY clause, then all rows are considered peers and this function always returns 1.
dense_rank()
The number of the current row's peer group within its partition - the rank of the current row without gaps. Partitions are numbered starting from 1 in the order defined by the ORDER BY clause in the window definition. If there is no ORDER BY clause, then all rows are considered peers and this function always returns 1.
percent_rank()
Despite the name, this function always returns a value between 0.0 and 1.0 equal to (rank - 1)/(partition-rows - 1), where rank is the value returned by built-in window function rank() and partition-rows is the total number of rows in the partition. If the partition contains only one row, this function returns 0.0.
cume_dist()
The cumulative distribution. Calculated as row-number/partition-rows, where row-number is the value returned by row_number() for the last peer in the group and partition-rows the number of rows in the partition.
ntile(N)
Argument N is handled as an integer. This function divides the partition into N groups as evenly as possible and assigns an integer between 1 and N to each group, in the order defined by the ORDER BY clause, or in arbitrary order otherwise. If necessary, larger groups occur first. This function returns the integer value assigned to the group that the current row is a part of.
lag(expr)
lag(expr, offset)
lag(expr, offset, default)
The first form of the lag() function returns the result of evaluating expression expr against the previous row in the partition. Or, if there is no previous row (because the current row is the first), NULL.
If the offset argument is provided, then it must be a non-negative integer. In this case the value returned is the result of evaluating expr against the row offset rows before the current row within the partition. If offset is 0, then expr is evaluated against the current row. If there is no row offset rows before the current row, NULL is returned.
If default is also provided, then it is returned instead of NULL if the row identified by offset does not exist.
lead(expr)
lead(expr, offset)
lead(expr, offset, default)
The first form of the lead() function returns the result of evaluating expression expr against the next row in the partition. Or, if there is no next row (because the current row is the last), NULL.
If the offset argument is provided, then it must be a non-negative integer. In this case the value returned is the result of evaluating expr against the row offset rows after the current row within the partition. If offset is 0, then expr is evaluated against the current row. If there is no row offset rows after the current row, NULL is returned.
If default is also provided, then it is returned instead of NULL if the row identified by offset does not exist.
first_value(expr)
This built-in window function calculates the window frame for each row in the same way as an aggregate window function. It returns the value of expr evaluated against the first row in the window frame for each row.
last_value(expr)
This built-in window function calculates the window frame for each row in the same way as an aggregate window function. It returns the value of expr evaluated against the last row in the window frame for each row.
nth_value(expr, N)
This built-in window function calculates the window frame for each row in the same way as an aggregate window function. It returns the value of expr evaluated against the row N of the window frame. Rows are numbered within the window frame starting from 1 in the order defined by the ORDER BY clause if one is present, or in arbitrary order otherwise. If there is no Nth row in the partition, then NULL is returned.
The examples in this section all assume the following data:
CREATE TABLE t2(a, b);
INSERT INTO t2 VALUES('a', 'one'),
('a', 'two'),
('a', 'three'),
('b', 'four'),
('c', 'five'),
('c', 'six');
The following example illustrates the behaviour of the five ranking functions - row_number(), rank(), dense_rank(), percent_rank() and cume_dist().
-- The following SELECT statement returns:
--
-- a | row_number | rank | dense_rank | percent_rank | cume_dist
------------------------------------------------------------------
-- a | 1 | 1 | 1 | 0.0 | 0.5
-- a | 2 | 1 | 1 | 0.0 | 0.5
-- a | 3 | 1 | 1 | 0.0 | 0.5
-- b | 4 | 4 | 2 | 0.6 | 0.66
-- c | 5 | 5 | 3 | 0.8 | 1.0
-- c | 6 | 5 | 3 | 0.8 | 1.0
--
SELECT a AS a,
row_number() OVER win AS row_number,
rank() OVER win AS rank,
dense_rank() OVER win AS dense_rank,
percent_rank() OVER win AS percent_rank,
cume_dist() OVER win AS cume_dist
FROM t2
WINDOW win AS (ORDER BY a);
The example below uses ntile() to divide the six rows into two groups (the ntile(2) call) and into four groups (the ntile(4) call). For ntile(2), there are three rows assigned to each group. For ntile(4), there are two groups of two and two groups of one. The larger groups of two appear first.
-- The following SELECT statement returns:
--
-- a | b | ntile_2 | ntile_4
----------------------------------
-- a | one | 1 | 1
-- a | two | 1 | 1
-- a | three | 1 | 2
-- b | four | 2 | 2
-- c | five | 2 | 3
-- c | six | 2 | 4
--
SELECT a AS a,
b AS b,
ntile(2) OVER win AS ntile_2,
ntile(4) OVER win AS ntile_4
FROM t2
WINDOW win AS (ORDER BY a);
The next example demonstrates lag(), lead(), first_value(), last_value() and nth_value(). The frame-spec is ignored by both lag() and lead(), but respected by first_value(), last_value() and nth_value().
-- The following SELECT statement returns:
--
-- b | lead | lag | first_value | last_value | nth_value_3
-------------------------------------------------------------
-- A | C | NULL | A | A | NULL
-- B | D | A | A | B | NULL
-- C | E | B | A | C | C
-- D | F | C | A | D | C
-- E | G | D | A | E | C
-- F | n/a | E | A | F | C
-- G | n/a | F | A | G | C
--
SELECT b AS b,
lead(b, 2, 'n/a') OVER win AS lead,
lag(b) OVER win AS lag,
first_value(b) OVER win AS first_value,
last_value(b) OVER win AS last_value,
nth_value(b, 3) OVER win AS nth_value_3
FROM t1
WINDOW win AS (ORDER BY b ROWS BETWEEN UNBOUNDED PRECEDING AND CURRENT ROW)
Window chaining is a shorthand that allows one window to be defined in terms of another. Specifically, the shorthand allows the new window to implicitly copy the PARTITION BY and optionally ORDER BY clauses of the base window. For example, in the following:
SELECT group_concat(b, '.') OVER ( win ROWS BETWEEN UNBOUNDED PRECEDING AND CURRENT ROW ) FROM t1 WINDOW win AS (PARTITION BY a ORDER BY c)
the window used by the group_concat() function is equivalent to "PARTITION BY a ORDER BY c ROWS BETWEEN UNBOUNDED PRECEDING AND CURRENT ROW". In order to use window chaining, all of the following must be true:
The new window definition must not include a PARTITION BY clause. The PARTITION BY clause, if there is one, must be supplied by the base window specification.
If the base window has an ORDER BY clause, it is copied into the new window. In this case the new window must not specify an ORDER BY clause. If the base window has no ORDER BY clause, one may be specified as part of the new window definition.
The base window may not specify a frame specification. The frame specification can only be given in the new window specification.
The two fragments of SQL below are similar, but not entirely equivalent, as the latter will fail if the definition of window "win" contains a frame specification.
SELECT group_concat(b, '.') OVER win ... SELECT group_concat(b, '.') OVER (win) ...
User-defined aggregate window functions may be created using the sqlite3_create_window_function() API. Implementing an aggregate window function is very similar to an ordinary aggregate function. Any user-defined aggregate window function may also be used as an ordinary aggregate. To implement a user-defined aggregate window function the application must supply four callback functions:
| Callback | Description |
|---|---|
| xStep | This method is required by both window aggregate and legacy aggregate function implementations. It is invoked to add a row to the current window. The function arguments, if any, corresponding to the row being added are passed to the implementation of xStep. |
| xFinal | This method is required by both window aggregate and legacy aggregate function implementations. It is invoked to return the current value of the aggregate (determined by the contents of the current window), and to free any resources allocated by earlier calls to xStep. |
| xValue | This method is only required window aggregate functions, not legacy aggregate function implementations. It is invoked to return the current value of the aggregate. Unlike xFinal, the implementation should not delete any context. |
| xInverse | This method is only required window aggregate functions, not legacy aggregate function implementations. It is invoked to remove a row from the current window. The function arguments, if any, correspond to the row being removed. |
The C code below implements a simple window aggregate function named sumint(). This works in the same way as the built-in sum() function, except that it throws an exception if passed an argument that is not an integer value.
/* ** xStep for sumint(). ** ** Add the value of the argument to the aggregate context (an integer). */ static void sumintStep( sqlite3_context *ctx, int nArg, sqlite3_value *apArg[] ){ sqlite3_int64 *pInt; assert( nArg==1 ); if( sqlite3_value_type(apArg[0])!=SQLITE_INTEGER ){ sqlite3_result_error(ctx, "invalid argument", -1); return; } pInt = (sqlite3_int64*)sqlite3_aggregate_context(ctx, sizeof(sqlite3_int64)); if( pInt ){ *pInt += sqlite3_value_int64(apArg[0]); } } /* ** xInverse for sumint(). ** ** This does the opposite of xStep() - subtracts the value of the argument ** from the current context value. The error checking can be omitted from ** this function, as it is only ever called after xStep() (so the aggregate ** context has already been allocated) and with a value that has already ** been passed to xStep() without error (so it must be an integer). */ static void sumintInverse( sqlite3_context *ctx, int nArg, sqlite3_value *apArg[] ){ sqlite3_int64 *pInt; assert( sqlite3_value_type(apArg[0])==SQLITE_INTEGER ); pInt = (sqlite3_int64*)sqlite3_aggregate_context(ctx, sizeof(sqlite3_int64)); *pInt -= sqlite3_value_int64(apArg[0]); } /* ** xFinal for sumint(). ** ** Return the current value of the aggregate window function. Because ** this implementation does not allocate any resources beyond the buffer ** returned by sqlite3_aggregate_context, which is automatically freed ** by the system, there are no resources to free. And so this method is ** identical to xValue(). */ static void sumintFinal(sqlite3_context *ctx){ sqlite3_int64 res = 0; sqlite3_int64 *pInt; pInt = (sqlite3_int64*)sqlite3_aggregate_context(ctx, 0); if( pInt ) res = *pInt; sqlite3_result_int64(ctx, res); } /* ** xValue for sumint(). ** ** Return the current value of the aggregate window function. Because */ static void sumintValue(sqlite3_context *ctx){ sqlite3_int64 res = 0; sqlite3_int64 *pInt; pInt = (sqlite3_int64*)sqlite3_aggregate_context(ctx, 0); if( pInt ) res = *pInt; sqlite3_result_int64(ctx, res); } /* ** Register sumint() window aggregate with database handle db. */ int register_sumint(sqlite3 *db){ return sqlite3_create_window_function(db, "sumint", 1, SQLITE_UTF8, 0, sumintStep, sumintFinal, sumintValue, sumintInverse, 0 ); }
The following example uses the sumint() function implemented by the above C code. For each row, the window consists of the preceding row (if any), the current row and the following row (again, if any):
CREATE TABLE t3(x, y);
INSERT INTO t3 VALUES('a', 4),
('b', 5),
('c', 3),
('d', 8),
('e', 1);
-- Assuming the database is populated using the above script, the
-- following SELECT statement returns:
--
-- x | sum_y
--------------
-- a | 9
-- b | 12
-- c | 16
-- d | 12
-- e | 9
--
SELECT x, sumint(y) OVER (
ORDER BY x ROWS BETWEEN 1 PRECEDING AND 1 FOLLOWING
) AS sum_y
FROM t3 ORDER BY x;
In processing the query above, SQLite invokes the sumint callbacks as follows:
Window function support was first added to SQLite with release version 3.25.0 (2018-09-15). The SQLite developers used the PostgreSQL window function documentation as their primary reference for how window functions ought to behave. Many test cases have been run against PostgreSQL to ensure that window functions operate the same way in both SQLite and PostgreSQL.
In SQLite version 3.28.0 (2019-04-16), windows function support was extended to include the EXCLUDE clause, GROUPS frame types, window chaining, and support for "<expr> PRECEDING" and "<expr> FOLLOWING" boundaries in RANGE frames.