This website requires JavaScript.
Explore
Help
Register
Sign In
root
/
campo-sirio
Watch
1
Star
0
Fork
0
You've already forked campo-sirio
Code
Issues
Pull Requests
Packages
Projects
Releases
Wiki
Activity
campo-sirio
/
libraries
/
SQLite3
/
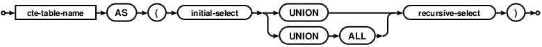
sqlite-doc-3330000
/
images
/
syntax
/
recursive-cte.gif
Alessandro Bonazzi
5c7aa8c1c0
Patch level : 12.0 no-patch
...
Files correlati : Commento : Aggiunta documentazione di sqlite 3
2020-11-29 00:32:36 +01:00
7.1 KiB
780x68px
Raw
History