Requirements consist of excerpts from the documentation. A requirement is usually a one-sentence excerpt but might be a sentence fragment, multiple sentences, a table, or a GIF image of a bubble syntax diagram.
Requirements are written in conversational English and without the modal auxiliary verb "shall". This grows out of the fact that requirements are taken from the documentation. The intended audience for the documentation is application programmers. "Shall" language is appropriate when the audience consist of contract specialists, QA auditors, and lawyers, but it interferes with comprehension when the audience is application programmers. Hence, in order to best serve the intended audience, the "shall" language is omitted.
Requirements are sufficiently detailed and precise to permit a 100% compatible clean-room reimplementation of SQLite.
The word "requirement" in common English usage implies an ordering: that the requirement comes before the implementation. But there is no such ordering with SQLite requirements. What are called "requirements" in SQLite are better described as "testable statements of truth about the behavior of the system".
Every testable statement of truth about SQLite in the documentation becomes a requirement.
Requirement numbers are the MD5 hash of the requirement itself.
Requirements are inherently immutable, since any change to the requirement results in a completely different requirement number.
For text requirements, the text is normalized prior to computing the MD5 hash:
For GIF syntax diagram requirements, the MD5 hash is computed over the entire content of the GIF image file.
The MD5 hash is expressed in human-readable form as follows:
R-N-N-N-N-N-N-N-NWhere each N is a 5-digit number between 00000 and 65536 that represents 16 bits of the 128-bit MD5 hash.
Requirements may be referenced by any unique prefix of their complete requirement number.
Text requirements are automatically extracted from the documentation by scripts that run as part of the documentation build process.
After requirements have been extracted from the documentation, the requirement markers "^", "^(", and ")^" are removed from the documentation text. This is done automatically by the documentation build scripts.
To avoid collisions with these requirements delimiters, "^" characters that are part of the text of a requirement or that are otherwise found in the documentation, should be coded as "^".
<img alt="syntax diagram NAME" src="FILE">Where NAME is the name of the syntax diagram and FILE is the name of the GIF file containing the syntax diagram.
Syntax diagram requirements are automatically extracted from the documentation by scripts that run as part of the documentation build process.
The GIF file is the requirement, not the HTML markup that references the GIF file nor the diagram name.
The documentation that contains the requirement text is generated by scripts that use as input files from both files in the documentation fossil repository and comments in the source code.
The key comes first and is separated from the value by a single "=" character. (source: uri.html, matrix: context, detail)
The third argument, aCoord[], is an array of nCoord coordinates that defines a bounding box to be tested. (source: rtree.html, matrix: context, detail)
Simply setting the locking-mode to NORMAL is not enough - locks are not released until the next time the database file is accessed. (source: pragma.html, checked-by: th3/req1/pragma04.test, matrix: context, detail)
A virtual table module is created by filling in a persistent instance of this structure and passing a pointer to that instance to sqlite3_create_module() or sqlite3_create_module_v2(). (source: c3ref/module.html, matrix: context, detail)
SQLITE_TOOBIG might be returned if the size of a string or BLOB exceeds limits imposed by sqlite3_limit(SQLITE_LIMIT_LENGTH) or SQLITE_MAX_LENGTH. (source: c3ref/bind_blob.html, checked-by: th3/cov1/vdbeapi03.test, matrix: context, detail)
SQLite automatically serializes calls to the xInit method, so the xInit method need not be threadsafe. (source: c3ref/pcache_methods2.html, checked-by: src/main.c, matrix: context, detail)
In such cases, duplicate elements are filtered before being passed into the aggregate function. (source: lang_aggfunc.html, checked-by: th3/req1/aggfunc01.test, matrix: context, detail)
The rank of the column within the index. (0 means left-most. Key columns come before auxiliary columns.) (source: pragma.html, checked-by: tcl/pragma.test, th3/req1/pragma15x.test, matrix: context, detail)
Contrary to the intuition of many, sqlite3_reset() does not reset the bindings on a prepared statement. (source: c3ref/clear_bindings.html, checked-by: th3/req1/clearbind01.test, matrix: context, detail)
Assuming there are no other indices, the query above would result in a full table scan. (source: optoverview.html, matrix: context, detail)
To create a WITHOUT ROWID table, simply add the keywords "WITHOUT ROWID" to the end of the CREATE TABLE statement. For example: CREATE TABLE IF NOT EXISTS wordcount( word TEXT PRIMARY KEY, cnt INTEGER ) WITHOUT ROWID; (source: withoutrowid.html, checked-by: tcl/without_rowid5.test, th3/cov1/withoutrowid01.test, matrix: context, detail)
Otherwise, an expression has no affinity. (source: datatype3.html, checked-by: th3/req1/datatype3_05.test, matrix: context, detail)
A UNIQUE constraint is similar to a PRIMARY KEY constraint, except that a single table may have any number of UNIQUE constraints. (source: lang_createtable.html, checked-by: tcl/e_createtable.test, matrix: context, detail)
If the declared type of the column contains any of the strings "CHAR", "CLOB", or "TEXT" then that column has TEXT affinity. (source: datatype3.html, checked-by: th3/req1/datatype3_01.test, matrix: context, detail)
The initial "INSERT" keyword can be replaced by "REPLACE" or "INSERT OR action" to specify an alternative constraint conflict resolution algorithm to use during that one INSERT command. (source: lang_insert.html, checked-by: tcl/e_insert.test, matrix: context, detail)
Returning to the example in section 1, each time an application deletes a row from the artist table (the parent table), it performs the equivalent of the following SELECT statement to search for referencing rows in the track table (the child table). SELECT rowid FROM track WHERE trackartist = ? where ? in the above is replaced with the value of the artistid column of the record being deleted from the artist table (recall that the trackartist column is the child key and the artistid column is the parent key). (source: foreignkeys.html, checked-by: tcl/e_fkey.test, th3/req1/foreignkeys10.test, matrix: context, detail)
This SQL function is implemented using the sqlite3_result_zeroblob() routine from the C/C++ interface. (source: lang_corefunc.html, checked-by: src/func.c, matrix: context, detail)
The T argument is one of the integer type codes above. (source: c3ref/c_trace.html, checked-by: th3/cov1/trace01.test, matrix: context, detail)
aConstraint[].usable is TRUE if the expr on the right-hand side can be evaluated (and thus the constraint is usable) and false if it cannot. (source: c3ref/index_info.html, matrix: context, detail)
PRAGMA temp_store; PRAGMA temp_store = 0 | DEFAULT | 1 | FILE | 2 | MEMORY; Query or change the setting of the "temp_store" parameter. (source: pragma.html, matrix: context, detail)
The subquery and outer query do not both use LIMIT. (source: optoverview.html, matrix: context, detail)
The view definition is removed from the database schema, but no actual data in the underlying base tables is modified. (source: lang_dropview.html, checked-by: tcl/e_dropview.test, matrix: context, detail)
PRAGMA schema.default_cache_size; PRAGMA schema.default_cache_size = Number-of-pages; This pragma queries or sets the suggested maximum number of pages of disk cache that will be allocated per open database file. (source: pragma.html, checked-by: th3/req1/pragma09.test, matrix: context, detail)
If the parent key columns have a UNIQUE index, then that index must use the collation sequences that are specified in the CREATE TABLE statement for the parent table. (source: foreignkeys.html, checked-by: tcl/e_fkey.test, th3/req1/foreignkeys07.test, matrix: context, detail)
The filename argument can be a URI filename if URI filename processing is enable on the database connection. (source: lang_attach.html, checked-by: th3/cov1/sharedcache03.test, matrix: context, detail)
For the purposes of UNIQUE constraints, NULL values are considered distinct from all other values, including other NULLs. (source: lang_createtable.html, checked-by: tcl/e_createtable.test, matrix: context, detail)
The sqlite3_get_table() function evaluates one or more semicolon-separated SQL statements in the zero-terminated UTF-8 string of its 2nd parameter and returns a result table to the pointer given in its 3rd parameter. (source: c3ref/free_table.html, checked-by: th3/req1/gettable01.test, matrix: context, detail)
The number of extra bytes needed by the page header can be determined using SQLITE_CONFIG_PCACHE_HDRSZ. (source: c3ref/c_config_covering_index_scan.html, checked-by: th3/cov1/main42.test, matrix: context, detail)
This feature allows WAL databases to be created, read, and written by legacy VFSes that lack the "version 2" shared-memory methods xShmMap, xShmLock, xShmBarrier, and xShmUnmap on the sqlite3_io_methods object. (source: wal.html, checked-by: tcl/e_wal.test, th3/req1/pragma05.test, matrix: context, detail)
In any aggregate function that takes a single argument, that argument can be preceded by the keyword DISTINCT. (source: lang_aggfunc.html, checked-by: th3/req1/aggfunc01.test, matrix: context, detail)
The second column is the rowid of the row that contains the invalid REFERENCES clause, or NULL if the child table is a WITHOUT ROWID table. (source: pragma.html, checked-by: tcl/fkey5.test, th3/cov1/fkey23.test, matrix: context, detail)
(source: syntax/create-view-stmt.html, matrix: context, detail)
Statistics gathered by ANALYZE are not automatically updated as the content of the database changes. (source: lang_analyze.html, checked-by: th3/req1/analyze01.test, matrix: context, detail)
The sqlite3_str_finish(X) interface may return a NULL pointer if any errors were encountered during construction of the string. (source: c3ref/str_finish.html, matrix: context, detail)
A negative LIMIT value is interpreted as "no limit". (source: lang_delete.html, checked-by: tcl/e_delete.test, matrix: context, detail)
If a schema name is specified as part of an object reference, it must be either "main", or "temp" or the schema-name of an attached database. (source: lang_naming.html, checked-by: tcl/e_resolve.test, matrix: context, detail)
The expression "x BETWEEN y and z" is logically equivalent to two comparisons "x >= y AND x <= z" and works with respect to collating functions as if it were two separate comparisons. (source: datatype3.html, checked-by: th3/req1/datatype3_10.test, matrix: context, detail)
If parameter zDb is NULL or points to a zero length string, then the specified operation is attempted on all WAL databases attached to database connection db. (source: c3ref/wal_checkpoint_v2.html, checked-by: tcl/e_walckpt.test, matrix: context, detail)
The legacy xGeom callback is invoked with four arguments. (source: rtree.html, matrix: context, detail)
The COMMIT command may be used to release all savepoints and commit the transaction even if the transaction was originally started by a SAVEPOINT command instead of a BEGIN command. (source: lang_savepoint.html, matrix: context, detail)
Ptrmap pages must exist in any database file which has a non-zero largest root b-tree page value at offset 52 in the database header. (source: fileformat2.html, matrix: context, detail)
The sqlite3_wal_hook() function is used to register a callback that is invoked each time data is committed to a database in wal mode. (source: c3ref/wal_hook.html, checked-by: tcl/e_walhook.test, matrix: context, detail)
Compute the number of days since the signing of the US Declaration of Independence. SELECT julianday('now') - julianday('1776-07-04'); (source: lang_datefunc.html, checked-by: th3/req1/date01.test, matrix: context, detail)
(source: syntax/create-virtual-table-stmt.html, matrix: context, detail)
If the xCompare argument is NULL then the collating function is deleted. (source: c3ref/create_collation.html, checked-by: th3/req1/createcoll01.test, matrix: context, detail)
If neither argument to nullif() defines a collating function then the BINARY is used. (source: lang_corefunc.html, checked-by: th3/req1/func03.test, matrix: context, detail)
The prefix option must be set to a comma separated list of positive non-zero integers. (source: fts3.html, matrix: context, detail)
The SQLITE_CONFIG_PAGECACHE option specifies a memory pool that SQLite can use for the database page cache with the default page cache implementation. (source: c3ref/c_config_covering_index_scan.html, checked-by: th3/cov1/main42.test, matrix: context, detail)
For each value N in the list, prefixes of length N bytes (when encoded using UTF-8) are indexed. (source: fts3.html, matrix: context, detail)
These routines return 1 if the input string appears to be a complete SQL statement. (source: c3ref/complete.html, checked-by: th3/cov1/complete01.test, matrix: context, detail)
The foreign key for table child5 is an error because even though the parent key column has a unique index, the index uses a different collating sequence. (source: foreignkeys.html, checked-by: tcl/e_fkey.test, th3/req1/foreignkeys07.test, matrix: context, detail)
With the legacy interface, a more specific error code (for example, SQLITE_INTERRUPT, SQLITE_SCHEMA, SQLITE_CORRUPT, and so forth) can be obtained by calling sqlite3_reset() on the prepared statement. (source: c3ref/step.html, matrix: context, detail)
The values returned by sqlite3_memory_used() and sqlite3_memory_highwater() include any overhead added by SQLite in its implementation of sqlite3_malloc(), but not overhead added by the any underlying system library routines that sqlite3_malloc() may call. (source: c3ref/memory_highwater.html, matrix: context, detail)
Each component query of a compound query (UNION, UNION ALL, EXCEPT or INTERSECT) is assigned computed separately and is given its own line in the EXPLAIN QUERY PLAN output. (source: eqp.html, matrix: context, detail)
The sqlite3_result_zeroblob(C,N) and sqlite3_result_zeroblob64(C,N) interfaces set the result of the application-defined function to be a BLOB containing all zero bytes and N bytes in size. (source: c3ref/result_blob.html, checked-by: th3/req1/result01.test, matrix: context, detail)
It is usually an error to attempt to create a new table in a database that already contains a table, index or view of the same name. (source: lang_createtable.html, checked-by: tcl/e_createtable.test, matrix: context, detail)
If X is a NULL pointer then sqlite3_msize(X) returns zero. (source: c3ref/free.html, checked-by: th3/req1/malloc02.test, matrix: context, detail)
The second form (with a numeric argument) sets the limit for the specified database, or for all databases if the optional database name is omitted. (source: pragma.html, matrix: context, detail)
If neither ALL or DISTINCT are present, then the behavior is as if ALL were specified. (source: lang_select.html, checked-by: tcl/e_select.test, matrix: context, detail)
The result of load_extension() is always a NULL. (source: lang_corefunc.html, checked-by: th3/cov1/func03.test, matrix: context, detail)
This function sets the database handle error code and message. (source: c3ref/blob_reopen.html, checked-by: th3/req1/blob01.test, matrix: context, detail)
The unlikely(X) function is short-hand for likelihood(X,0.0625). (source: lang_corefunc.html, checked-by: src/resolve.c, matrix: context, detail)
The sqlite_source_id() function returns a string that identifies the specific version of the source code that was used to build the SQLite library. (source: lang_corefunc.html, checked-by: th3/req1/func04.test, matrix: context, detail)
Hence, the histogram data which is collected no left-most column of indices is useless in helping to choose between the range constraints on columns x and y. (source: optoverview.html, matrix: context, detail)
When a new database is created, SQLite assigns a page size to the database based on platform and filesystem. (source: pragma.html, matrix: context, detail)
Before any information-bearing page of the database is modified, the original unmodified content of that page is written into the rollback journal. (source: fileformat2.html, matrix: context, detail)
The first argument to the trace callback is one of the following constants. (source: c3ref/c_trace.html, checked-by: th3/cov1/trace01.test, matrix: context, detail)
The "sz=NNN" argument (where NNN represents a sequence of 1 or more digits) means that the average row size over all records of the table or index is NNN bytes per row. (source: fileformat2.html, matrix: context, detail)
If the statement that caused the trigger program to execute is itself part of a trigger program, then that trigger program resumes execution at the beginning of the next step. (source: lang_createtrigger.html, matrix: context, detail)
However, only "rowid" works as the keyword in the CREATE TABLE statement. (source: withoutrowid.html, checked-by: tcl/without_rowid5.test, th3/cov1/withoutrowid01.test, matrix: context, detail)
When xSavepoint(X,N) is invoked, that is a signal to the virtual table X that it should save its current state as savepoint N. (source: vtab.html, matrix: context, detail)
As the components of a compound SELECT must be simple SELECT statements, they may not contain ORDER BY or LIMIT clauses. (source: lang_select.html, checked-by: tcl/e_select.test, matrix: context, detail)
The length returned by sqlite3_str_length(X) does not include the zero-termination byte. (source: c3ref/str_errcode.html, matrix: context, detail)
The sqlite_stat4.sample BLOB for the WITHOUT ROWID table itself contains just the columns of the primary key. (source: fileformat2.html, matrix: context, detail)
The DROP TABLE statement removes a table added with the CREATE TABLE statement. (source: lang_droptable.html, matrix: context, detail)
The sqlite3_value_type(V) interface returns the datatype code for the initial datatype of the sqlite3_value object V. The returned value is one of SQLITE_INTEGER, SQLITE_FLOAT, SQLITE_TEXT, SQLITE_BLOB, or SQLITE_NULL. (source: c3ref/value_blob.html, checked-by: src/func.c, matrix: context, detail)
The first integer on a freelist trunk page is the page number of the next freelist trunk page in the list or zero if this is the last freelist trunk page. (source: fileformat2.html, checked-by: src/btree.c, matrix: context, detail)
Note that max() is a simple function when it has 2 or more arguments but operates as an aggregate function if given only a single argument. (source: lang_corefunc.html, checked-by: th3/req1/func05.test, matrix: context, detail)
xUnpin() is called by SQLite with a pointer to a currently pinned page as its second argument. (source: c3ref/pcache_methods2.html, matrix: context, detail)
When the EXPLAIN QUERY PLAN phrase appears, the statement returns high-level information regarding the query plan that would have been used. (source: lang_explain.html, checked-by: th3/cov1/vdbeaux01.test, matrix: context, detail)
The "vfs" parameter may be used to specify the name of a VFS object that provides the operating system interface that should be used to access the database file on disk. (source: c3ref/open.html, checked-by: tcl/e_uri.test, matrix: context, detail)
The schema of the sqlite_stat3 table is as follows: CREATE TABLE sqlite_stat3(tbl,idx,nEq,nLt,nDLt,sample); (source: fileformat2.html, matrix: context, detail)
The sqlite_stat4.nDLt column holds a list of N integers where the K-th integer is the approximate number of entries in the index that are distinct in the first K columns and where the left-most K columns are collectively less than the left-most K columns of the sample. (source: fileformat2.html, matrix: context, detail)
When enabled, this PRAGMA causes many SELECT statements without an ORDER BY clause to emit their results in the reverse order from what they normally would. (source: pragma.html, checked-by: th3/req1/pragma27.test, matrix: context, detail)
It is safe to call this routine from a thread different from the thread that is currently running the database operation. (source: c3ref/interrupt.html, matrix: context, detail)
If the sub-query is a compound select, then it must not use an ORDER BY clause. (source: optoverview.html, matrix: context, detail)
SQLite always opens immutable database files read-only and it skips all file locking and change detection on immutable database files. (source: uri.html, matrix: context, detail)
The third argument is the value to bind to the parameter. (source: c3ref/bind_blob.html, checked-by: th3/req1/bind01.test, matrix: context, detail)
These functions return information about the Nth result column returned by the statement, where N is the second function argument. (source: c3ref/column_database_name.html, matrix: context, detail)
Value is a big-endian 32-bit twos-complement integer. (source: fileformat2.html, checked-by: src/vdbeaux.c, th3/req1/fileformat02.test, matrix: context, detail)
SQLite automatically frees the memory allocated by sqlite3_aggregate_context() when the aggregate query concludes. (source: c3ref/aggregate_context.html, checked-by: th3/req1/aggcntx01.test, matrix: context, detail)
When the right operand of an IN or NOT IN operator is a subquery, the subquery must have the same number of columns as there are columns in the row value of the left operand. (source: lang_expr.html, checked-by: th3/cov1/rowvalue06.test, matrix: context, detail)
Abs(X) returns 0.0 if X is a string or blob that cannot be converted to a numeric value. (source: lang_corefunc.html, checked-by: src/func.c, th3/cov1/func01.test, matrix: context, detail)
This option is used to enable or disable triggers. (source: c3ref/c_dbconfig_defensive.html, checked-by: th3/cov1/main34.test, matrix: context, detail)
This character may be used in the LIKE pattern to include literal percent or underscore characters. (source: lang_expr.html, checked-by: tcl/e_expr.test, matrix: context, detail)
For the purposes of detecting duplicate rows, two NULL values are considered to be equal. (source: lang_select.html, checked-by: tcl/e_select.test, matrix: context, detail)
A NOT NULL constraint may only be attached to a column definition, not specified as a table constraint. (source: lang_createtable.html, checked-by: tcl/e_createtable.test, matrix: context, detail)
The 2nd argument to the sqlite3_exec() callback function is the number of columns in the result. (source: c3ref/exec.html, checked-by: th3/req1/exec01.test, matrix: context, detail)
The SQLITE_CONFIG_PMASZ option takes a single parameter which is an unsigned integer and sets the "Minimum PMA Size" for the multithreaded sorter to that integer. (source: c3ref/c_config_covering_index_scan.html, matrix: context, detail)
The net effect is that putting the ON or USING clause expressions for a LEFT JOIN in the WHERE clause effectively converts the query to an ordinary INNER JOIN - albeit an inner join that runs more slowly. (source: optoverview.html, matrix: context, detail)
The argument X in sqlite3_file_control(db,SQLITE_FCNTL_VFS_POINTER,X) must be of type "sqlite3_vfs **". This opcodes will set *X to a pointer to the top-level VFS. (source: c3ref/c_fcntl_begin_atomic_write.html, matrix: context, detail)
Subject to filtering associated with the DISTINCT keyword, the number of rows returned by an aggregate query with a GROUP BY clause is the same as the number of groups of rows produced by applying the GROUP BY and HAVING clauses to the filtered input dataset. (source: lang_select.html, checked-by: tcl/e_select.test, matrix: context, detail)
The heap limits are not enforced in the current implementation if one or more of following conditions are true: The limit value is set to zero. Memory accounting is disabled using a combination of the sqlite3_config(SQLITE_CONFIG_MEMSTATUS,...) start-time option and the SQLITE_DEFAULT_MEMSTATUS compile-time option. An alternative page cache implementation is specified using sqlite3_config(SQLITE_CONFIG_PCACHE2,...). The page cache allocates from its own memory pool supplied by sqlite3_config(SQLITE_CONFIG_PAGECACHE,...) rather than from the heap. (source: c3ref/hard_heap_limit64.html, checked-by: th3/req1/softheaplimit02.test, matrix: context, detail)
The value returned is one of SQLITE_ROLLBACK, SQLITE_IGNORE, SQLITE_FAIL, SQLITE_ABORT, or SQLITE_REPLACE, according to the ON CONFLICT mode of the SQL statement that triggered the call to the xUpdate method of the virtual table. (source: c3ref/vtab_on_conflict.html, matrix: context, detail)
The %n format is silently ignored and does not consume an argument. (source: lang_corefunc.html, checked-by: tcl/printf2.test, th3/cov1/printf08.test, matrix: context, detail)
If the most recent sqlite3_* API call associated with database connection D failed, then the sqlite3_errcode(D) interface returns the numeric result code or extended result code for that API call. (source: c3ref/errcode.html, matrix: context, detail)
The sqlite3_initialize() routine initializes the SQLite library. (source: c3ref/initialize.html, matrix: context, detail)
SQLite has three built-in collating functions: BINARY, NOCASE, and RTRIM. (source: datatype3.html, checked-by: th3/req1/datatype3_09.test, matrix: context, detail)
The second argument is the number of coordinates in each r-tree entry, and is always the same for any given R*Tree. (source: rtree.html, matrix: context, detail)
(source: syntax/aggregate-function-invocation.html, matrix: context, detail)
The first two constants (SQLITE_MUTEX_FAST and SQLITE_MUTEX_RECURSIVE) cause sqlite3_mutex_alloc() to create a new mutex. (source: c3ref/mutex_alloc.html, matrix: context, detail)
This in-memory database will vanish when the database connection is closed. (source: c3ref/open.html, checked-by: th3/cov1/sharedcache03.test, matrix: context, detail)
sqlite> EXPLAIN QUERY PLAN SELECT c, d FROM t2 ORDER BY c; QUERY PLAN |--SCAN TABLE t2 `--USE TEMP B-TREE FOR ORDER BY (source: eqp.html, matrix: context, detail)
Formats 8 through 10 that specify only a time assume a date of 2000-01-01. (source: lang_datefunc.html, checked-by: th3/req1/date01.test, matrix: context, detail)
One can explicitly change out of WAL mode using a pragma such as this: PRAGMA journal_mode=DELETE; (source: wal.html, checked-by: tcl/e_wal.test, matrix: context, detail)
PRAGMA stats; (source: pragma.html, checked-by: th3/cov1/index02.test, matrix: context, detail)
If the filename is an empty string, then a private, temporary on-disk database will be created. (source: c3ref/open.html, matrix: context, detail)
The built-in functions used to implement LIKE and GLOB must not have been overloaded using the sqlite3_create_function() API. (source: optoverview.html, matrix: context, detail)
This pragma only changes the behavior of the SQL LIKE operator. It does not change the behavior of the sqlite3_strlike() C-language interface, which is always case insensitive. (source: pragma.html, matrix: context, detail)
The SQLITE_TRACE_SIZE_LIMIT compile-time option limits the size of bound parameter expansions. (source: c3ref/expanded_sql.html, checked-by: th3/cov1/main16.test, matrix: context, detail)
The filename for the database to be attached is the value of the expression that occurs before the AS keyword. (source: lang_attach.html, checked-by: th3/req1/attach01.test, matrix: context, detail)
In a compound SELECT statement, only the last or right-most simple SELECT may have an ORDER BY clause. (source: lang_select.html, checked-by: tcl/select4.test, th3/req1/select02.test, matrix: context, detail)
Any new SQL statements that are started after the sqlite3_interrupt() call and before the running statement count reaches zero are interrupted as if they had been running prior to the sqlite3_interrupt() call. (source: c3ref/interrupt.html, matrix: context, detail)
If the result of the evaluating the LIMIT clause cannot be losslessly converted to an integer value, it is an error. (source: lang_delete.html, checked-by: tcl/e_delete.test, matrix: context, detail)
zProc may be 0, in which case SQLite will try to come up with an entry point name on its own. It first tries "sqlite3_extension_init". If that does not work, it constructs a name "sqlite3_X_init" where the X is consists of the lower-case equivalent of all ASCII alphabetic characters in the filename from the last "/" to the first following "." and omitting any initial "lib". (source: c3ref/load_extension.html, matrix: context, detail)
Note that it is not necessary for all coordinates in an R*Tree index to be constrained in order for the index search to be efficient. (source: rtree.html, matrix: context, detail)
This option sets the threading mode to Single-thread. (source: c3ref/c_config_covering_index_scan.html, checked-by: src/main.c, matrix: context, detail)
A cast of a REAL value into an INTEGER results in the integer between the REAL value and zero that is closest to the REAL value. (source: lang_expr.html, checked-by: tcl/e_expr.test, matrix: context, detail)
A sequence number assigned to each index for internal tracking purposes. (source: pragma.html, checked-by: tcl/pragma.test, th3/req1/pragma15.test, matrix: context, detail)
The VACUUM INTO command works the same way except that it uses the file named on the INTO clause in place of the temporary database and omits the step of copying the vacuumed database back over top of the original database. (source: lang_vacuum.html, matrix: context, detail)
The cell pointer array consists of K 2-byte integer offsets to the cell contents. (source: fileformat2.html, checked-by: src/btree.c, matrix: context, detail)
The name of the database or table or column can be returned as either a UTF-8 or UTF-16 string. (source: c3ref/column_database_name.html, matrix: context, detail)
The multi-argument min() function returns the argument with the minimum value. (source: lang_corefunc.html, checked-by: th3/cov1/func02.test, th3/req1/func03.test, matrix: context, detail)
All journal headers within the same journal must contain the same database page size and sector size. (source: fileformat2.html, matrix: context, detail)
Compute the date and time given a unix timestamp 1092941466, and compensate for your local timezone. SELECT datetime(1092941466, 'unixepoch', 'localtime'); (source: lang_datefunc.html, checked-by: th3/req1/date01.test, matrix: context, detail)
Transactions created using BEGIN...COMMIT do not nest. (source: lang_transaction.html, matrix: context, detail)
The sqlite3_str object is created using sqlite3_str_new(). (source: c3ref/str.html, matrix: context, detail)
The sqlite3_drop_modules(D,L) interface removes all virtual table modules from database connection D except those named on list L. (source: c3ref/drop_modules.html, matrix: context, detail)
Common table expression are not supported for statements inside of triggers. (source: lang_createtrigger.html, matrix: context, detail)
A power failure or program crash or OS crash will cause the outer-most transaction to rollback, undoing all changes that have occurred within that outer transaction, even changes that have supposedly been "committed" by the RELEASE command. (source: lang_savepoint.html, matrix: context, detail)
In order to maintain full backwards compatibility for legacy applications, the URI filename capability is disabled by default. (source: uri.html, checked-by: src/global.c, matrix: context, detail)
If the LIMIT expression evaluates to a negative value, then there is no upper bound on the number of rows returned. (source: lang_select.html, checked-by: tcl/e_select.test, matrix: context, detail)
The DBSTAT virtual table is available on all database connections when SQLite is built using the SQLITE_ENABLE_DBSTAT_VTAB compile-time option. (source: dbstat.html, matrix: context, detail)
To change auto-vacuum modes, first use the auto_vacuum pragma to set the new desired mode, then invoke the VACUUM command to reorganize the entire database file. (source: pragma.html, checked-by: th3/req1/pragma07.test, matrix: context, detail)
In SQLite version 3. (source: lang_transaction.html, matrix: context, detail)
If sqlite3_backup_step() cannot obtain a required file-system lock, then the busy-handler function is invoked (if one is specified). (source: c3ref/backup_finish.html, matrix: context, detail)
The memory space used to hold strings and BLOBs is freed automatically. (source: c3ref/column_blob.html, checked-by: th3/req1/column01.test, th3/req1/column02.test, th3/req1/column03.test, matrix: context, detail)
The English language error message for foreign key DML errors is usually "foreign key mismatch" but can also be "no such table" if the parent table does not exist. (source: foreignkeys.html, checked-by: tcl/e_fkey.test, th3/req1/foreignkeys07.test, matrix: context, detail)
This function closes an open BLOB handle. (source: c3ref/blob_close.html, checked-by: tcl/e_blobclose.test, matrix: context, detail)
sqlite> CREATE INDEX i4 ON t2(c); sqlite> EXPLAIN QUERY PLAN SELECT c, d FROM t2 ORDER BY c; QUERY PLAN `--SCAN TABLE t2 USING INDEX i4 (source: eqp.html, matrix: context, detail)
Applications can invoke the SQLITE_FCNTL_TEMPFILENAME file-control to have SQLite generate a temporary filename using the same algorithm that is followed to generate temporary filenames for TEMP tables and other internal uses. (source: c3ref/c_fcntl_begin_atomic_write.html, matrix: context, detail)
The iif(X,Y,Z) function returns the value Y if X is true, and Z otherwise. (source: lang_corefunc.html, matrix: context, detail)
The strings returned by sqlite3_sql(P) and sqlite3_normalized_sql(P) are managed by SQLite and are automatically freed when the prepared statement is finalized. (source: c3ref/expanded_sql.html, checked-by: th3/req1/sql01.test, matrix: context, detail)
As each SQL statement runs, the schema version is checked to ensure that the schema has not changed since the SQL statement was prepared. (source: pragma.html, checked-by: src/vdbe.c, th3/req1/pragma28.test, matrix: context, detail)
The callback function registered by sqlite3_profile() is invoked as each SQL statement finishes. (source: c3ref/profile.html, checked-by: th3/cov1/main16.test, matrix: context, detail)
In formats 4, 7, and 10, the fractional seconds value SS.SSS can have one or more digits following the decimal point. Exactly three digits are shown in the examples because only the first three digits are significant to the result, but the input string can have fewer or more than three digits and the date/time functions will still operate correctly. (source: lang_datefunc.html, checked-by: th3/req1/date01.test, matrix: context, detail)
sqlite> EXPLAIN QUERY PLAN SELECT (SELECT b FROM t1 WHERE a=0), (SELECT a FROM t1 WHERE b=t2.c) FROM t2; |--SCAN TABLE t2 USING COVERING INDEX i4 |--SCALAR SUBQUERY | `--SEARCH TABLE t1 USING COVERING INDEX i2 (a=?) `--CORRELATED SCALAR SUBQUERY `--SEARCH TABLE t1 USING INDEX i3 (b=?) (source: eqp.html, matrix: context, detail)
If the configured action is "SET NULL", then when a parent key is deleted (for ON DELETE SET NULL) or modified (for ON UPDATE SET NULL), the child key columns of all rows in the child table that mapped to the parent key are set to contain SQL NULL values. (source: foreignkeys.html, checked-by: tcl/e_fkey.test, th3/req1/foreignkeys16.test, matrix: context, detail)
This saves disk I/O but at the expense of database safety and integrity. (source: pragma.html, checked-by: th3/req1/pragma25.test, matrix: context, detail)
A column with affinity BLOB does not prefer one storage class over another and no attempt is made to coerce data from one storage class into another. (source: datatype3.html, checked-by: th3/req1/datatype3_01.test, matrix: context, detail)
A value of 2 means UTF-16le. (source: fileformat2.html, checked-by: th3/req1/fileformat03.test, matrix: context, detail)
If the 4th parameter to the sqlite3_result_text* interfaces or sqlite3_result_blob is a non-NULL pointer, then SQLite calls that function as the destructor on the text or BLOB result when it has finished using that result. (source: c3ref/result_blob.html, checked-by: th3/req1/result02.test, matrix: context, detail)
For a trigger, the tbl_name column stores the name of the table or view that causes the trigger to fire. (source: fileformat2.html, matrix: context, detail)
Each term of the ORDER BY clause is processed separately and may be matched against result columns from different SELECT statements in the compound. (source: lang_select.html, checked-by: tcl/e_select.test, matrix: context, detail)
If P<=X then all P bytes of payload are stored directly on the btree page without overflow. (source: fileformat2.html, matrix: context, detail)
This routine returns SQLITE_OK if shared cache was enabled or disabled successfully. An error code is returned otherwise. (source: c3ref/enable_shared_cache.html, matrix: context, detail)
The REPLACE command is an alias for the "INSERT OR REPLACE" variant of the INSERT command. (source: lang_replace.html, checked-by: tcl/e_insert.test, th3/req1/replace01.test, matrix: context, detail)
If the SELECT statement is a simple SELECT, then an ORDER BY may contain any arbitrary expressions. (source: lang_select.html, checked-by: tcl/e_select.test, matrix: context, detail)
In an ordinary rowid table, the index entry always ends with the rowid even if the INTEGER PRIMARY KEY column is one of the columns being indexed. (source: fileformat2.html, checked-by: th3/req1/fileformat04.test, matrix: context, detail)
Application code can delete all entries from the sqlite_sequence table, but application code cannot drop the sqlite_sequence table. (source: fileformat2.html, matrix: context, detail)
If this function needs to obtain extra database locks before dirty pages can be flushed to disk, it does so. (source: c3ref/db_cacheflush.html, matrix: context, detail)
Each new VFS becomes the default VFS if the makeDflt flag is set. (source: c3ref/vfs_find.html, checked-by: th3/req1/vfs01.test, matrix: context, detail)
The sqlite3.h header file defines C-preprocessor macros SQLITE_UTF8 as 1, SQLITE_UTF16LE as 2, and SQLITE_UTF16BE as 3, to use in place of the numeric codes for the text encoding. (source: fileformat2.html, checked-by: th3/cov1/main01.test, matrix: context, detail)
For the index above and WHERE clause like this: ... WHERE a=5 AND b IN (1,2,3) AND c IS NULL AND d='hello' The first four columns a, b, c, and d of the index would be usable since those four columns form a prefix of the index and are all bound by equality constraints. (source: optoverview.html, matrix: context, detail)
The languageid option causes the FTS4 table to have an additional hidden integer column that identifies the language of the text contained in each row. (source: fts3.html, matrix: context, detail)
SQLITE_DBSTATUS_CACHE_USED_SHARED This parameter is similar to DBSTATUS_CACHE_USED, except that if a pager cache is shared between two or more connections the bytes of heap memory used by that pager cache is divided evenly between the attached connections. (source: c3ref/c_dbstatus_options.html, matrix: context, detail)
The SQLITE_CONFIG_LOOKASIDE option takes two arguments that determine the default size of lookaside memory on each database connection. The first argument is the size of each lookaside buffer slot and the second is the number of slots allocated to each database connection. (source: c3ref/c_config_covering_index_scan.html, checked-by: th3/th3main.c, matrix: context, detail)
Equals can be either = or ==. (source: lang_expr.html, checked-by: tcl/e_expr.test, matrix: context, detail)
The database name is "main" for the main database, "temp" for the temporary database, or the name specified after the AS keyword in an ATTACH statement for an attached database. (source: c3ref/backup_finish.html, checked-by: th3/req1/backup02.test, matrix: context, detail)
Rowid values may be modified using an UPDATE statement in the same way as any other column value can, either using one of the built-in aliases ("rowid", "oid" or "_rowid_") or by using an alias created by an integer primary key. (source: lang_createtable.html, checked-by: tcl/e_createtable.test, matrix: context, detail)
In the legacy interface, the return value will be either SQLITE_BUSY, SQLITE_DONE, SQLITE_ROW, SQLITE_ERROR, or SQLITE_MISUSE. (source: c3ref/step.html, matrix: context, detail)
If an element of a result row is NULL then the corresponding string pointer for the sqlite3_exec() callback is a NULL pointer. (source: c3ref/exec.html, checked-by: th3/req1/exec01.test, matrix: context, detail)
For CURRENT_DATE, "YYYY-MM-DD". (source: lang_createtable.html, checked-by: tcl/e_createtable.test, matrix: context, detail)
In a compound SELECT, the LIMIT clause applies to the entire compound, not just the final SELECT. (source: lang_select.html, checked-by: tcl/limit.test, th3/req1/select02.test, matrix: context, detail)
If you ever delete rows or if you ever create a row with the maximum possible ROWID, then ROWIDs from previously deleted rows might be reused when creating new rows and newly created ROWIDs might not be in strictly ascending order. (source: autoinc.html, checked-by: th3/req1/autoinc01.test, matrix: context, detail)
This private database will be automatically deleted as soon as the database connection is closed. (source: c3ref/open.html, matrix: context, detail)
When running in shared-cache mode, a database operation may fail with an SQLITE_LOCKED error if the required locks on the shared-cache or individual tables within the shared-cache cannot be obtained. (source: c3ref/unlock_notify.html, matrix: context, detail)
The sqlite3_bind_pointer(S,I,P,T,D) routine causes the I-th parameter in prepared statement S to have an SQL value of NULL, but to also be associated with the pointer P of type T. (source: c3ref/bind_blob.html, checked-by: th3/cov1/carray01.test, matrix: context, detail)
If the input text contains no SQL (if the input is an empty string or a comment) then *ppStmt is set to NULL. (source: c3ref/prepare.html, checked-by: th3/req1/prepare01.test, matrix: context, detail)
If the PRIMARY KEY of a WITHOUT ROWID tables uses the same columns with the same collating sequence more than once, then the second and subsequent occurrences of that column in the PRIMARY KEY definition are ignored. (source: fileformat2.html, matrix: context, detail)
SELECT objname FROM demo_index2 WHERE contained_in(boundary, :boundary) AND minX>=-81.0 AND maxX<=-79.6 AND minY>=35.0 AND maxY>=36.2; (source: rtree.html, matrix: context, detail)
If the flags parameter is zero, the BLOB is opened for read-only access. (source: c3ref/blob_open.html, checked-by: tcl/e_blobopen.test, th3/cov1/vdbeblob01.test, matrix: context, detail)
However, changing from "none" to "full" or "incremental" can only occur when the database is new (no tables have yet been created) or by running the VACUUM command. (source: pragma.html, checked-by: th3/req1/pragma07.test, matrix: context, detail)
Only a single authorizer can be in place on a database connection at a time. Each call to sqlite3_set_authorizer overrides the previous call. (source: c3ref/set_authorizer.html, checked-by: tcl/auth.test, th3/cov1/auth01.test, matrix: context, detail)
The M parameter must be a valid checkpoint mode: (source: c3ref/wal_checkpoint_v2.html, checked-by: src/main.c, tcl/e_walckpt.test, matrix: context, detail)
SAVEPOINTs are a method of creating transactions, similar to BEGIN and COMMIT, except that the SAVEPOINT and RELEASE commands are named and may be nested. (source: lang_savepoint.html, matrix: context, detail)
To do so, a foreign key definition may be added by modifying the declaration of the track table to the following: CREATE TABLE track( trackid INTEGER, trackname TEXT, trackartist INTEGER, FOREIGN KEY(trackartist) REFERENCES artist(artistid) ); (source: foreignkeys.html, checked-by: tcl/e_fkey.test, th3/req1/foreignkeys01.test, matrix: context, detail)
If the HAVING clause is an aggregate expression, it is evaluated across all rows in the group. (source: lang_select.html, checked-by: tcl/e_select.test, matrix: context, detail)
If no collating function is explicitly defined, then the collating function defaults to BINARY. (source: datatype3.html, checked-by: th3/req1/datatype3_09.test, matrix: context, detail)
A call to sqlite3_interrupt(D) that occurs when there are no running SQL statements is a no-op and has no effect on SQL statements that are started after the sqlite3_interrupt() call returns. (source: c3ref/interrupt.html, matrix: context, detail)
One can add a VIRTUAL column, however. (source: gencol.html, matrix: context, detail)
To cast a BLOB value to TEXT, the sequence of bytes that make up the BLOB is interpreted as text encoded using the database encoding. (source: lang_expr.html, checked-by: tcl/e_expr.test, matrix: context, detail)
The operator % outputs the integer value of its left operand modulo its right operand. (source: lang_expr.html, checked-by: tcl/e_expr.test, matrix: context, detail)
This statement detaches an additional database connection previously attached using the ATTACH statement. (source: lang_detach.html, matrix: context, detail)
Collation names that compare equal according to sqlite3_strnicmp() are considered to be the same name. (source: c3ref/create_collation.html, checked-by: th3/req1/createcoll01.test, matrix: context, detail)
The sqlite3_close() and sqlite3_close_v2() routines are destructors for the sqlite3 object. (source: c3ref/close.html, checked-by: th3/th3util.c, matrix: context, detail)
A single zero-byte separates the xOpen filename argument from the key of the first query parameters, each key and value, and each subsequent key from the prior value. (source: uri.html, matrix: context, detail)
When comparing values, if the parent key column has an affinity, then that affinity is applied to the child key value before the comparison is performed. (source: foreignkeys.html, checked-by: tcl/e_fkey.test, th3/req1/foreignkeys03.test, matrix: context, detail)
The "RESTRICT" action means that the application is prohibited from deleting (for ON DELETE RESTRICT) or modifying (for ON UPDATE RESTRICT) a parent key when there exists one or more child keys mapped to it. (source: foreignkeys.html, checked-by: tcl/e_fkey.test, th3/req1/foreignkeys16.test, matrix: context, detail)
If the X parameter to sqlite3_realloc(X,N) is a NULL pointer then its behavior is identical to calling sqlite3_malloc(N). (source: c3ref/free.html, checked-by: src/malloc.c, th3/req1/malloc02.test, matrix: context, detail)
The first parameter "n" is the total size of the buffer, including space for the zero terminator. (source: c3ref/mprintf.html, checked-by: th3/req1/malloc01.test, matrix: context, detail)
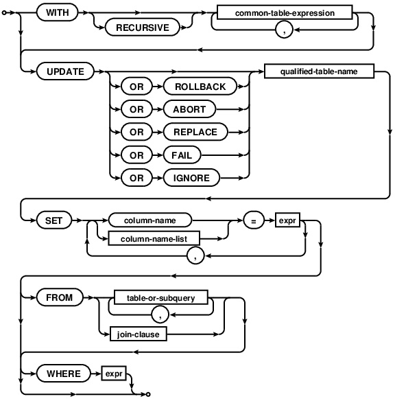
(source: syntax/update-stmt.html, matrix: context, detail)
When the callback returns SQLITE_DENY, the sqlite3_prepare_v2() or equivalent call that triggered the authorizer will fail with an error message explaining that access is denied. (source: c3ref/set_authorizer.html, checked-by: tcl/auth.test, th3/cov1/auth01.test, matrix: context, detail)
If the subquery is the right operand of a LEFT JOIN then the subquery may not be a join, and the FROM clause of the subquery may not contain a virtual table, and the outer query may not be an aggregate. (source: optoverview.html, matrix: context, detail)
The third argument is the number of slots. (source: c3ref/c_dbconfig_defensive.html, checked-by: src/main.c, th3/req1/dbconfig01.test, matrix: context, detail)
The built-in iif(x,y,z) SQL function is logically equivalent to "CASE WHEN x THEN y ELSE z END". (source: lang_expr.html, matrix: context, detail)
Or, if the dataset contains zero rows, then each non-aggregate expression is evaluated against a row consisting entirely of NULL values. (source: lang_select.html, checked-by: tcl/e_select.test, matrix: context, detail)
The LIKE operator is case sensitive by default for unicode characters that are beyond the ASCII range. (source: lang_expr.html, checked-by: tcl/e_expr.test, matrix: context, detail)
Tables in an attached database can be referred to using the syntax schema-name.table-name. (source: lang_attach.html, checked-by: th3/req1/attach01.test, matrix: context, detail)
In this case all scalar expressions are evaluated before any assignments are made. (source: lang_update.html, checked-by: tcl/e_update.test, matrix: context, detail)
(source: syntax/analyze-stmt.html, matrix: context, detail)
If V is a NULL pointer then sqlite3_value_free(V) is a harmless no-op. (source: c3ref/value_dup.html, matrix: context, detail)
The schema of the sqlite_stat4 table is as follows: CREATE TABLE sqlite_stat4(tbl,idx,nEq,nLt,nDLt,sample); (source: fileformat2.html, matrix: context, detail)
The rewritten term then might go on to constrain an index using the normal rules for *IN* operators. (source: optoverview.html, matrix: context, detail)
The two syntaxes yield identical results. (source: pragma.html, checked-by: th3/req1/pragma01.test, matrix: context, detail)
The SQLITE_CONFIG_WIN32_HEAPSIZE option is only available if SQLite is compiled for Windows with the SQLITE_WIN32_MALLOC pre-processor macro defined. (source: c3ref/c_config_covering_index_scan.html, checked-by: src/main.c, matrix: context, detail)
(source: syntax/column-def.html, matrix: context, detail)
Any number of levels of indirection are allowed. (source: c3ref/unlock_notify.html, matrix: context, detail)
If a ROLLBACK operation occurs on the same database connection as a pending read or write, then the pending read or write may fail with an SQLITE_ABORT or SQLITE_ABORT_ROLLBACK error. (source: rescode.html, checked-by: th3/cov1/vdbe14.test, matrix: context, detail)
An attempt to change the journal_mode of an in-memory database to any setting other than MEMORY or OFF is ignored. (source: pragma.html, checked-by: th3/req1/pragma23.test, matrix: context, detail)
Information about the ORDER BY clause is stored in aOrderBy[]. (source: c3ref/index_info.html, matrix: context, detail)
SQLite uses dynamic run-time typing. (source: c3ref/column_decltype.html, matrix: context, detail)
The sqlite_compileoption_get() SQL function is a wrapper around the sqlite3_compileoption_get() C/C++ function. (source: lang_corefunc.html, checked-by: src/func.c, th3/cov1/ctime02.test, matrix: context, detail)
If the NATURAL keyword is in the join-operator then an implicit USING clause is added to the join-constraints. The implicit USING clause contains each of the column names that appear in both the left and right-hand input datasets. (source: lang_select.html, checked-by: tcl/e_select.test, matrix: context, detail)
For example, if a prepared statement is created using the SQL text "SELECT $abc,:xyz" and if parameter $abc is bound to integer 2345 and parameter :xyz is unbound, then sqlite3_sql() will return the original string, "SELECT $abc,:xyz" but sqlite3_expanded_sql() will return "SELECT 2345,NULL". (source: c3ref/expanded_sql.html, checked-by: th3/req1/sql01.test, matrix: context, detail)
If two or more COLLATE operator subexpressions appear anywhere in a comparison, the left most explicit collating function is used regardless of how deeply the COLLATE operators are nested in the expression and regardless of how the expression is parenthesized. (source: datatype3.html, checked-by: th3/req1/datatype3_09.test, matrix: context, detail)
The returned string pointer is valid until either the prepared statement is destroyed by sqlite3_finalize() or until the statement is automatically reprepared by the first call to sqlite3_step() for a particular run or until the next call to sqlite3_column_name() or sqlite3_column_name16() on the same column. (source: c3ref/column_name.html, matrix: context, detail)
The schema_version pragma will get or set the value of the schema-version integer at offset 40 in the database header. (source: pragma.html, checked-by: th3/req1/pragma28.test, matrix: context, detail)
SQLITE_STATUS_MEMORY_USED This parameter is the current amount of memory checked out using sqlite3_malloc(), either directly or indirectly. The figure includes calls made to sqlite3_malloc() by the application and internal memory usage by the SQLite library. Auxiliary page-cache memory controlled by SQLITE_CONFIG_PAGECACHE is not included in this parameter. The amount returned is the sum of the allocation sizes as reported by the xSize method in sqlite3_mem_methods. (source: c3ref/c_status_malloc_count.html, matrix: context, detail)
You can then access the ROWID using any of four different names, the original three names described above or the name given to the INTEGER PRIMARY KEY column. (source: autoinc.html, checked-by: th3/req1/autoinc01.test, matrix: context, detail)
The SQLITE_CONFIG_MUTEX option takes a single argument which is a pointer to an instance of the sqlite3_mutex_methods structure. The argument specifies alternative low-level mutex routines to be used in place the mutex routines built into SQLite. (source: c3ref/c_config_covering_index_scan.html, checked-by: th3/th3main.c, matrix: context, detail)
The sqlite_sequence. (source: fileformat2.html, matrix: context, detail)
In shared cache mode, attempting to attach the same database file more than once results in an error. (source: lang_detach.html, checked-by: tcl/shared7.test, th3/cov1/attach07.test, matrix: context, detail)
The 4-byte big-endian integer at offset 36 stores stores the total number of pages on the freelist. (source: fileformat2.html, checked-by: src/btree.c, th3/req1/pragma21.test, matrix: context, detail)
The precedence of the BETWEEN operator is the same as the precedence as operators == and != and LIKE and groups left to right. (source: lang_expr.html, checked-by: tcl/e_expr.test, matrix: context, detail)
Hence, the string '3.0e+5' is stored in a column with NUMERIC affinity as the integer 300000, not as the floating point value 300000.0. (source: datatype3.html, checked-by: th3/req1/datatype3_01.test, matrix: context, detail)
The "temp" database (in which TEMP tables and indices are stored) and in-memory databases always uses exclusive locking mode. (source: pragma.html, checked-by: th3/req1/pragma04.test, matrix: context, detail)
If an error occurs, that fact is recorded in the sqlite3_str object and can be recovered by a subsequent call to sqlite3_str_errcode(X). (source: c3ref/str_append.html, matrix: context, detail)
If the application using SQLite crashes in the middle of a transaction when the MEMORY journaling mode is set, then the database file will very likely go corrupt. (source: pragma.html, checked-by: th3/req1/pragma25.test, matrix: context, detail)
If no algorithm is specified anywhere, the ABORT algorithm is used. (source: lang_conflict.html, checked-by: th3/req1/conflict03.test, matrix: context, detail)
So the following query could use the partial index: SELECT * FROM tab2 WHERE b=456 AND c<>0; -- uses partial index (source: partialindex.html, checked-by: th3/cov1/index01.test, matrix: context, detail)
The index for named parameters can be looked up using the sqlite3_bind_parameter_index() API if desired. (source: c3ref/bind_blob.html, checked-by: th3/req1/bind01.test, matrix: context, detail)
Views are read-only in SQLite. (source: lang_createview.html, checked-by: th3/req1/view01.test, matrix: context, detail)
The first argument to the sqlite3_bind_*() routines is always a pointer to the sqlite3_stmt object returned from sqlite3_prepare_v2() or its variants. (source: c3ref/bind_blob.html, checked-by: th3/req1/bind01.test, matrix: context, detail)
Any callback set by a previous call to sqlite3_commit_hook() for the same database connection is overridden. (source: c3ref/commit_hook.html, matrix: context, detail)
The sqlite3_create_collation_v2() works like sqlite3_create_collation() with the addition that the xDestroy callback is invoked on pArg when the collating function is deleted. (source: c3ref/create_collation.html, checked-by: th3/req1/createcoll01.test, matrix: context, detail)
The object returned by sqlite3_column_value() is an unprotected sqlite3_value object. (source: c3ref/column_blob.html, checked-by: th3/req1/column01.test, matrix: context, detail)
If SQLite is compiled with the SQLITE_ENABLE_STAT4 option, then additional histogram data is collected and stored in sqlite_stat4. (source: lang_analyze.html, checked-by: th3/req1/analyze01.test, matrix: context, detail)
The sqlite3_backup_remaining() routine returns the number of pages still to be backed up at the conclusion of the most recent sqlite3_backup_step(). (source: c3ref/backup_finish.html, matrix: context, detail)
It is not an error to create a table that has the same name as an existing trigger. (source: lang_createtable.html, checked-by: tcl/e_createtable.test, matrix: context, detail)
If the integrity_check pragma finds problems, strings are returned (as multiple rows with a single column per row) which describe the problems. (source: pragma.html, checked-by: th3/req1/integrityck01.test, matrix: context, detail)
In the DELETE mode, the rollback journal is deleted at the conclusion of each transaction. (source: pragma.html, checked-by: th3/req1/pragma24.test, matrix: context, detail)
A WAL always grows from beginning toward the end. (source: fileformat2.html, matrix: context, detail)
When synchronous is NORMAL (1), the SQLite database engine will still sync at the most critical moments, but less often than in FULL mode. (source: pragma.html, matrix: context, detail)
SQLite only understands the hexadecimal integer notation when it appears in the SQL statement text, not when it appears as part of the content of the database. (source: lang_expr.html, checked-by: th3/req1/expr01.test, matrix: context, detail)
PRAGMA encoding; PRAGMA encoding = 'UTF-8'; PRAGMA encoding = 'UTF-16'; PRAGMA encoding = 'UTF-16le'; PRAGMA encoding = 'UTF-16be'; (source: pragma.html, checked-by: th3/req1/pragma16.test, matrix: context, detail)
For the index above and WHERE clause like this: ... WHERE a=5 OR b IN (1,2,3) OR c NOT NULL OR d='hello' The index is not usable because the WHERE clause terms are connected by OR instead of AND. (source: optoverview.html, matrix: context, detail)
The key to an index b-tree is a record composed of the columns that are being indexed followed by the key of the corresponding table row. (source: fileformat2.html, matrix: context, detail)
The sqlite_stat3.sample column holds the value of the left-most field of an index identified by sqlite_stat3.idx and sqlite_stat3.tbl. (source: fileformat2.html, matrix: context, detail)
The table name must be unqualified for INSERT statements that occur within CREATE TRIGGER statements. (source: lang_insert.html, checked-by: tcl/e_insert.test, matrix: context, detail)
If an INSERT statement attempts to insert a blob value, or a string or real value that cannot be losslessly converted to an integer into an integer primary key or rowid column, a "datatype mismatch" error occurs and the statement is aborted. (source: lang_createtable.html, checked-by: tcl/e_createtable.test, matrix: context, detail)
Running VACUUM ensures that each table and index is largely stored contiguously within the database file. (source: lang_vacuum.html, checked-by: tcl/e_vacuum.test, matrix: context, detail)
Otherwise, if the expression sorted by an ORDER BY clause is a column, then the collating sequence of the column is used to determine sort order. (source: datatype3.html, checked-by: th3/req1/datatype3_10.test, matrix: context, detail)
If a deferred foreign key constraint is violated, then an error is reported when the user attempts to commit the transaction if the foreign key constraint violations still exist at that point. (source: foreignkeys.html, checked-by: tcl/e_fkey.test, th3/req1/foreignkeys22.test, matrix: context, detail)
In particular, if one wants to know all "children" of a particular purchase order "?1", the query would be: SELECT po_num FROM purchaseorder WHERE parent_po=?1; (source: partialindex.html, checked-by: th3/cov1/index01.test, matrix: context, detail)
The journal_size_limit pragma may be used to limit the size of rollback-journal and WAL files left in the file-system after transactions or checkpoints. (source: pragma.html, checked-by: th3/req1/pragma26.test, matrix: context, detail)
All of the examples create a WITHOUT ROWID table with two PRIMARY KEY columns, "a" and "c", in that order, followed by two data columns "b" and "d", also in that order. (source: fileformat2.html, matrix: context, detail)
(source: syntax/expr.html, matrix: context, detail)
If the right operand of an IN or NOT IN operator is a list of values, each of those values must be scalars and the left expression must also be a scalar. (source: lang_expr.html, checked-by: th3/cov1/rowvalue06.test, matrix: context, detail)
But extensions can override the match() function with more helpful logic. (source: lang_expr.html, checked-by: tcl/e_expr.test, matrix: context, detail)
Two or more MATCH operators are allowed in the same WHERE clause, as long as they are connected by AND operators. (source: rtree.html, checked-by: th3/cov1/rtree04.test, matrix: context, detail)
Similarly, if the prefix integer is less than -9223372036854775808 then the result of the cast is exactly -9223372036854775808. (source: lang_expr.html, checked-by: tcl/cast.test, th3/cov1/cast01.test, matrix: context, detail)
This pragma invokes the sqlite3_hard_heap_limit64() interface with the argument N, if N is specified and N is a positive integer that is less than the current hard heap limit. (source: pragma.html, matrix: context, detail)
Each page record stores a copy of the content of a page from the database file before it was changed. (source: fileformat2.html, matrix: context, detail)
Unless the table to which the trigger is attached is in the TEMP database, the table being updated by the trigger program must reside in the same database as it. (source: lang_update.html, checked-by: tcl/e_update.test, matrix: context, detail)
Unbound parameters are interpreted as NULL. (source: c3ref/bind_blob.html, checked-by: th3/req1/bind01.test, matrix: context, detail)
If X is NULL then length(X) is NULL. (source: lang_corefunc.html, checked-by: th3/cov1/func01.test, matrix: context, detail)
As well as SQLITE_OK and SQLITE_DONE, a call to sqlite3_backup_step() may return SQLITE_READONLY, SQLITE_NOMEM, SQLITE_BUSY, SQLITE_LOCKED, or an SQLITE_IOERR_XXX extended error code. (source: c3ref/backup_finish.html, matrix: context, detail)
The fifth argument, xCompare, is a pointer to the collating function. (source: c3ref/create_collation.html, checked-by: th3/req1/createcoll01.test, matrix: context, detail)
The second pointer map page will be on page J+3 and that ptrmap page will provide back pointer information for pages J+4 through 2*J+3 inclusive. (source: fileformat2.html, matrix: context, detail)
For the right-most column of an index that is used, there can be up to two inequalities that must sandwich the allowed values of the column between two extremes. (source: optoverview.html, matrix: context, detail)
A single WAL file can be reused multiple times. (source: fileformat2.html, matrix: context, detail)
If the busy-handler returns non-zero before the lock is available, then SQLITE_BUSY is returned to the caller. (source: c3ref/backup_finish.html, matrix: context, detail)
The cache query parameter determines if the new database is opened using shared cache mode or with a private cache. (source: uri.html, matrix: context, detail)
In this case, if both operands are NULL, then the IS operator evaluates to 1 (true) and the IS NOT operator evaluates to 0 (false). (source: lang_expr.html, checked-by: tcl/e_expr.test, matrix: context, detail)
There is a limit, set using sqlite3_limit() and SQLITE_LIMIT_ATTACHED, to the number of databases that can be simultaneously attached to a single database connection. (source: lang_attach.html, checked-by: th3/req1/attach01.test, matrix: context, detail)
The fourth parameter is an arbitrary client data pointer that is passed through into the xCreate and xConnect methods of the virtual table module when a new virtual table is be being created or reinitialized. (source: c3ref/create_module.html, matrix: context, detail)
If an INSERT or UPDATE statement attempts to modify the table content so that two or more rows have identical primary key values, that is a constraint violation. (source: lang_createtable.html, checked-by: tcl/e_createtable.test, matrix: context, detail)
The xMutexEnd() interface is invoked exactly once for each call to sqlite3_shutdown(). (source: c3ref/mutex_methods.html, matrix: context, detail)
The strftime() routine returns the date formatted according to the format string specified as the first argument. (source: lang_datefunc.html, checked-by: th3/req1/date01.test, matrix: context, detail)
Each entry in the ex25acde index consists of only the columns a, c, d, and e, in that order. (source: fileformat2.html, checked-by: th3/req1/fileformat04.test, matrix: context, detail)
If the result is a numeric value then sqlite3_column_bytes() uses sqlite3_snprintf() to convert that value to a UTF-8 string and returns the number of bytes in that string. (source: c3ref/column_blob.html, checked-by: th3/req1/column01.test, matrix: context, detail)
Following the size varint are one or more additional varints, one per column. (source: fileformat2.html, checked-by: src/vdbe.c, th3/req1/fileformat02.test, matrix: context, detail)
The rank of the column within the table being indexed, or -1 if the index-column is the rowid of the table being indexed and -2 if the index is on an expression. (source: pragma.html, checked-by: tcl/pragma.test, th3/req1/pragma15x.test, matrix: context, detail)
(source: syntax/simple-function-invocation.html, matrix: context, detail)
Each ORDER BY expression may be optionally followed by one of the keywords ASC (smaller values are returned first) or DESC (larger values are returned first). (source: lang_select.html, checked-by: tcl/e_select.test, matrix: context, detail)
The SQLITE_CONFIG_HEAP option is only available if SQLite is compiled with either SQLITE_ENABLE_MEMSYS3 or SQLITE_ENABLE_MEMSYS5 and returns SQLITE_ERROR if invoked otherwise. (source: c3ref/c_config_covering_index_scan.html, checked-by: src/main.c, th3/th3oom.c, matrix: context, detail)
Each modifier is a transformation that is applied to the time value to its left. (source: lang_datefunc.html, checked-by: th3/req1/date01.test, matrix: context, detail)
The sqlite3_snapshot_open() interface returns SQLITE_OK on success or an appropriate error code if it fails. (source: c3ref/snapshot_open.html, matrix: context, detail)
The largest Fibonacci weight occurs on the first element of the sequence being summed. (source: fileformat2.html, matrix: context, detail)
The sqlite3_value_free(V) interface frees an sqlite3_value object previously obtained from sqlite3_value_dup(). (source: c3ref/value_dup.html, matrix: context, detail)
But there cannot be gaps in the columns of the index that are used. (source: optoverview.html, matrix: context, detail)
When case_sensitive_like is disabled, the default LIKE behavior is expressed. (source: pragma.html, checked-by: th3/req1/pragma10.test, matrix: context, detail)
If the UNIQUE keyword appears between CREATE and INDEX then duplicate index entries are not allowed. (source: lang_createindex.html, checked-by: th3/req1/createidx01.test, matrix: context, detail)
A column name can be any of the names defined in the CREATE TABLE statement or one of the following special identifiers: "ROWID", "OID", or "_ROWID_". (source: lang_expr.html, checked-by: tcl/e_createtable.test, matrix: context, detail)
If the argument N is negative then no change is made to the heap limit. (source: c3ref/hard_heap_limit64.html, checked-by: th3/req1/softheaplimit01.test, matrix: context, detail)
This option is used to change the name of the "main" database schema. (source: c3ref/c_dbconfig_defensive.html, checked-by: src/main.c, th3/cov1/maindbname01.test, matrix: context, detail)
The preupdate hook only fires for changes to real database tables; the preupdate hook is not invoked for changes to virtual tables or to system tables like sqlite_master or sqlite_stat1. (source: c3ref/preupdate_count.html, matrix: context, detail)
These routines provide a means to determine the database, table, and table column that is the origin of a particular result column in SELECT statement. (source: c3ref/column_database_name.html, matrix: context, detail)
If the URI contains an authority, then it must be either an empty string or the string "localhost". (source: c3ref/open.html, checked-by: tcl/e_uri.test, matrix: context, detail)
Freeblocks are always connected in order of increasing offset. (source: fileformat2.html, checked-by: src/btree.c, matrix: context, detail)
The collating sequence used for expressions of the form "x IN (y, z, ...)" is the collating sequence of x. (source: datatype3.html, checked-by: th3/req1/datatype3_10.test, matrix: context, detail)
If the function is registered using the sqlite3_collation_needed() API, then it is passed the names of undefined collation sequences as strings encoded in UTF-8. (source: c3ref/collation_needed.html, matrix: context, detail)
The module-name must be registered with the SQLite database connection using sqlite3_create_module() or sqlite3_create_module_v2() prior to issuing the CREATE VIRTUAL TABLE statement. (source: lang_createvtab.html, matrix: context, detail)
Each of the named columns of the new row is populated with the results of evaluating the corresponding VALUES expression. (source: lang_insert.html, checked-by: tcl/e_insert.test, matrix: context, detail)
Any of these arguments may be NULL, in which case the corresponding element of metadata is omitted. (source: c3ref/table_column_metadata.html, checked-by: th3/cov1/metadata01.test, matrix: context, detail)
If the declared type contains the string "INT" then it is assigned INTEGER affinity. (source: datatype3.html, checked-by: th3/req1/datatype3_01.test, matrix: context, detail)
If the source database is modified by an external process or via a database connection other than the one being used by the backup operation, then the backup will be automatically restarted by the next call to sqlite3_backup_step(). (source: c3ref/backup_finish.html, matrix: context, detail)
To overcome this problem, SQLite attempts to flatten subqueries in the FROM clause of a SELECT. (source: optoverview.html, matrix: context, detail)
A single quote within the string can be encoded by putting two single quotes in a row - as in Pascal. (source: lang_expr.html, checked-by: tcl/e_expr.test, matrix: context, detail)
The table might look something like this: CREATE TABLE person( person_id INTEGER PRIMARY KEY, team_id INTEGER REFERENCES team, is_team_leader BOOLEAN, -- other fields elided ); (source: partialindex.html, checked-by: th3/cov1/index01.test, matrix: context, detail)
The one-byte integer at offset 7 gives the number of fragmented free bytes within the cell content area. (source: fileformat2.html, checked-by: src/btree.c, matrix: context, detail)
The first time the database is read in EXCLUSIVE mode, a shared lock is obtained and held. (source: pragma.html, checked-by: th3/req1/pragma04.test, matrix: context, detail)
The "sqlite_autoindex_TABLE_N" name is never allocated for an INTEGER PRIMARY KEY, either in rowid tables or WITHOUT ROWID tables. (source: fileformat2.html, matrix: context, detail)
A nested savepoint transaction may be RELEASEd while the database is in a state that does not satisfy a deferred foreign key constraint. (source: foreignkeys.html, checked-by: tcl/e_fkey.test, th3/req1/foreignkeys15.test, matrix: context, detail)
If the INTO clause is included, then the original database file is unchanged and a new database is created in the filename given by the argument to the INTO clause. (source: lang_vacuum.html, matrix: context, detail)
The default behavior is for mutexes to be enabled. (source: c3ref/threadsafe.html, checked-by: src/sqliteInt.h, matrix: context, detail)
Assuming the library is compiled with foreign key constraints enabled, it must still be enabled by the application at runtime, using the PRAGMA foreign_keys command. (source: foreignkeys.html, checked-by: tcl/e_fkey.test, th3/req1/foreignkeys04.test, matrix: context, detail)
If the SELECT statement is an aggregate query with a GROUP BY clause, then each of the expressions specified as part of the GROUP BY clause is evaluated for each row of the dataset. Each row is then assigned to a "group" based on the results; rows for which the results of evaluating the GROUP BY expressions are the same get assigned to the same group. (source: lang_select.html, checked-by: tcl/e_select.test, matrix: context, detail)
A value of 5 (0x05) means the page is an interior table b-tree page. (source: fileformat2.html, checked-by: src/btree.c, matrix: context, detail)
An explicit DEFAULT clause may specify that the default value is NULL, a string constant, a blob constant, a signed-number, or any constant expression enclosed in parentheses. A default value may also be one of the special case-independent keywords CURRENT_TIME, CURRENT_DATE or CURRENT_TIMESTAMP. (source: lang_createtable.html, checked-by: tcl/e_createtable.test, matrix: context, detail)
The hard_heap_limit pragma always returns the same integer that would be returned by the sqlite3_hard_heap_limit64(-1) C-language function. (source: pragma.html, matrix: context, detail)
The SQLITE_FCNTL_VFSNAME opcode can be used to obtain the names of all VFSes in the VFS stack. (source: c3ref/c_fcntl_begin_atomic_write.html, matrix: context, detail)
The three special identifiers describe the unique integer key (the rowid) associated with every row of every table and so are not available on WITHOUT ROWID tables. (source: lang_expr.html, checked-by: th3/req1/expr02.test, matrix: context, detail)
If the result is NULL, then sqlite3_column_bytes() returns zero. (source: c3ref/column_blob.html, checked-by: th3/req1/column01.test, matrix: context, detail)
The text in the sqlite_master.sql column is a copy of the original CREATE statement text that created the object, except normalized as described above and as modified by subsequent ALTER TABLE statements. (source: fileformat2.html, matrix: context, detail)
The RELEASE command is like a COMMIT for a SAVEPOINT. (source: lang_savepoint.html, matrix: context, detail)
Shared cache is disabled by default. (source: c3ref/enable_shared_cache.html, matrix: context, detail)
Whitespace and comments that follow the final semicolon are ignored. (source: c3ref/complete.html, checked-by: th3/cov1/complete01.test, matrix: context, detail)
If a schema name is given as the argument, then all tables and indices in that one database are analyzed. (source: lang_analyze.html, checked-by: th3/req1/analyze01.test, matrix: context, detail)
Transaction control statements such as BEGIN, COMMIT, ROLLBACK, SAVEPOINT, and RELEASE cause sqlite3_stmt_readonly() to return true, since the statements themselves do not actually modify the database but rather they control the timing of when other statements modify the database. (source: c3ref/stmt_readonly.html, checked-by: th3/cov1/vdbeapi14.test, matrix: context, detail)
If the specified view cannot be found and an IF EXISTS clause is present in the DROP VIEW statement, then the statement is a no-op. (source: lang_dropview.html, checked-by: tcl/e_dropview.test, th3/cov1/build13.test, matrix: context, detail)
(source: syntax/indexed-column.html, matrix: context, detail)
The result of avg() is always a floating point value as long as at there is at least one non-NULL input even if all inputs are integers. (source: lang_aggfunc.html, checked-by: th3/req1/aggfunc01.test, matrix: context, detail)
These routines return the name assigned to a particular column in the result set of a SELECT statement. (source: c3ref/column_name.html, matrix: context, detail)
The ORDER BY clause on a DELETE statement is used only to determine which rows fall within the LIMIT. The order in which rows are deleted is arbitrary and is not influenced by the ORDER BY clause. (source: lang_delete.html, checked-by: tcl/e_delete.test, matrix: context, detail)
The cache_spill pragma enables or disables the ability of the pager to spill dirty cache pages to the database file in the middle of a transaction. (source: pragma.html, checked-by: tcl/pragma2.test, matrix: context, detail)
The result of the CASE expression is the evaluation of the THEN expression that corresponds to the first WHEN expression for which the comparison is true. (source: lang_expr.html, checked-by: tcl/e_expr.test, matrix: context, detail)
If the largest ROWID is equal to the largest possible integer (9223372036854775807) then the database engine starts picking positive candidate ROWIDs at random until it finds one that is not previously used. (source: autoinc.html, checked-by: src/vdbe.c, th3/cov1/vdbe23.test, th3/req1/autoinc01.test, matrix: context, detail)
The format for CURRENT_TIMESTAMP is "YYYY-MM-DD HH:MM:SS". (source: lang_createtable.html, checked-by: tcl/e_createtable.test, matrix: context, detail)
Hence, the content encoding for a WITHOUT ROWID table is the same as the content encoding for an ordinary rowid table, except that the order of the columns is rearranged so that PRIMARY KEY columns come first, and the content is used as the key in an index b-tree rather than as the data in a table b-tree. (source: fileformat2.html, matrix: context, detail)
Instead of cancelling the transaction, the ROLLBACK TO command restarts the transaction again at the beginning. (source: lang_savepoint.html, matrix: context, detail)
The result of total() is always a floating point value. (source: lang_aggfunc.html, checked-by: th3/req1/aggfunc01.test, matrix: context, detail)
To be usable by an index a term must be of one of the following forms: column = expression column IS expression column > expression column >= expression column < expression column <= expression expression = column expression > column expression >= column expression < column expression <= column column IN (expression-list) column IN (subquery) column IS NULL (source: optoverview.html, matrix: context, detail)
Returns the size in bytes of the BLOB accessible via the successfully opened BLOB handle in its only argument. (source: c3ref/blob_bytes.html, checked-by: tcl/e_blobbytes.test, th3/cov1/vdbeblob01.test, matrix: context, detail)
SQLITE_LIMIT_COMPOUND_SELECT The maximum number of terms in a compound SELECT statement. (source: c3ref/c_limit_attached.html, checked-by: th3/req1/limit02.test, matrix: context, detail)
(source: syntax/select-stmt.html, matrix: context, detail)
The requested measurement is written into a variable pointed to by the "pOut" parameter. (source: c3ref/stmt_scanstatus.html, checked-by: th3/cov1/status02.test, matrix: context, detail)
The 4-byte big-endian integer at offset 92 is the value of the change counter when the version number was stored. (source: fileformat2.html, matrix: context, detail)
The temp_store_directory pragma may modify this variable and cause it to point to memory obtained from sqlite3_malloc. (source: c3ref/temp_directory.html, matrix: context, detail)
Mutexes created using SQLITE_MUTEX_RECURSIVE can be entered multiple times by the same thread. In such cases, the mutex must be exited an equal number of times before another thread can enter. (source: c3ref/mutex_alloc.html, matrix: context, detail)
A function implementation with a non-negative nArg parameter is a better match than a function implementation with a negative nArg. (source: c3ref/create_function.html, checked-by: th3/req1/createfunc04.test, matrix: context, detail)
If an INSERT statement attempts to insert a NULL value into a rowid or integer primary key column, the system chooses an integer value to use as the rowid automatically. (source: lang_createtable.html, checked-by: tcl/e_createtable.test, matrix: context, detail)
If the result is a UTF-16 string, then sqlite3_column_bytes() converts the string to UTF-8 and then returns the number of bytes. (source: c3ref/column_blob.html, checked-by: th3/req1/column01.test, matrix: context, detail)
The application can also use a PRAGMA foreign_keys statement to determine if foreign keys are currently enabled. (source: foreignkeys.html, checked-by: tcl/e_fkey.test, th3/req1/foreignkeys04.test, matrix: context, detail)
The sqlite3_compileoption_get() function allows iterating over the list of options that were defined at compile time by returning the N-th compile time option string. (source: c3ref/compileoption_get.html, checked-by: th3/cov1/ctime01.test, matrix: context, detail)
Any operators applied to column names, including the no-op unary "+" operator, convert the column name into an expression which always has no affinity. Hence even if X and Y.Z are column names, the expressions +X and +Y.Z are not column names and have no affinity. (source: datatype3.html, checked-by: th3/req1/datatype3_05.test, matrix: context, detail)
The min/max-value pair columns are stored as 32-bit floating point values for "rtree" virtual tables or as 32-bit signed integers in "rtree_i32" virtual tables. (source: rtree.html, matrix: context, detail)
SQLite takes the text result from the application from the 2nd parameter of the sqlite3_result_text* interfaces. (source: c3ref/result_blob.html, checked-by: th3/req1/result02.test, matrix: context, detail)
The eTextRep argument determines the encoding of strings passed to the collating function callback, xCompare. (source: c3ref/create_collation.html, checked-by: th3/req1/createcoll01.test, matrix: context, detail)
The xShutdown() method is called by sqlite3_shutdown(). (source: c3ref/pcache_methods2.html, matrix: context, detail)
The first form (without an argument) queries the current limit. (source: pragma.html, matrix: context, detail)
The sqlite3_result_blob() interface sets the result from an application-defined function to be the BLOB whose content is pointed to by the second parameter and which is N bytes long where N is the third parameter. (source: c3ref/result_blob.html, checked-by: th3/req1/result01.test, matrix: context, detail)
This function is used to read data from an open BLOB handle into a caller-supplied buffer. N bytes of data are copied into buffer Z from the open BLOB, starting at offset iOffset. (source: c3ref/blob_read.html, checked-by: th3/cov1/vdbeblob01.test, matrix: context, detail)
The TRUNCATE journaling mode commits transactions by truncating the rollback journal to zero-length instead of deleting it. (source: pragma.html, checked-by: th3/req1/pragma24.test, matrix: context, detail)
The sqlite3_malloc() routine returns a pointer to a block of memory at least N bytes in length, where N is the parameter. (source: c3ref/free.html, checked-by: th3/req1/malloc02.test, matrix: context, detail)
Rows are assigned contiguously ascending rowid values, starting with 1, in the order that they are returned by the SELECT statement. (source: lang_createtable.html, checked-by: tcl/e_createtable.test, matrix: context, detail)
If Z is omitted then substr(X,Y) returns all characters through the end of the string X beginning with the Y-th. (source: lang_corefunc.html, checked-by: th3/cov1/func02.test, matrix: context, detail)
The sqlite_master.sql column stores SQL text that describes the object. This SQL text is a CREATE TABLE, CREATE VIRTUAL TABLE, CREATE INDEX, CREATE VIEW, or CREATE TRIGGER statement that if evaluated against the database file when it is the main database of a database connection would recreate the object. (source: fileformat2.html, matrix: context, detail)
The default collating function for all strings is BINARY. (source: fileformat2.html, checked-by: src/callback.c, th3/req1/fileformat05.test, matrix: context, detail)
If the database is opened (and/or created) successfully, then SQLITE_OK is returned. Otherwise an error code is returned. (source: c3ref/open.html, matrix: context, detail)
Writes to the BLOB that occurred before the BLOB handle expired are not rolled back by the expiration of the handle, though of course those changes might have been overwritten by the statement that expired the BLOB handle or by other independent statements. (source: c3ref/blob_write.html, checked-by: tcl/e_blobwrite.test, matrix: context, detail)
An application can force the query planner to reread the statistics tables by running ANALYZE sqlite_master. (source: lang_analyze.html, checked-by: th3/req1/analyze01.test, matrix: context, detail)
PRAGMA collation_list; Return a list of the collating sequences defined for the current database connection. (source: pragma.html, checked-by: th3/req1/pragma13.test, matrix: context, detail)
The ANALYZE command gathers statistics about tables and indices and stores the collected information in internal tables of the database where the query optimizer can access the information and use it to help make better query planning choices. (source: lang_analyze.html, checked-by: th3/req1/analyze01.test, matrix: context, detail)
A compound SELECT created using UNION ALL operator returns all the rows from the SELECT to the left of the UNION ALL operator, and all the rows from the SELECT to the right of it. (source: lang_select.html, checked-by: tcl/e_select.test, matrix: context, detail)
A value with storage class NULL is considered less than any other value (including another value with storage class NULL). (source: datatype3.html, checked-by: th3/req1/datatype3_04.test, matrix: context, detail)
However, when not in write-ahead log mode, the page_size and/or auto_vacuum properties of an existing database may be changed by using the page_size and/or pragma auto_vacuum pragmas and then immediately VACUUMing the database. (source: lang_vacuum.html, checked-by: tcl/e_vacuum.test, matrix: context, detail)
If parameter Y is present then it is used as the separator between instances of X. (source: lang_aggfunc.html, checked-by: th3/req1/aggfunc01.test, matrix: context, detail)
The number of columns in the rows returned by a simple SELECT statement is equal to the number of expressions in the result expression list after substitution of * and alias.* expressions. (source: lang_select.html, checked-by: tcl/e_select.test, matrix: context, detail)
The second column is the number of modified pages that have been written to the write-ahead log file. (source: pragma.html, matrix: context, detail)
If any prior errors have occurred while constructing the dynamic string in sqlite3_str X, then the sqlite3_str_errcode(X) method will return an appropriate error code. (source: c3ref/str_errcode.html, matrix: context, detail)
In the second form, if the database name is omitted, the limit that is set becomes the default limit for all databases that are added to the database connection by subsequent ATTACH statements. (source: pragma.html, matrix: context, detail)
The sqlite3_commit_hook() interface registers a callback function to be invoked whenever a transaction is committed. (source: c3ref/commit_hook.html, matrix: context, detail)
sqlite3_release_memory() returns the number of bytes actually freed, which might be more or less than the amount requested. (source: c3ref/release_memory.html, checked-by: th3/req1/releasemem01.test, matrix: context, detail)
Corresponding rows in the index and table b-trees share the same rowid or primary key values and contain the same value for all indexed columns. (source: fileformat2.html, matrix: context, detail)
If the simple SELECT is a SELECT ALL, then the entire set of result rows are returned by the SELECT. (source: lang_select.html, checked-by: tcl/e_select.test, matrix: context, detail)
The sqlite3_backup_pagecount() routine returns the total number of pages in the source database at the conclusion of the most recent sqlite3_backup_step(). (source: c3ref/backup_finish.html, matrix: context, detail)
Sum() will throw an "integer overflow" exception if all inputs are integers or NULL and an integer overflow occurs at any point during the computation. (source: lang_aggfunc.html, checked-by: th3/req1/aggfunc01.test, matrix: context, detail)
A CREATE TABLE command operates the same whether or not foreign key constraints are enabled. (source: foreignkeys.html, checked-by: tcl/e_fkey.test, th3/req1/foreignkeys21.test, matrix: context, detail)
This interface disables all automatic extensions previously registered using sqlite3_auto_extension(). (source: c3ref/reset_auto_extension.html, checked-by: th3/req1/autoext01.test, matrix: context, detail)
Unless it returns SQLITE_MISUSE, this function sets the database connection error code and message accessible via sqlite3_errcode() and sqlite3_errmsg() and related functions. (source: c3ref/blob_open.html, checked-by: tcl/e_blobopen.test, matrix: context, detail)
When searching database schemas for a named object, objects of types that cannot be used in the context of the reference are always ignored. (source: lang_naming.html, checked-by: tcl/e_resolve.test, matrix: context, detail)
The SQLITE_CONFIG_HEAP option specifies a static memory buffer that SQLite will use for all of its dynamic memory allocation needs beyond those provided for by SQLITE_CONFIG_PAGECACHE. (source: c3ref/c_config_covering_index_scan.html, checked-by: th3/th3main.c, matrix: context, detail)
The CAST operator understands decimal integers only — conversion of hexadecimal integers stops at the "x" in the "0x" prefix of the hexadecimal integer string and thus result of the CAST is always zero. (source: lang_expr.html, checked-by: tcl/e_expr.test, matrix: context, detail)
(source: syntax/create-trigger-stmt.html, matrix: context, detail)
Replacing the phrase above with any of the following creates an immediate foreign key constraint. NOT DEFERRABLE INITIALLY DEFERRED -- An immediate foreign key constraint NOT DEFERRABLE INITIALLY IMMEDIATE -- An immediate foreign key constraint NOT DEFERRABLE -- An immediate foreign key constraint DEFERRABLE INITIALLY IMMEDIATE -- An immediate foreign key constraint DEFERRABLE -- An immediate foreign key constraint (source: foreignkeys.html, checked-by: tcl/e_fkey.test, th3/req1/foreignkeys12.test, matrix: context, detail)
As of SQLite version 3.6.19, the default setting for foreign key enforcement is OFF. (source: pragma.html, checked-by: th3/req1/pragma18.test, th3/req1/pragma19.test, matrix: context, detail)
A return of SQLITE_BUSY or SQLITE_LOCKED from sqlite3_backup_step() is not a permanent error and does not affect the return value of sqlite3_backup_finish(). (source: c3ref/backup_finish.html, matrix: context, detail)
TRUNCATE This mode works the same way as RESTART with the addition that the WAL file is truncated to zero bytes upon successful completion. (source: pragma.html, checked-by: th3/req1/checkpoint01.test, matrix: context, detail)
(source: syntax/sql-stmt-list.html, matrix: context, detail)
(source: syntax/drop-trigger-stmt.html, matrix: context, detail)
That is to say, it always returns the value of the hard heap limit that is set after any changes imposed by this PRAGMA. (source: pragma.html, matrix: context, detail)
Call the sqlite3_enable_load_extension() routine with onoff==1 to turn extension loading on and call it with onoff==0 to turn it back off again. (source: c3ref/enable_load_extension.html, matrix: context, detail)
The immutable parameter is a boolean query parameter that indicates that the database file is stored on read-only media. (source: c3ref/open.html, checked-by: th3/cov1/nolock01.test, matrix: context, detail)
If Y is omitted then the default entry point name is used. (source: lang_corefunc.html, checked-by: th3/cov1/func03.test, matrix: context, detail)
For the GLOB operator, the column must be indexed using the built-in BINARY collating sequence. (source: optoverview.html, matrix: context, detail)
(source: syntax/drop-table-stmt.html, matrix: context, detail)
If a statement modifies the contents of the database so that an immediate foreign key constraint is in violation at the conclusion the statement, an exception is thrown and the effects of the statement are reverted. (source: foreignkeys.html, checked-by: tcl/e_fkey.test, th3/req1/foreignkeys12.test, matrix: context, detail)
SQLite keeps track of the largest ROWID using an internal table named "sqlite_sequence". (source: autoinc.html, checked-by: th3/req1/autoinc01.test, matrix: context, detail)
The MATCH operator of a custom R*Tree query function must be a top-level AND-connected term of the WHERE clause, or else it will not be usable by the R*Tree query optimizer and the query will not be runnable. (source: rtree.html, checked-by: th3/cov1/rtree04.test, matrix: context, detail)
Finally, the database is flushed to persistent storage using another xSync method call. (source: fileformat2.html, matrix: context, detail)
Otherwise, if the ORDER BY expression is an alias to an expression that has been assigned a collation sequence using the postfix COLLATE operator, then the collation sequence assigned to the aliased expression is used. (source: lang_select.html, checked-by: tcl/e_select.test, matrix: context, detail)
Indirect deadlock is also detected, so the system is also considered to be deadlocked if connection B has registered for an unlock-notify callback on the conclusion of connection C's transaction, where connection C is waiting on connection A. (source: c3ref/unlock_notify.html, matrix: context, detail)
A NULL pointer can be used in place of "main" to refer to the main database file. (source: c3ref/file_control.html, matrix: context, detail)
Whenever a row in the parent table of a foreign key constraint is deleted, or when the values stored in the parent key column or columns are modified, the logical sequence of events is: Execute applicable BEFORE trigger programs, Check local (non foreign key) constraints, Update or delete the row in the parent table, Perform any required foreign key actions, Execute applicable AFTER trigger programs. (source: foreignkeys.html, checked-by: tcl/e_fkey.test, th3/req1/foreignkeys19.test, matrix: context, detail)
The sqlite_master.rootpage column stores the page number of the root b-tree page for tables and indexes. (source: fileformat2.html, matrix: context, detail)
BLOB literals are string literals containing hexadecimal data and preceded by a single "x" or "X" character. (source: lang_expr.html, checked-by: tcl/e_expr.test, matrix: context, detail)
Text values (odd serial types 13 and larger) sort after numeric values in the order determined by the columns collating function. (source: fileformat2.html, checked-by: th3/req1/fileformat05.test, matrix: context, detail)
The table-name specified as part of a DELETE statement within a trigger body must be unqualified. (source: lang_delete.html, checked-by: tcl/e_delete.test, matrix: context, detail)
Thus INSERT OR FAIL, INSERT OR IGNORE, INSERT OR ROLLBACK, and INSERT OR ABORT make no changes to the return value of this routine when their insertion fails. (source: c3ref/last_insert_rowid.html, matrix: context, detail)
The sqlite3_exec() interface runs zero or more UTF-8 encoded, semicolon-separate SQL statements passed into its 2nd argument, in the context of the database connection passed in as its 1st argument. (source: c3ref/exec.html, checked-by: th3/req1/exec01.test, matrix: context, detail)
PRAGMA schema.table_info(table-name); This pragma returns one row for each column in the named table. (source: pragma.html, checked-by: th3/req1/pragma15.test, matrix: context, detail)
PRAGMA module_list; This pragma returns a list of virtual table modules registered with the database connection. (source: pragma.html, matrix: context, detail)
This flag determines whether or not the F_FULLFSYNC syncing method is used on systems that support it. (source: pragma.html, checked-by: th3/req1/pragma11b.test, matrix: context, detail)
The name of the column being indexed. (source: pragma.html, checked-by: tcl/pragma.test, th3/req1/pragma15.test, matrix: context, detail)
Or if no collating sequence is otherwise defined, the built-in BINARY collating sequence is used. (source: lang_createindex.html, checked-by: th3/req1/createidx01.test, matrix: context, detail)
If the discard parameter is zero, then the page may be discarded or retained at the discretion of page cache implementation. (source: c3ref/pcache_methods2.html, matrix: context, detail)
If the sub-query is a compound select, then all terms of the ORDER by clause of the parent must be simple references to columns of the sub-query. (source: optoverview.html, matrix: context, detail)
As long as the buffer size is greater than zero, sqlite3_snprintf() guarantees that the buffer is always zero-terminated. (source: c3ref/mprintf.html, checked-by: th3/req1/malloc01.test, matrix: context, detail)
SQLITE_LIMIT_SQL_LENGTH The maximum length of an SQL statement, in bytes. (source: c3ref/c_limit_attached.html, checked-by: tcl/sqllimits1.test, th3/req1/limit02.test, matrix: context, detail)
Also, GLOB is case sensitive, unlike LIKE. (source: lang_expr.html, checked-by: tcl/e_expr.test, matrix: context, detail)
The value returned by sqlite3_changes() immediately after an INSERT, UPDATE or DELETE statement run on a view is always zero. (source: c3ref/changes.html, checked-by: tcl/e_changes.test, matrix: context, detail)
A negative value for the zeroblob results in a zero-length BLOB. (source: c3ref/bind_blob.html, checked-by: th3/req1/bind01.test, matrix: context, detail)
sqlite> EXPLAIN QUERY PLAN SELECT t1.*, t2.* FROM t2, t1 WHERE t1.a=1 AND t1.b>2; QUERY PLAN |--SEARCH TABLE t1 USING INDEX i2 (a=? AND b>?) `--SCAN TABLE t2 (source: eqp.html, matrix: context, detail)
The aParam[] array (size nParam) contains the parameter values passed to the SQL function on the right-hand side of the MATCH operator. (source: rtree.html, matrix: context, detail)
SQLite will invoke the destructor D with a single argument of P when it is finished using P. (source: c3ref/bind_blob.html, checked-by: th3/cov1/bindptr01.test, matrix: context, detail)
An attempt to ATTACH a database with a different text encoding from the "main" database will fail. (source: pragma.html, checked-by: th3/req1/pragma16.test, matrix: context, detail)
If X is the name of a rollback or WAL-mode journal file that is passed into the xOpen method of sqlite3_vfs, then sqlite3_database_file_object(X) returns a pointer to the sqlite3_file object that represents the main database file. (source: c3ref/database_file_object.html, matrix: context, detail)
If one operand has INTEGER, REAL or NUMERIC affinity and the other operand has TEXT or BLOB or no affinity then NUMERIC affinity is applied to other operand. (source: datatype3.html, checked-by: th3/cov1/affinity01.test, th3/req1/datatype3_05.test, matrix: context, detail)
(source: syntax/delete-stmt.html, matrix: context, detail)
The histogram data is only useful if the right-hand side of the constraint is a simple compile-time constant or parameter and not an expression. (source: optoverview.html, matrix: context, detail)
If SQLITE_OMIT_TRIGGER is defined but SQLITE_OMIT_FOREIGN_KEY is not, then SQLite behaves as it did prior to version 3.6.19 (2009-10-14) - foreign key definitions are parsed and may be queried using PRAGMA foreign_key_list, but foreign key constraints are not enforced. (source: foreignkeys.html, checked-by: tcl/e_fkey.test, th3/req1/foreignkeys05.test, matrix: context, detail)
Following a successful SQLITE_FCNTL_BEGIN_ATOMIC_WRITE and prior to the closing SQLITE_FCNTL_COMMIT_ATOMIC_WRITE or SQLITE_FCNTL_ROLLBACK_ATOMIC_WRITE, SQLite will make no VFS interface calls on the same sqlite3_file file descriptor except for calls to the xWrite method and the xFileControl method with SQLITE_FCNTL_SIZE_HINT. (source: c3ref/c_fcntl_begin_atomic_write.html, matrix: context, detail)
The sqlite_stat3.nDLt column holds the approximate number of distinct left-most entries in the index that are less than the sample. (source: fileformat2.html, matrix: context, detail)
The callback registered by this function replaces any existing callback registered using sqlite3_wal_hook(). (source: c3ref/wal_autocheckpoint.html, checked-by: tcl/e_walauto.test, matrix: context, detail)
PRAGMA reverse_unordered_selects; PRAGMA reverse_unordered_selects = boolean; (source: pragma.html, checked-by: th3/req1/pragma27.test, matrix: context, detail)
The depth of recursion for triggers has a hard upper limit set by the SQLITE_MAX_TRIGGER_DEPTH compile-time option and a run-time limit set by sqlite3_limit(db,SQLITE_LIMIT_TRIGGER_DEPTH,...). (source: pragma.html, matrix: context, detail)
The CREATE TRIGGER statement is used to add triggers to the database schema. (source: lang_createtrigger.html, matrix: context, detail)
For the static mutex types, the same mutex is returned on every call that has the same type number. (source: c3ref/mutex_alloc.html, matrix: context, detail)
The fourth parameter may optionally be ORed with SQLITE_DETERMINISTIC to signal that the function will always return the same result given the same inputs within a single SQL statement. (source: c3ref/create_function.html, checked-by: th3/cov1/func11.test, matrix: context, detail)
Affinity is applied to operands of a comparison operator prior to the comparison according to the following rules in the order shown: (source: datatype3.html, checked-by: th3/req1/datatype3_05.test, matrix: context, detail)
Aggregate min() returns NULL if and only if there are no non-NULL values in the group. (source: lang_aggfunc.html, checked-by: th3/req1/aggfunc01.test, matrix: context, detail)
If any other process is running a checkpoint operation at the same time, the lock cannot be obtained and SQLITE_BUSY is returned. (source: c3ref/wal_checkpoint_v2.html, checked-by: src/wal.c, tcl/e_walckpt.test, matrix: context, detail)
Calling sqlite3_wal_hook() replaces any previously registered write-ahead log callback. (source: c3ref/wal_hook.html, checked-by: tcl/e_walhook.test, matrix: context, detail)
The usual rules for selecting a collation sequence with which to compare text values apply when evaluating expressions in a GROUP BY clause. (source: lang_select.html, checked-by: tcl/e_select.test, matrix: context, detail)
Note that unlike that plain ROLLBACK command (without the TO keyword) the ROLLBACK TO command does not cancel the transaction. (source: lang_savepoint.html, matrix: context, detail)
Views are removed with the DROP VIEW command. (source: lang_createview.html, checked-by: th3/req1/view01.test, matrix: context, detail)
If pnCkpt is not NULL,then *pnCkpt is set to the total number of checkpointed frames in the log file (including any that were already checkpointed before the function was called) or to -1 if the checkpoint could not run due to an error or because the database is not in WAL mode. (source: c3ref/wal_checkpoint_v2.html, checked-by: tcl/e_walckpt.test, matrix: context, detail)
This API makes sure a global version of a function with a particular name and number of parameters exists. If no such function exists before this API is called, a new function is created. (source: c3ref/overload_function.html, matrix: context, detail)
When RAISE(IGNORE) is called, the remainder of the current trigger program, the statement that caused the trigger program to execute and any subsequent trigger programs that would have been executed are abandoned. (source: lang_createtrigger.html, matrix: context, detail)
The declared type of a column is used to determine the affinity of the column only. (source: lang_createtable.html, checked-by: tcl/e_createtable.test, matrix: context, detail)
The highwater mark associated with SQLITE_DBSTATUS_CACHE_USED_SHARED is always 0. (source: c3ref/c_dbstatus_options.html, matrix: context, detail)
If the sub-query is a compound SELECT, then all compound operators must be UNION ALL, and no terms with the subquery compound may be aggregate or DISTINCT, and every term within the subquery must have a FROM clause, and the outer query may not be an aggregate, DISTINCT query, or join. (source: optoverview.html, matrix: context, detail)
In particular, rows containing NULL values are not handled any differently from rows without NULL values. (source: lang_expr.html, checked-by: tcl/e_expr.test, matrix: context, detail)
The round(X,Y) function returns a floating-point value X rounded to Y digits to the right of the decimal point. (source: lang_corefunc.html, checked-by: th3/cov1/func02.test, matrix: context, detail)
All intervening SAVEPOINTs are canceled, however. (source: lang_savepoint.html, matrix: context, detail)
In other words, if many of the queries run against the FTS4 table use "ORDER BY docid DESC", then it may improve performance to add the "order=desc" option to the CREATE VIRTUAL TABLE statement. (source: fts3.html, matrix: context, detail)
Both the first and second forms of the pragma listed above return a single result row containing a single integer column - the value of the journal size limit in bytes. (source: pragma.html, checked-by: th3/req1/pragma26.test, matrix: context, detail)
When faced with the choice of using an index to satisfy WHERE clause constraints or satisfying an ORDER BY clause, SQLite does the same cost analysis described above and chooses the index that it believes will result in the fastest answer. (source: optoverview.html, matrix: context, detail)
If the journal mode could not be changed, the original journal mode is returned. (source: pragma.html, checked-by: th3/req1/pragma23.test, matrix: context, detail)
The sqlite3_value_dup(V) interface makes a copy of the sqlite3_value object D and returns a pointer to that copy. (source: c3ref/value_dup.html, matrix: context, detail)
Transactions involving multiple attached databases are atomic, assuming that the main database is not ":memory:" and the journal_mode is not WAL. (source: lang_attach.html, checked-by: th3/req1/attach02.test, th3/stress/crash002.test, th3/stress/crash003.test, matrix: context, detail)
For the purposes of sorting rows, values are compared in the same way as for comparison expressions. (source: lang_select.html, checked-by: tcl/e_select.test, matrix: context, detail)
When a connection (known as the blocked connection) fails to obtain a shared-cache lock and SQLITE_LOCKED is returned to the caller, the identity of the database connection (the blocking connection) that has locked the required resource is stored internally. (source: c3ref/unlock_notify.html, matrix: context, detail)
On success, sqlite3_blob_read() returns SQLITE_OK. Otherwise, an error code or an extended error code is returned. (source: c3ref/blob_read.html, checked-by: th3/cov1/vdbeblob01.test, matrix: context, detail)
The rollback journal file can be deleted (source: fileformat2.html, matrix: context, detail)
The ORDER BY clause on an UPDATE statement is used only to determine which rows fall within the LIMIT. The order in which rows are modified is arbitrary and is not influenced by the ORDER BY clause. (source: lang_update.html, checked-by: tcl/e_update.test, matrix: context, detail)
The index for "?NNN" parameters is the value of NNN. (source: c3ref/bind_blob.html, checked-by: th3/req1/bind01.test, matrix: context, detail)
The ADD COLUMN syntax is used to add a new column to an existing table. (source: lang_altertable.html, checked-by: th3/req1/altertable01.test, matrix: context, detail)
If the source database is modified by the using the same database connection as is used by the backup operation, then the backup database is automatically updated at the same time. (source: c3ref/backup_finish.html, matrix: context, detail)
It is only when the shared-memory wal-index is omitted, when the locking mode is EXCLUSIVE prior to the first WAL-mode database access, that the locking mode is stuck in EXCLUSIVE. (source: wal.html, checked-by: tcl/e_wal.test, th3/req1/pragma05.test, matrix: context, detail)
In a database that uses ptrmap pages, all pages at locations identified by the computation in the previous paragraph must be ptrmap page and no other page may be a ptrmap page. Except, if the byte-lock page happens to fall on the same page number as a ptrmap page, then the ptrmap is moved to the following page for that one case. (source: fileformat2.html, matrix: context, detail)
(source: syntax/raise-function.html, matrix: context, detail)
If N is less than 1 then a 1-byte random blob is returned. (source: lang_corefunc.html, checked-by: th3/req1/func03.test, matrix: context, detail)
szPage will always a power of two. (source: c3ref/pcache_methods2.html, matrix: context, detail)
The specific value of a WHERE-clause parameter might influence the choice of query plan if the parameter is the left-hand side of a LIKE or GLOB operator or if the parameter is compared to an indexed column and the SQLITE_ENABLE_STAT4 compile-time option is enabled. (source: c3ref/prepare.html, checked-by: th3/req1/prepare04.test, matrix: context, detail)
The implicit DELETE does not cause any SQL triggers to fire, but may invoke foreign key actions or constraint violations. (source: foreignkeys.html, checked-by: tcl/e_fkey.test, th3/req1/foreignkeys16.test, th3/req1/foreignkeys22.test, matrix: context, detail)
If there is an error, *ppStmt is set to NULL. (source: c3ref/prepare.html, checked-by: th3/req1/prepare01.test, matrix: context, detail)
END TRANSACTION is an alias for COMMIT. (source: lang_transaction.html, matrix: context, detail)
Expressions in an index may not reference other tables and may not use subqueries nor functions whose result might change (ex: random() or sqlite_version()). (source: lang_createindex.html, matrix: context, detail)
The memory returned by sqlite3_malloc(), sqlite3_realloc(), sqlite3_malloc64(), and sqlite3_realloc64() is always aligned to at least an 8 byte boundary, or to a 4 byte boundary if the SQLITE_4_BYTE_ALIGNED_MALLOC compile-time option is used. (source: c3ref/free.html, checked-by: src/malloc.c, th3/req1/malloc02.test, matrix: context, detail)
The unlikely(X) function returns the argument X unchanged. (source: lang_corefunc.html, checked-by: tcl/func3.test, matrix: context, detail)
Datatype conversions in comparisons of the form "x IN (SELECT y ...)" are handled is if the comparison were really "x=y". (source: datatype3.html, checked-by: th3/req1/datatype3_05.test, matrix: context, detail)
(source: syntax/signed-number.html, matrix: context, detail)
Internally, the BEGIN DEFERRED statement merely sets a flag on the database connection that turns off the automatic commit that would normally occur when the last statement finishes. (source: lang_transaction.html, matrix: context, detail)
The sqlite3_result_error() and sqlite3_result_error16() routines make a private copy of the error message text before they return. (source: c3ref/result_blob.html, checked-by: th3/req1/result01.test, matrix: context, detail)
PRAGMA schema.freelist_count; Return the number of unused pages in the database file. (source: pragma.html, checked-by: tcl/pragma2.test, th3/req1/pragma21.test, matrix: context, detail)
The following command-line session demonstrates this: sqlite> PRAGMA foreign_keys; 0 sqlite> PRAGMA foreign_keys = ON; sqlite> PRAGMA foreign_keys; 1 sqlite> PRAGMA foreign_keys = OFF; sqlite> PRAGMA foreign_keys; 0 (source: foreignkeys.html, checked-by: tcl/e_fkey.test, th3/req1/foreignkeys04.test, matrix: context, detail)
The P argument is a pointer to the database connection object and the X argument is unused. (source: c3ref/c_trace.html, checked-by: th3/cov1/trace01.test, matrix: context, detail)
The operand to the right of the LIKE operator contains the pattern and the left hand operand contains the string to match against the pattern. (source: lang_expr.html, checked-by: tcl/e_expr.test, matrix: context, detail)
The default busy callback is NULL. (source: c3ref/busy_handler.html, checked-by: th3/req1/busy01.test, matrix: context, detail)
Any leading spaces in the TEXT value are ignored when converging from TEXT to REAL. (source: lang_expr.html, checked-by: tcl/e_expr.test, matrix: context, detail)
The 4-byte big-endian integer at offset 28 into the header stores the size of the database file in pages. (source: fileformat2.html, matrix: context, detail)
The sqlite3_snapshot_get(D,S,P) interface attempts to make a new sqlite3_snapshot object that records the current state of schema S in database connection D. (source: c3ref/snapshot_get.html, matrix: context, detail)
Named parameters are also numbered. The number assigned is one greater than the largest parameter number already assigned. (source: lang_expr.html, checked-by: tcl/e_expr.test, matrix: context, detail)
If either operand is a column, then the collating function of that column is used with precedence to the left operand. (source: datatype3.html, checked-by: th3/req1/datatype3_09.test, matrix: context, detail)
This ensures that the next writer will restart the log file from the beginning. (source: c3ref/wal_checkpoint_v2.html, matrix: context, detail)
When comparing a base expression against a WHEN expression, the same collating sequence, affinity, and NULL-handling rules apply as if the base expression and WHEN expression are respectively the left- and right-hand operands of an = operator. (source: lang_expr.html, checked-by: tcl/e_expr.test, matrix: context, detail)
In a well-formed b-tree page, the total number of bytes in fragments may not exceed 60. (source: fileformat2.html, checked-by: src/btree.c, matrix: context, detail)
With synchronous=FULL in WAL mode, an additional sync operation of the WAL file happens after each transaction commit. (source: pragma.html, matrix: context, detail)
FULL This mode blocks (invokes the busy-handler callback) until there is no database writer and all readers are reading from the most recent database snapshot. It then checkpoints all frames in the log file and syncs the database file. (source: pragma.html, checked-by: th3/req1/checkpoint01.test, matrix: context, detail)
It is an error to specify both a schema-name and the TEMP keyword on a VIEW, unless the schema-name is "temp". (source: lang_createview.html, matrix: context, detail)
The 4-byte big-endian integer at offset 56 determines the encoding used for all text strings stored in the database. (source: fileformat2.html, checked-by: th3/req1/fileformat03.test, matrix: context, detail)
An attempt to invoke the BEGIN command within a transaction will fail with an error, regardless of whether the transaction was started by SAVEPOINT or a prior BEGIN. (source: lang_transaction.html, matrix: context, detail)
A colon followed by an identifier name holds a spot for a named parameter with the name :AAAA. (source: lang_expr.html, checked-by: tcl/e_expr.test, matrix: context, detail)
No attempt is made to convert NULL or BLOB values. (source: datatype3.html, checked-by: th3/req1/datatype3_01.test, matrix: context, detail)
The sqlite3_preupdate_count(D) interface returns the number of columns in the row that is being inserted, updated, or deleted. (source: c3ref/preupdate_count.html, matrix: context, detail)
The specified column of row iRow contains a value that is not a TEXT or BLOB value (source: c3ref/blob_open.html, checked-by: tcl/e_blobopen.test, matrix: context, detail)
The explicit COMMIT command runs immediately, even if there are pending SELECT statements. (source: lang_transaction.html, matrix: context, detail)
The compound SELECT operators UNION, INTERSECT and EXCEPT perform implicit comparisons between values. (source: datatype3.html, checked-by: th3/req1/datatype3_07.test, matrix: context, detail)
The sqlite3_db_status() routine returns SQLITE_OK on success and a non-zero error code on failure. (source: c3ref/db_status.html, checked-by: th3/req1/dbstatus01.test, matrix: context, detail)
The sqlite_master table contains entries for internal schema objects in addition to application- and programmer-defined objects. (source: fileformat2.html, matrix: context, detail)
There can be an arbitrary number of sqlite_stat4 entries per index. (source: fileformat2.html, matrix: context, detail)
1 if the index-column is sorted in reverse (DESC) order by the index and 0 otherwise. (source: pragma.html, checked-by: tcl/pragma.test, th3/req1/pragma15x.test, matrix: context, detail)
For example: -- Database schema CREATE TABLE artist( artistid INTEGER PRIMARY KEY, artistname TEXT ); CREATE TABLE track( trackid INTEGER, trackname TEXT, trackartist INTEGER DEFAULT 0 REFERENCES artist(artistid) ON DELETE SET DEFAULT ); sqlite> SELECT * FROM artist; artistid artistname -------- ----------------- 3 Sammy Davis Jr. sqlite> SELECT * FROM track; trackid trackname trackartist ------- ----------------- ----------- 14 Mr. Bojangles 3 sqlite> -- Deleting the row from the parent table causes the child key sqlite> -- value of the dependent row to be set to integer value 0. However, this sqlite> -- value does not correspond to any row in the parent table. Therefore sqlite> -- the foreign key constraint is violated and an is exception thrown. sqlite> DELETE FROM artist WHERE artistname = 'Sammy Davis Jr.'; SQL error: foreign key constraint failed sqlite> -- This time, the value 0 does correspond to a parent table row. And sqlite> -- so the DELETE statement does not violate the foreign key constraint sqlite> -- and no exception is thrown. sqlite> INSERT INTO artist VALUES(0, 'Unknown Artist'); sqlite> DELETE FROM artist WHERE artistname = 'Sammy Davis Jr.'; sqlite> SELECT * FROM artist; artistid artistname -------- ----------------- 0 Unknown Artist sqlite> SELECT * FROM track; trackid trackname trackartist ------- ----------------- ----------- 14 Mr. Bojangles 0 (source: foreignkeys.html, checked-by: tcl/e_fkey.test, th3/req1/foreignkeys18.test, matrix: context, detail)
The "none" setting means that auto-vacuum is disabled. (source: pragma.html, checked-by: th3/req1/pragma07.test, matrix: context, detail)
If the result is NULL, then sqlite3_column_bytes16() returns zero. (source: c3ref/column_blob.html, checked-by: th3/req1/column01.test, matrix: context, detail)
The highwater mark is always 0. (source: c3ref/c_dbstatus_options.html, checked-by: src/status.c, matrix: context, detail)
The third and fourth parameters to this routine are passed directly through to the second and third parameters of the xFileControl method. (source: c3ref/file_control.html, matrix: context, detail)
If page B is a ptrmap page then back-link information about page B+1 is provided by the first entry on the pointer map. Information about page B+2 is provided by the second entry. And so forth. (source: fileformat2.html, matrix: context, detail)
The "double" variable pointed to by the V parameter will be set to the query planner's estimate for the average number of rows output from each iteration of the X-th loop. (source: c3ref/c_scanstat_est.html, checked-by: th3/cov1/status02.test, matrix: context, detail)
When text data is inserted into a NUMERIC column, the storage class of the text is converted to INTEGER or REAL (in order of preference) if the text is a well-formed integer or real literal, respectively. (source: datatype3.html, checked-by: th3/req1/datatype3_01.test, matrix: context, detail)
If no ROWID is specified on the insert, or if the specified ROWID has a value of NULL, then an appropriate ROWID is created automatically. (source: autoinc.html, checked-by: th3/req1/autoinc01.test, matrix: context, detail)
The table-name specified as part of an UPDATE statement within a trigger body must be unqualified. (source: lang_update.html, checked-by: tcl/e_update.test, matrix: context, detail)
Freelist leaf pages bear no information that would need to be restored on a rollback and so they are not written to the journal prior to modification, in order to reduce disk I/O. (source: fileformat2.html, matrix: context, detail)
Table columns that do not appear in the column list are populated with the default column value (specified as part of the CREATE TABLE statement), or with NULL if no default value is specified. (source: lang_insert.html, checked-by: tcl/e_insert.test, matrix: context, detail)
Note that calling sqlite3_busy_timeout() or evaluating PRAGMA busy_timeout=N will change the busy handler and thus clear any previously set busy handler. (source: c3ref/busy_handler.html, checked-by: th3/req1/busy01.test, matrix: context, detail)
A VACUUM will fail if there is an open transaction on the database connection that is attempting to run the VACUUM. (source: lang_vacuum.html, checked-by: src/vacuum.c, tcl/e_vacuum.test, matrix: context, detail)
Whenever a PRAGMA statement is parsed, an SQLITE_FCNTL_PRAGMA file control is sent to the open sqlite3_file object corresponding to the database file to which the pragma statement refers. (source: c3ref/c_fcntl_begin_atomic_write.html, checked-by: src/pragma.c, tcl/multiplex4.test, matrix: context, detail)
A VALUES clause cannot be followed by LIMIT. (source: lang_select.html, checked-by: th3/req1/select02.test, matrix: context, detail)
In other words, the schema-name. prefix on the table name is not allowed within triggers. (source: lang_delete.html, checked-by: tcl/e_delete.test, matrix: context, detail)
Division by zero gives a result of NULL. (source: datatype3.html, checked-by: th3/req1/datatype3_06.test, matrix: context, detail)
The locking-mode is either NORMAL or EXCLUSIVE. (source: pragma.html, checked-by: th3/req1/pragma04.test, matrix: context, detail)
If any of the sqlite3_bind_*() routines are called with a NULL pointer for the prepared statement or with a prepared statement for which sqlite3_step() has been called more recently than sqlite3_reset(), then the call will return SQLITE_MISUSE. (source: c3ref/bind_blob.html, checked-by: th3/req1/bind01.test, matrix: context, detail)
This mode works the same way as SQLITE_CHECKPOINT_FULL with the addition that after checkpointing the log file it blocks (calls the busy-handler callback) until all readers are reading from the database file only. (source: c3ref/wal_checkpoint_v2.html, checked-by: tcl/e_walckpt.test, th3/req1/checkpoint01.test, matrix: context, detail)
Note that case insensitivity only applies to latin1 characters - basically the upper and lower case letters of English in the lower 127 byte codes of ASCII. (source: optoverview.html, checked-by: th3/cov1/pragma02.test, matrix: context, detail)
Regardless of the compile-time configuration, any identifier that is not on the following 145 element list is not a keyword to the SQL parser in SQLite: ABORT ACTION ADD AFTER ALL ALTER ALWAYS ANALYZE AND AS ASC ATTACH AUTOINCREMENT BEFORE BEGIN BETWEEN BY CASCADE CASE CAST CHECK COLLATE COLUMN COMMIT CONFLICT CONSTRAINT CREATE CROSS CURRENT CURRENT_DATE CURRENT_TIME CURRENT_TIMESTAMP DATABASE DEFAULT DEFERRABLE DEFERRED DELETE DESC DETACH DISTINCT DO DROP EACH ELSE END ESCAPE EXCEPT EXCLUDE EXCLUSIVE EXISTS EXPLAIN FAIL FILTER FIRST FOLLOWING FOR FOREIGN FROM FULL GENERATED GLOB GROUP GROUPS HAVING IF IGNORE IMMEDIATE IN INDEX INDEXED INITIALLY INNER INSERT INSTEAD INTERSECT INTO IS ISNULL JOIN KEY LAST LEFT LIKE LIMIT MATCH NATURAL NO NOT NOTHING NOTNULL NULL NULLS OF OFFSET ON OR ORDER OTHERS OUTER OVER PARTITION PLAN PRAGMA PRECEDING PRIMARY QUERY RAISE RANGE RECURSIVE REFERENCES REGEXP REINDEX RELEASE RENAME REPLACE RESTRICT RIGHT ROLLBACK ROW ROWS SAVEPOINT SELECT SET TABLE TEMP TEMPORARY THEN TIES TO TRANSACTION TRIGGER UNBOUNDED UNION UNIQUE UPDATE USING VACUUM VALUES VIEW VIRTUAL WHEN WHERE WINDOW WITH WITHOUT (source: lang_keywords.html, checked-by: th3/req1/keyword01.test, matrix: context, detail)
Extension loading must be enabled using sqlite3_enable_load_extension() or sqlite3_db_config(db,SQLITE_DBCONFIG_ENABLE_LOAD_EXTENSION,1,NULL) prior to calling this API, otherwise an error will be returned. (source: c3ref/load_extension.html, matrix: context, detail)
PRAGMA foreign_key_list(table-name); This pragma returns one row for each foreign key constraint created by a REFERENCES clause in the CREATE TABLE statement of table "table-name". (source: pragma.html, checked-by: th3/req1/pragma17.test, matrix: context, detail)
In every case the first argument is a pointer to the prepared statement that is being evaluated (the sqlite3_stmt* that was returned from sqlite3_prepare_v2() or one of its variants) and the second argument is the index of the column for which information should be returned. (source: c3ref/column_blob.html, checked-by: th3/req1/column01.test, th3/req1/column02.test, th3/req1/column03.test, matrix: context, detail)
When auto-vacuum is disabled and data is deleted data from a database, the database file remains the same size. (source: pragma.html, checked-by: th3/req1/pragma07.test, matrix: context, detail)
If a NOT NULL constraint violation occurs, the REPLACE conflict resolution replaces the NULL value with the default value for that column, or if the column has no default value, then the ABORT algorithm is used. (source: lang_conflict.html, checked-by: th3/req1/conflict02.test, matrix: context, detail)
The rollback hook is invoked on a rollback that results from a commit hook returning non-zero, just as it would be with any other rollback. (source: c3ref/commit_hook.html, matrix: context, detail)
If the default value of the column is a constant NULL, text, blob or signed-number value, then that value is used directly in the new row. (source: lang_createtable.html, checked-by: tcl/e_createtable.test, matrix: context, detail)
The byte-order specified by the BOM at the beginning of the text overrides the byte-order specified by the interface procedure. (source: c3ref/result_blob.html, matrix: context, detail)
If no WHEN clause is supplied, the SQL statements are executed every time the trigger fires. (source: lang_createtrigger.html, matrix: context, detail)
The values returned by sqlite3_column_bytes() and sqlite3_column_bytes16() do not include the zero terminators at the end of the string. (source: c3ref/column_blob.html, checked-by: th3/req1/column01.test, matrix: context, detail)
This option is used to enable or disable views. (source: c3ref/c_dbconfig_defensive.html, matrix: context, detail)
The cache sharing mode set by this interface effects all subsequent calls to sqlite3_open(), sqlite3_open_v2(), and sqlite3_open16(). Existing database connections continue to use the sharing mode that was in effect at the time they were opened. (source: c3ref/enable_shared_cache.html, matrix: context, detail)
The order of the entries indicates the nesting order. (source: eqp.html, matrix: context, detail)
For example, 0x1234 means the same as 4660 and 0x8000000000000000 means the same as -9223372036854775808. (source: lang_expr.html, checked-by: th3/req1/expr01.test, matrix: context, detail)
The incremental blob I/O mechanism does not work for WITHOUT ROWID tables. (source: withoutrowid.html, checked-by: tcl/without_rowid5.test, th3/cov1/vdbeblob01.test, matrix: context, detail)
Or, if a constraint definition does not include a conflict-clause or it is a CHECK constraint, the default conflict resolution algorithm is ABORT. (source: lang_createtable.html, checked-by: tcl/e_createtable.test, matrix: context, detail)
Again, in this case the call to sqlite3_backup_step() can be retried later on. (source: c3ref/backup_finish.html, matrix: context, detail)
Each SCAN or SEARCH record includes the following information: The name of the table data is read from. Whether or not an index or automatic index is used. Whether or not the covering index optimization applies. Which terms of the WHERE clause are used for indexing. (source: eqp.html, matrix: context, detail)
Mathematical operators (+, -, *, /, %, <<, >>, &, and |) interpret both operands as if they were numbers. STRING or BLOB operands automatically convert into REAL or INTEGER values. (source: datatype3.html, checked-by: th3/req1/datatype3_06.test, matrix: context, detail)
The P argument is a pointer to the prepared statement and the X argument points to a 64-bit integer which is the estimated of the number of nanosecond that the prepared statement took to run. (source: c3ref/c_trace.html, checked-by: th3/cov1/trace01.test, matrix: context, detail)
SQLITE_LIMIT_EXPR_DEPTH The maximum depth of the parse tree on any expression. (source: c3ref/c_limit_attached.html, checked-by: tcl/sqllimits1.test, th3/req1/limit02.test, matrix: context, detail)
A VALUES clause cannot be followed by ORDER BY. (source: lang_select.html, checked-by: th3/req1/select02.test, matrix: context, detail)
To mark a foreign key constraint as deferred, its declaration must include the following clause: DEFERRABLE INITIALLY DEFERRED -- A deferred foreign key constraint (source: foreignkeys.html, checked-by: tcl/e_fkey.test, th3/req1/foreignkeys12.test, matrix: context, detail)
The full amount of memory used by the schemas is reported, even if the schema memory is shared with other database connections due to shared cache mode being enabled. (source: c3ref/c_dbstatus_options.html, checked-by: th3/req1/dbstatus02.test, matrix: context, detail)
Every value in SQLite has one of five fundamental datatypes: 64-bit signed integer 64-bit IEEE floating point number string BLOB NULL (source: c3ref/c_blob.html, checked-by: src/vdbeapi.c, tcl/capi3.test, th3/req1/column01.test, matrix: context, detail)
The highest recorded value is returned in *pHighwater. (source: c3ref/status.html, matrix: context, detail)
The RELEASE command starts with the most recent addition to the transaction stack and releases savepoints backwards in time until it releases a savepoint with a matching savepoint-name. (source: lang_savepoint.html, matrix: context, detail)
The query string consists of text following the first "?" character but excluding the optional fragment that begins with "#". (source: uri.html, matrix: context, detail)
When query results are sorted by an ORDER BY clause, values with storage class NULL come first, followed by INTEGER and REAL values interspersed in numeric order, followed by TEXT values in collating sequence order, and finally BLOB values in memcmp() order. (source: datatype3.html, checked-by: th3/req1/datatype3_04.test, matrix: context, detail)
Inner joins to the left and right of the outer join might be reordered if the optimizer thinks that is advantageous but the outer joins are always evaluated in the order in which they occur. (source: optoverview.html, matrix: context, detail)
SQLITE_LIMIT_LIKE_PATTERN_LENGTH The maximum length of the pattern argument to the LIKE or GLOB operators. (source: c3ref/c_limit_attached.html, checked-by: tcl/sqllimits1.test, th3/req1/limit02.test, matrix: context, detail)
Value is the integer 0. (source: fileformat2.html, checked-by: src/vdbeaux.c, th3/req1/fileformat02.test, matrix: context, detail)
When multiple implementations of the same function are available, SQLite will pick the one that involves the least amount of data conversion. (source: c3ref/create_function.html, checked-by: th3/req1/createfunc04.test, matrix: context, detail)
Unrecognized arguments are silently ignored. (source: fileformat2.html, matrix: context, detail)
The maximum value is the value that would be returned last in an ORDER BY on the same column. (source: lang_aggfunc.html, checked-by: th3/req1/aggfunc01.test, matrix: context, detail)
The number of columns in an index is limited to the value set by sqlite3_limit(SQLITE_LIMIT_COLUMN,...). (source: lang_createindex.html, checked-by: th3/req1/createidx03.test, matrix: context, detail)
Note that the authorizer callback is invoked only during sqlite3_prepare() or its variants. (source: c3ref/set_authorizer.html, matrix: context, detail)
A function where the encoding difference is between UTF16le and UTF16be is a closer match than a function where the encoding difference is between UTF8 and UTF16. (source: c3ref/create_function.html, checked-by: th3/req1/createfunc04.test, matrix: context, detail)
The subquery and the outer query do not both have ORDER BY clauses. (source: optoverview.html, matrix: context, detail)
Otherwise, if no error occurs, sqlite3_db_cacheflush() returns SQLITE_OK. (source: c3ref/db_cacheflush.html, matrix: context, detail)
Parameters of the form "?" without a following integer have no name and are referred to as "nameless" or "anonymous parameters". (source: c3ref/bind_parameter_name.html, checked-by: th3/req1/bind04.test, matrix: context, detail)
No error is returned for uniqueness, NOT NULL, and UNIQUE constraint errors when the IGNORE conflict resolution algorithm is used. (source: lang_conflict.html, checked-by: th3/req1/conflict01.test, matrix: context, detail)
Each entry in the table b-tree corresponds to a row of the SQL table. (source: fileformat2.html, matrix: context, detail)
The string returned by sqlite_source_id() is the date and time that the source code was checked in followed by the SHA1 hash for that check-in. (source: lang_corefunc.html, checked-by: th3/req1/func03.test, matrix: context, detail)
SQLITE_BUSY means that the database engine was unable to acquire the database locks it needs to do its job. (source: c3ref/step.html, matrix: context, detail)
(source: syntax/simple-select-stmt.html, matrix: context, detail)
This interface returns a pointer to the next prepared statement after pStmt associated with the database connection pDb. (source: c3ref/next_stmt.html, checked-by: th3/cov1/vdbeapi04.test, matrix: context, detail)
The sqlite3_memory_used() routine returns the number of bytes of memory currently outstanding (malloced but not freed). (source: c3ref/memory_highwater.html, matrix: context, detail)
When two BLOB values are compared, the result is determined using memcmp(). (source: datatype3.html, checked-by: th3/req1/datatype3_04.test, matrix: context, detail)
If Z is negative then the abs(Z) characters preceding the Y-th character are returned. (source: lang_corefunc.html, checked-by: th3/cov1/func02.test, matrix: context, detail)
The escape character followed by a percent symbol (%), underscore (_), or a second instance of the escape character itself matches a literal percent symbol, underscore, or a single escape character, respectively. (source: lang_expr.html, checked-by: tcl/e_expr.test, matrix: context, detail)
PRAGMA pragma_list; This pragma returns a list of PRAGMA commands known to the database connection. (source: pragma.html, matrix: context, detail)
Usually, the parent key of a foreign key constraint is the primary key of the parent table. If they are not the primary key, then the parent key columns must be collectively subject to a UNIQUE constraint or have a UNIQUE index. (source: foreignkeys.html, checked-by: tcl/e_fkey.test, th3/req1/foreignkeys07.test, matrix: context, detail)
The CREATE VIEW command assigns a name to a pre-packaged SELECT statement. (source: lang_createview.html, checked-by: th3/req1/view01.test, matrix: context, detail)
The sqlite3_data_count(P) will return non-zero if previous call to sqlite3_step(P) returned SQLITE_ROW, except in the case of the PRAGMA incremental_vacuum where it always returns zero since each step of that multi-step pragma returns 0 columns of data. (source: c3ref/data_count.html, checked-by: th3/req1/datacnt01.test, matrix: context, detail)
In a compound SELECT, only the last or right-most simple SELECT may contain a LIMIT clause. (source: lang_select.html, checked-by: tcl/limit.test, th3/req1/select02.test, matrix: context, detail)
The second integer on a freelist trunk page is the number of leaf page pointers to follow. (source: fileformat2.html, checked-by: src/btree.c, matrix: context, detail)
A new R*Tree index is created as follows: CREATE VIRTUAL TABLE
The default isolation level for SQLite is SERIALIZABLE. (source: pragma.html, matrix: context, detail)
When immutable is set, SQLite assumes that the database file cannot be changed, even by a process with higher privilege, and so the database is opened read-only and all locking and change detection is disabled. (source: c3ref/open.html, checked-by: th3/cov1/nolock01.test, matrix: context, detail)
The sqlite3_result_text(), sqlite3_result_text16(), sqlite3_result_text16le(), and sqlite3_result_text16be() interfaces set the return value of the application-defined function to be a text string which is represented as UTF-8, UTF-16 native byte order, UTF-16 little endian, or UTF-16 big endian, respectively. (source: c3ref/result_blob.html, checked-by: th3/req1/result02.test, matrix: context, detail)
Newer versions of SQLite use the in-header database size if it is available but fall back to the actual file size if the in-header database size is not valid. (source: fileformat2.html, matrix: context, detail)
Note that SQLite allows the parenthesized list of scalar values on the right-hand side of an IN or NOT IN operator to be an empty list but most other SQL database database engines and the SQL92 standard require the list to contain at least one element. (source: lang_expr.html, checked-by: tcl/tkt-80e031a00f.test, matrix: context, detail)
A 3-dimensional R*Tree has 7 columns. (source: rtree.html, matrix: context, detail)
Missing values at the end of the record are filled in using the default value for the corresponding columns defined in the table schema. (source: fileformat2.html, matrix: context, detail)
The file change counter is a 4-byte big-endian integer at offset 24 that is incremented whenever the database file is unlocked after having been modified. (source: fileformat2.html, matrix: context, detail)
The current value of the requested counter is returned. (source: c3ref/stmt_status.html, matrix: context, detail)
The count(*) function (with no arguments) returns the total number of rows in the group. (source: lang_aggfunc.html, checked-by: th3/req1/aggfunc01.test, matrix: context, detail)
As long as exactly one connection is using a shared-memory wal-index, the locking mode can be changed freely between NORMAL and EXCLUSIVE. (source: wal.html, checked-by: tcl/e_wal.test, th3/req1/pragma05.test, matrix: context, detail)
For clarity: the values returned by sqlite3_column_bytes() and sqlite3_column_bytes16() are the number of bytes in the string, not the number of characters. (source: c3ref/column_blob.html, checked-by: th3/req1/column01.test, matrix: context, detail)
The random() function returns a pseudo-random integer between -9223372036854775808 and +9223372036854775807. (source: lang_corefunc.html, checked-by: th3/req1/func03.test, matrix: context, detail)
PRAGMA schema.cache_size; PRAGMA schema.cache_size = pages; PRAGMA schema.cache_size = -kibibytes; Query or change the suggested maximum number of database disk pages that SQLite will hold in memory at once per open database file. (source: pragma.html, checked-by: tcl/pragma.test, th3/req1/pragma09.test, matrix: context, detail)
The sqlite3_load_extension() interface attempts to load an SQLite extension library contained in the file zFile. (source: c3ref/load_extension.html, matrix: context, detail)
If foreign key constraints are enabled and a column with a REFERENCES clause is added, the column must have a default value of NULL. (source: lang_altertable.html, checked-by: th3/req1/altertable01.test, matrix: context, detail)
For an "ON UPDATE CASCADE" action, it means that the values stored in each dependent child key are modified to match the new parent key values. (source: foreignkeys.html, checked-by: tcl/e_fkey.test, th3/req1/foreignkeys16.test, matrix: context, detail)
This means that when VACUUMing a database, as much as twice the size of the original database file is required in free disk space. (source: lang_vacuum.html, matrix: context, detail)
(source: syntax/compound-select-stmt.html, matrix: context, detail)
A NULL result is considered untrue when evaluating WHEN terms. (source: lang_expr.html, checked-by: tcl/e_expr.test, matrix: context, detail)
Supported unary prefix operators are these: - + ~ NOT (source: lang_expr.html, checked-by: tcl/e_expr.test, matrix: context, detail)
And a 5-dimensional R*Tree has 11 columns. (source: rtree.html, matrix: context, detail)
A SELECT statement will always have a positive sqlite3_column_count() but depending on the WHERE clause constraints and the table content, it might return no rows. (source: c3ref/column_count.html, matrix: context, detail)
No affinity is applied to comparison operands for the implicit comparisons associated with UNION, INTERSECT, or EXCEPT - the values are compared as is. (source: datatype3.html, checked-by: th3/req1/datatype3_07.test, matrix: context, detail)
If an error code is returned, that error will propagate back up through the SQLite code base to cause the statement that provoked the callback to report an error, though the commit will have still occurred. (source: c3ref/wal_hook.html, checked-by: tcl/e_walhook.test, matrix: context, detail)
The special encoding rules for columns with REAL affinity apply to WITHOUT ROWID tables the same as they do with rowid tables. (source: fileformat2.html, matrix: context, detail)
Parameters that are not assigned values using sqlite3_bind() are treated as NULL. (source: lang_expr.html, checked-by: tcl/e_expr.test, matrix: context, detail)
If the commit hook returns non-zero, then the COMMIT is converted into a ROLLBACK. (source: c3ref/commit_hook.html, matrix: context, detail)
If there is no ELSE expression and none of the WHEN expressions are true, then the overall result is NULL. (source: lang_expr.html, checked-by: tcl/e_expr.test, matrix: context, detail)
If any other error occurs while flushing dirty pages to disk (for example an IO error or out-of-memory condition), then processing is abandoned and an SQLite error code is returned to the caller immediately. (source: c3ref/db_cacheflush.html, matrix: context, detail)
The SQLITE_FCNTL_FILE_POINTER value for the op parameter causes a pointer to the underlying sqlite3_file object to be written into the space pointed to by the 4th parameter. (source: c3ref/file_control.html, matrix: context, detail)
PRAGMA recursive_triggers; PRAGMA recursive_triggers = boolean; Query, set, or clear the recursive trigger capability. (source: pragma.html, matrix: context, detail)
If foreign key constraints are enabled when it is prepared, the DROP TABLE command performs an implicit DELETE to remove all rows from the table before dropping it. (source: foreignkeys.html, checked-by: tcl/e_fkey.test, th3/req1/foreignkeys16.test, th3/req1/foreignkeys22.test, matrix: context, detail)
If the function pointer is NULL, the sqlite3_log() interface becomes a no-op. (source: c3ref/c_config_covering_index_scan.html, checked-by: th3/cov1/log01.test, matrix: context, detail)
Any attempt to create a function with a longer name will result in SQLITE_MISUSE being returned. (source: c3ref/create_function.html, checked-by: th3/req1/createfunc01.test, matrix: context, detail)
The new column may take any of the forms permissible in a CREATE TABLE statement, with the following restrictions: (source: lang_altertable.html, checked-by: th3/req1/altertable01.test, matrix: context, detail)
If database zDb is the name of an attached database that is not in WAL mode, SQLITE_OK is returned and both *pnLog and *pnCkpt set to -1. (source: c3ref/wal_checkpoint_v2.html, checked-by: tcl/e_walckpt.test, matrix: context, detail)
(source: syntax/factored-select-stmt.html, matrix: context, detail)
1 if the index-column is a key column and 0 if the index-column is an auxiliary column. (source: pragma.html, checked-by: tcl/pragma.test, th3/req1/pragma15x.test, matrix: context, detail)
Note that the order of the rules for determining column affinity is important. (source: datatype3.html, checked-by: th3/req1/datatype3_01.test, matrix: context, detail)
If write-ahead log mode is disabled, this pragma is a harmless no-op. (source: pragma.html, checked-by: th3/req1/pragma29.test, matrix: context, detail)
If no successful INSERTs into rowid tables have ever occurred on the database connection D, then sqlite3_last_insert_rowid(D) returns zero. (source: c3ref/last_insert_rowid.html, checked-by: th3/cov1/withoutrowid01.test, matrix: context, detail)
This option sets the threading mode to Multi-thread. (source: c3ref/c_config_covering_index_scan.html, checked-by: src/main.c, matrix: context, detail)
The schema of the sqlite_stat1 table is as follows: CREATE TABLE sqlite_stat1(tbl,idx,stat); (source: fileformat2.html, matrix: context, detail)
The sqlite3_reset(S) interface resets the prepared statement S back to the beginning of its program. (source: c3ref/reset.html, checked-by: th3/req1/reset01.test, matrix: context, detail)
If the simple SELECT is a SELECT DISTINCT, then duplicate rows are removed from the set of result rows before it is returned. (source: lang_select.html, checked-by: tcl/e_select.test, matrix: context, detail)
(source: syntax/alter-table-stmt.html, matrix: context, detail)
If SQLite is compiled with the SQLITE_THREADSAFE=0 compile-time option then the entire mutexing subsystem is omitted from the build and hence calls to sqlite3_config() with the SQLITE_CONFIG_GETMUTEX configuration option will return SQLITE_ERROR. (source: c3ref/c_config_covering_index_scan.html, checked-by: src/main.c, th3/th3main.c, matrix: context, detail)
If N is zero then memory mapped I/O is disabled. (source: pragma.html, matrix: context, detail)
An INTEGER or REAL value is less than any TEXT or BLOB value. (source: datatype3.html, checked-by: th3/req1/datatype3_04.test, matrix: context, detail)
The sqlite3_uint64 and sqlite_uint64 types can store integer values between 0 and +18446744073709551615 inclusive. (source: c3ref/int64.html, checked-by: th3/req1/int64_01.test, matrix: context, detail)
the complete database schema for efficient implementation of the foreign key constraint might be: CREATE TABLE artist( artistid INTEGER PRIMARY KEY, artistname TEXT ); CREATE TABLE track( trackid INTEGER, trackname TEXT, trackartist INTEGER REFERENCES artist ); CREATE INDEX trackindex ON track(trackartist); (source: foreignkeys.html, checked-by: tcl/e_fkey.test, th3/req1/foreignkeys09.test, matrix: context, detail)
The sqlite3_blob_bytes() interface returns the size of the BLOB in bytes. (source: c3ref/blob.html, checked-by: th3/cov1/vdbeblob01.test, matrix: context, detail)
Value is a BLOB that is (N-12)/2 bytes in length. (source: fileformat2.html, checked-by: src/vdbeaux.c, th3/req1/fileformat02.test, matrix: context, detail)
This is the number of rows inserted into transient indices that were created automatically in order to help joins run faster. (source: c3ref/c_stmtstatus_counter.html, matrix: context, detail)
PRAGMA schema.table_xinfo(table-name); This pragma returns one row for each column in the named table, including hidden columns in virtual tables. (source: pragma.html, matrix: context, detail)
If either X or Y are NULL in instr(X,Y) then the result is NULL. (source: lang_corefunc.html, checked-by: tcl/instr.test, matrix: context, detail)
Bindings are not cleared by the sqlite3_reset() routine. (source: c3ref/bind_blob.html, checked-by: th3/req1/bind01.test, matrix: context, detail)
If a schema name is specified, then only that one schema is searched for the named object. (source: lang_naming.html, checked-by: tcl/e_resolve.test, matrix: context, detail)
The fourth parameter to the preupdate callback is the name of the database within the database connection that is being modified. This will be "main" for the main database or "temp" for TEMP tables or the name given after the AS keyword in the ATTACH statement for attached databases. (source: c3ref/preupdate_count.html, matrix: context, detail)
Every column of every table has an associated collating function. (source: datatype3.html, checked-by: th3/req1/datatype3_09.test, matrix: context, detail)
The sqlite3_mutex_enter() and sqlite3_mutex_try() routines attempt to enter a mutex. (source: c3ref/mutex_alloc.html, matrix: context, detail)
(source: syntax/commit-stmt.html, matrix: context, detail)
The xShutdown method is only called from sqlite3_shutdown() so it does not need to be threadsafe either. (source: c3ref/pcache_methods2.html, matrix: context, detail)
The last_insert_rowid() function returns the ROWID of the last row insert from the database connection which invoked the function. (source: lang_corefunc.html, checked-by: th3/req1/func01.test, matrix: context, detail)
Generated columns can have a datatype. (source: gencol.html, matrix: context, detail)
For the purposes of grouping rows, NULL values are considered equal. (source: lang_select.html, checked-by: tcl/e_select.test, matrix: context, detail)
The soft heap limit is automatically enabled whenever the hard heap limit is enabled. (source: c3ref/hard_heap_limit64.html, matrix: context, detail)
For indexes on WITHOUT ROWID tables, N will be the number of columns indexed plus the number of columns in the primary key. (source: fileformat2.html, matrix: context, detail)
If this flag is set, then the F_FULLFSYNC syncing method is used during checkpoint operations on systems that support F_FULLFSYNC. (source: pragma.html, checked-by: th3/req1/pragma11.test, matrix: context, detail)
A 1-dimensional R*Tree thus has 3 columns. (source: rtree.html, matrix: context, detail)
A zero is returned if no matching parameter is found. (source: c3ref/bind_parameter_index.html, checked-by: th3/req1/bind03.test, matrix: context, detail)
The registration remains valid until it is replaced by a different module or until the database connection closes. (source: c3ref/module.html, matrix: context, detail)
However, if an insert fails due to (for example) a uniqueness constraint, the ROWID of the failed insertion attempt might not be reused on subsequent inserts, resulting in gaps in the ROWID sequence. (source: autoinc.html, checked-by: th3/req1/autoinc01.test, matrix: context, detail)
The authorizer callback is invoked as SQL statements are being compiled by sqlite3_prepare() or its variants sqlite3_prepare_v2(), sqlite3_prepare_v3(), sqlite3_prepare16(), sqlite3_prepare16_v2(), and sqlite3_prepare16_v3(). (source: c3ref/set_authorizer.html, matrix: context, detail)
Numeric values (serial types 1 through 9) sort after NULLs and in numeric order. (source: fileformat2.html, checked-by: th3/req1/fileformat05.test, matrix: context, detail)
If the 5th parameter to sqlite3_exec() is not NULL then any error message is written into memory obtained from sqlite3_malloc() and passed back through the 5th parameter. (source: c3ref/exec.html, checked-by: th3/req1/exec01.test, matrix: context, detail)
The returned value is one of SQLITE_INTEGER, SQLITE_FLOAT, SQLITE_TEXT, SQLITE_BLOB, or SQLITE_NULL. (source: c3ref/column_blob.html, checked-by: th3/req1/column01.test, matrix: context, detail)
The N-th integer (for N>1) is the estimated average number of rows in the index which have the same value for the first N-1 columns. (source: fileformat2.html, matrix: context, detail)
The solution to enforcing one leader per team is to create a unique index on team_id but restricted to those entries for which is_team_leader is true: CREATE UNIQUE INDEX team_leader ON person(team_id) WHERE is_team_leader; (source: partialindex.html, checked-by: th3/cov1/index01.test, matrix: context, detail)
For the purposes of this routine, an INSERT is considered to be successful even if it is subsequently rolled back. (source: c3ref/last_insert_rowid.html, matrix: context, detail)
Virtual tables methods can set an error message by assigning a string obtained from sqlite3_mprintf() to zErrMsg. (source: c3ref/vtab.html, checked-by: th3/req1/vtab01.test, matrix: context, detail)
If the table has never before contained any data, then a ROWID of 1 is used. (source: autoinc.html, checked-by: th3/req1/autoinc01.test, matrix: context, detail)
The name for the collating sequence used to compare values in the index-column. (source: pragma.html, checked-by: tcl/pragma.test, th3/req1/pragma15x.test, matrix: context, detail)
When multiple database connections share the same cache, changing the secure-delete flag on one database connection changes it for them all. (source: pragma.html, checked-by: th3/cov1/pragma21.test, matrix: context, detail)
The second parameter to the logger function is a copy of the first parameter to the corresponding sqlite3_log() call and is intended to be a result code or an extended result code. (source: c3ref/c_config_covering_index_scan.html, checked-by: th3/cov1/log01.test, matrix: context, detail)
A column that uses INTEGER affinity behaves the same as a column with NUMERIC affinity. (source: datatype3.html, checked-by: th3/req1/datatype3_01.test, matrix: context, detail)
SQLite does not use the lock-byte page. (source: fileformat2.html, matrix: context, detail)
If the default value of a column is CURRENT_TIME, CURRENT_DATE or CURRENT_TIMESTAMP, then the value used in the new row is a text representation of the current UTC date and/or time. (source: lang_createtable.html, checked-by: tcl/e_createtable.test, matrix: context, detail)
A keyword enclosed in square brackets is an identifier. (source: lang_keywords.html, checked-by: th3/req1/keyword01.test, matrix: context, detail)
PRAGMA schema.foreign_key_check; PRAGMA schema.foreign_key_check(table-name); (source: pragma.html, checked-by: tcl/fkey5.test, th3/cov1/fkey23.test, matrix: context, detail)
Indices are not required for child key columns (source: foreignkeys.html, checked-by: tcl/e_fkey.test, th3/req1/foreignkeys07.test, matrix: context, detail)
Furthermore, the data_store_directory pragma always assumes that any string that this variable points to is held in memory obtained from sqlite3_malloc and the pragma may attempt to free that memory using sqlite3_free. (source: c3ref/data_directory.html, matrix: context, detail)
An SQLITE_TRACE_STMT callback is invoked when a prepared statement first begins running and possibly at other times during the execution of the prepared statement, such as at the start of each trigger subprogram. (source: c3ref/c_trace.html, checked-by: th3/cov1/trace01.test, matrix: context, detail)
The maximum and minimum embedded payload fractions and the leaf payload fraction values must be 64, 32, and 32. (source: fileformat2.html, checked-by: src/btree.c, matrix: context, detail)
The second callback argument is one of SQLITE_INSERT, SQLITE_DELETE, or SQLITE_UPDATE, depending on the operation that caused the callback to be invoked. (source: c3ref/update_hook.html, checked-by: tcl/hook.test, th3/cov1/main15.test, matrix: context, detail)
SQLite understands the following binary operators, in order from highest to lowest precedence: || * / % + - << >> & | < <= > >= = == != <> IS IS NOT IN LIKE GLOB MATCH REGEXP AND OR (source: lang_expr.html, checked-by: tcl/e_expr.test, matrix: context, detail)
For all of these errors, SQLite attempts to undo just the one statement it was working on and leave changes from prior statements within the same transaction intact and continue with the transaction. (source: lang_transaction.html, matrix: context, detail)
If the largest root b-tree page value is zero, then the database must not contain ptrmap pages. (source: fileformat2.html, matrix: context, detail)
So just because a column is declared to contain a particular type does not mean that the data stored in that column is of the declared type. (source: c3ref/column_decltype.html, matrix: context, detail)
The added rows contain NULL values in the columns that would normally contain values copied from the right-hand input dataset. (source: lang_select.html, checked-by: tcl/e_select.test, matrix: context, detail)
Unfinalized SQL statements typically hold a read transaction open, so the VACUUM might fail if there are unfinalized SQL statements on the same connection. (source: lang_vacuum.html, checked-by: src/vacuum.c, matrix: context, detail)
If it is NULL, then all attached databases are searched for the table using the same algorithm used by the database engine to resolve unqualified table references. (source: c3ref/table_column_metadata.html, checked-by: th3/cov1/metadata01.test, matrix: context, detail)
In this case the call to sqlite3_backup_step() can be retried later. (source: c3ref/backup_finish.html, matrix: context, detail)
If the locking mode is EXCLUSIVE when first entering WAL journal mode, then the locking mode cannot be changed to NORMAL until after exiting WAL journal mode. (source: pragma.html, checked-by: th3/req1/pragma05.test, matrix: context, detail)
PRAGMA schema.page_count; Return the total number of pages in the database file. (source: pragma.html, checked-by: tcl/pragma.test, th3/req1/pragma12.test, matrix: context, detail)
If it is set to "ASC" (the default), then the data structures are optimized for returning results in ascending order by docid. (source: fts3.html, matrix: context, detail)
The LIKE optimization will only be attempted if the right-hand side of the GLOB or LIKE operator is either literal string or a parameter that has been bound to a string literal. (source: optoverview.html, matrix: context, detail)
Keyword arguments can optionally appear in quotes. (source: pragma.html, checked-by: th3/req1/pragma01.test, matrix: context, detail)
The child key index does not have to be (and usually will not be) a UNIQUE index. (source: foreignkeys.html, checked-by: tcl/e_fkey.test, th3/req1/foreignkeys09.test, matrix: context, detail)
When comparing text values, the collating sequence associated with the parent key column is always used. (source: foreignkeys.html, checked-by: tcl/e_fkey.test, th3/req1/foreignkeys03.test, matrix: context, detail)
If index-name does not exist or cannot be used for the query, then the preparation of the SQL statement fails. (source: lang_indexedby.html, checked-by: tcl/indexedby.test, matrix: context, detail)
The SQLITE_TRANSIENT value means that the content will likely change in the near future and that SQLite should make its own private copy of the content before returning. (source: c3ref/c_static.html, checked-by: th3/req1/clearbind01.test, th3/req1/static01.test, matrix: context, detail)
The IN and NOT IN operators take an expression on the left and a list of values or a subquery on the right. (source: lang_expr.html, checked-by: th3/cov1/in01.test, matrix: context, detail)
The first parameter is a prepared statement. If this statement is a SELECT statement and the Nth column of the returned result set of that SELECT is a table column (not an expression or subquery) then the declared type of the table column is returned. (source: c3ref/column_decltype.html, matrix: context, detail)
The psow query parameter overrides the powersafe overwrite property of the database file being opened. (source: uri.html, matrix: context, detail)
The WHERE clause on a query is broken up into "terms" where each term is separated from the others by an AND operator. (source: optoverview.html, matrix: context, detail)
The "." character is always used as the decimal point even if the locale setting specifies "," for this role - the use of "," for the decimal point would result in syntactic ambiguity. (source: lang_expr.html, checked-by: th3/req1/expr01.test, matrix: context, detail)
Similarly, the "DEFAULT VALUES" form of the INSERT statement is supported for top-level INSERT statements only and not for INSERT statements within triggers. (source: lang_insert.html, checked-by: tcl/e_insert.test, matrix: context, detail)
In incremental mode, the separate incremental_vacuum pragma must be invoked to cause the auto-vacuum to occur. (source: pragma.html, checked-by: th3/req1/pragma07.test, matrix: context, detail)
As you would expect, it is not possible to manipulate the database to a state that violates the foreign key constraint by deleting or updating rows in the artist table either: sqlite> -- Attempting to delete the artist record for "Frank Sinatra" fails, since sqlite> -- the track table contains a row that refer to it. sqlite> DELETE FROM artist WHERE artistname = 'Frank Sinatra'; SQL error: foreign key constraint failed sqlite> -- Delete all the records from the track table that refer to the artist sqlite> -- "Frank Sinatra". Only then is it possible to delete the artist. sqlite> DELETE FROM track WHERE trackname = 'My Way'; sqlite> DELETE FROM artist WHERE artistname = 'Frank Sinatra'; sqlite> -- Try to update the artistid of a row in the artist table while there sqlite> -- exists records in the track table that refer to it. sqlite> UPDATE artist SET artistid=4 WHERE artistname = 'Dean Martin'; SQL error: foreign key constraint failed sqlite> -- Once all the records that refer to a row in the artist table have sqlite> -- been deleted, it is possible to modify the artistid of the row. sqlite> DELETE FROM track WHERE trackname IN('That''s Amore', 'Christmas Blues'); sqlite> UPDATE artist SET artistid=4 WHERE artistname = 'Dean Martin'; (source: foreignkeys.html, checked-by: tcl/e_fkey.test, th3/req1/foreignkeys01.test, matrix: context, detail)
The other allowed parameters to sqlite3_mutex_alloc() (anything other than SQLITE_MUTEX_FAST and SQLITE_MUTEX_RECURSIVE) each return a pointer to a static preexisting mutex. (source: c3ref/mutex_alloc.html, matrix: context, detail)
This function returns the number of rows modified, inserted or deleted by the most recently completed INSERT, UPDATE or DELETE statement on the database connection specified by the only parameter. (source: c3ref/changes.html, checked-by: tcl/e_changes.test, matrix: context, detail)
PRAGMA read_uncommitted; PRAGMA read_uncommitted = boolean; Query, set, or clear READ UNCOMMITTED isolation. (source: pragma.html, matrix: context, detail)
The min() aggregate function returns the minimum non-NULL value of all values in the group. (source: lang_aggfunc.html, checked-by: th3/req1/aggfunc01.test, matrix: context, detail)
If the "unordered" argument is present, then the query planner assumes that the index is unordered and will not use the index for a range query or for sorting. (source: fileformat2.html, checked-by: th3/cov1/unordered01.test, matrix: context, detail)
The extension can add new functions or collating sequences, but cannot modify or delete existing functions or collating sequences because those functions and/or collating sequences might be used elsewhere in the currently running SQL statement. (source: lang_corefunc.html, checked-by: th3/cov1/func03.test, matrix: context, detail)
If the FROM clause is omitted from a simple SELECT statement, then the input data is implicitly a single row zero columns wide (source: lang_select.html, checked-by: tcl/e_select.test, matrix: context, detail)
If the optional IF NOT EXISTS clause is present and another index with the same name already exists, then this command becomes a no-op. (source: lang_createindex.html, checked-by: th3/req1/createidx01.test, matrix: context, detail)
The following SQLite command-line session illustrates the effect of the foreign key constraint added to the track table: sqlite> SELECT * FROM artist; artistid artistname -------- ----------------- 1 Dean Martin 2 Frank Sinatra sqlite> SELECT * FROM track; trackid trackname trackartist ------- ----------------- ----------- 11 That's Amore 1 12 Christmas Blues 1 13 My Way 2 sqlite> -- This fails because the value inserted into the trackartist column (3) sqlite> -- does not correspond to row in the artist table. sqlite> INSERT INTO track VALUES(14, 'Mr. Bojangles', 3); SQL error: foreign key constraint failed sqlite> -- This succeeds because a NULL is inserted into trackartist. A sqlite> -- corresponding row in the artist table is not required in this case. sqlite> INSERT INTO track VALUES(14, 'Mr. Bojangles', NULL); sqlite> -- Trying to modify the trackartist field of the record after it has sqlite> -- been inserted does not work either, since the new value of trackartist (3) sqlite> -- Still does not correspond to any row in the artist table. sqlite> UPDATE track SET trackartist = 3 WHERE trackname = 'Mr. Bojangles'; SQL error: foreign key constraint failed sqlite> -- Insert the required row into the artist table. It is then possible to sqlite> -- update the inserted row to set trackartist to 3 (since a corresponding sqlite> -- row in the artist table now exists). sqlite> INSERT INTO artist VALUES(3, 'Sammy Davis Jr.'); sqlite> UPDATE track SET trackartist = 3 WHERE trackname = 'Mr. Bojangles'; sqlite> -- Now that "Sammy Davis Jr." (artistid = 3) has been added to the database, sqlite> -- it is possible to INSERT new tracks using this artist without violating sqlite> -- the foreign key constraint: sqlite> INSERT INTO track VALUES(15, 'Boogie Woogie', 3); (source: foreignkeys.html, checked-by: tcl/e_fkey.test, th3/req1/foreignkeys01.test, matrix: context, detail)
After the error message is delivered up to the client application, the string will be automatically freed by sqlite3_free() and the zErrMsg field will be zeroed. (source: c3ref/vtab.html, checked-by: th3/req1/vtab01.test, matrix: context, detail)
SQLite uses a cost-based query planner that estimates the CPU and disk I/O costs of various competing query plans and chooses the plan that it thinks will be the fastest. (source: optoverview.html, matrix: context, detail)
The sqlite3_str_finish(X) interface will also return a NULL pointer if the string in sqlite3_str object X is zero bytes long. (source: c3ref/str_finish.html, matrix: context, detail)
The LIKE and GLOB optimizations consist of adding two virtual terms like this: column >= x AND column < y (source: optoverview.html, matrix: context, detail)
If X is a string then characters indices refer to actual UTF-8 characters. (source: lang_corefunc.html, checked-by: th3/cov1/func02.test, matrix: context, detail)
Whenever the xFilename parameter is NULL it will also be the case that the flags parameter will include SQLITE_OPEN_DELETEONCLOSE. (source: c3ref/vfs.html, checked-by: th3/th3testvfs.c, matrix: context, detail)
SQLite uses the string pointed to by the 2nd parameter of sqlite3_result_error() or sqlite3_result_error16() as the text of an error message. (source: c3ref/result_blob.html, checked-by: th3/req1/result01.test, matrix: context, detail)
Checkpoint as many frames as possible without waiting for any database readers or writers to finish, then sync the database file if all frames in the log were checkpointed. (source: c3ref/wal_checkpoint_v2.html, checked-by: tcl/e_walckpt.test, th3/req1/checkpoint01.test, matrix: context, detail)
The implementation of the new function always causes an exception to be thrown. (source: c3ref/overload_function.html, matrix: context, detail)
If the specified column is "rowid", "oid" or "_rowid_" and the table is not a WITHOUT ROWID table and an INTEGER PRIMARY KEY column has been explicitly declared, then the output parameters are set for the explicitly declared column. (source: c3ref/table_column_metadata.html, checked-by: th3/cov1/metadata01.test, matrix: context, detail)
strftime(format, timestring, modifier, modifier, ...) (source: lang_datefunc.html, checked-by: th3/req1/date01.test, matrix: context, detail)
SQLITE_CONFIG_LOOKASIDE sets the default lookaside size. The SQLITE_DBCONFIG_LOOKASIDE option to sqlite3_db_config() can be used to change the lookaside configuration on individual connections. (source: c3ref/c_config_covering_index_scan.html, matrix: context, detail)
An error is still returned if the table cannot be created because of an existing index, even if the "IF NOT EXISTS" clause is specified. (source: lang_createtable.html, checked-by: tcl/e_createtable.test, matrix: context, detail)
Let X be ((U-12)*64/255)-23. If the payload size P is less than or equal to X then the entire payload is stored on the b-tree page. (source: fileformat2.html, matrix: context, detail)
When memory allocation statistics are disabled, the following SQLite interfaces become non-operational: sqlite3_hard_heap_limit64() sqlite3_memory_used() sqlite3_memory_highwater() sqlite3_soft_heap_limit64() sqlite3_status64() (source: c3ref/c_config_covering_index_scan.html, matrix: context, detail)
If the fourth parameter to sqlite3_bind_text() or sqlite3_bind_text16() is negative, then the length of the string is the number of bytes up to the first zero terminator. (source: c3ref/bind_blob.html, checked-by: th3/req1/bind01.test, matrix: context, detail)
The LIKE operator does a pattern matching comparison. (source: lang_expr.html, checked-by: tcl/e_expr.test, matrix: context, detail)
The xDestroy callback is not called if the sqlite3_create_collation_v2() function fails. (source: c3ref/create_collation.html, checked-by: th3/req1/createcoll01.test, matrix: context, detail)
CREATE TABLE t1( t TEXT, -- text affinity by rule 2 nu NUMERIC, -- numeric affinity by rule 5 i INTEGER, -- integer affinity by rule 1 r REAL, -- real affinity by rule 4 no BLOB -- no affinity by rule 3 ); -- Values stored as TEXT, INTEGER, INTEGER, REAL, TEXT. INSERT INTO t1 VALUES('500.0', '500.0', '500.0', '500.0', '500.0'); SELECT typeof(t), typeof(nu), typeof(i), typeof(r), typeof(no) FROM t1; text|integer|integer|real|text -- Values stored as TEXT, INTEGER, INTEGER, REAL, REAL. DELETE FROM t1; INSERT INTO t1 VALUES(500.0, 500.0, 500.0, 500.0, 500.0); SELECT typeof(t), typeof(nu), typeof(i), typeof(r), typeof(no) FROM t1; text|integer|integer|real|real -- Values stored as TEXT, INTEGER, INTEGER, REAL, INTEGER. DELETE FROM t1; INSERT INTO t1 VALUES(500, 500, 500, 500, 500); SELECT typeof(t), typeof(nu), typeof(i), typeof(r), typeof(no) FROM t1; text|integer|integer|real|integer -- BLOBs are always stored as BLOBs regardless of column affinity. DELETE FROM t1; INSERT INTO t1 VALUES(x'0500', x'0500', x'0500', x'0500', x'0500'); SELECT typeof(t), typeof(nu), typeof(i), typeof(r), typeof(no) FROM t1; blob|blob|blob|blob|blob -- NULLs are also unaffected by affinity DELETE FROM t1; INSERT INTO t1 VALUES(NULL,NULL,NULL,NULL,NULL); SELECT typeof(t), typeof(nu), typeof(i), typeof(r), typeof(no) FROM t1; null|null|null|null|null (source: datatype3.html, checked-by: th3/req1/datatype3_03.test, matrix: context, detail)
If pnLog is not NULL, then *pnLog is set to the total number of frames in the log file or to -1 if the checkpoint could not run because of an error or because the database is not in WAL mode. (source: c3ref/wal_checkpoint_v2.html, checked-by: tcl/e_walckpt.test, matrix: context, detail)
Assuming that customer records are stored in the "customers" table, and that order records are stored in the "orders" table, the following UPDATE trigger ensures that all associated orders are redirected when a customer changes his or her address: CREATE TRIGGER update_customer_address UPDATE OF address ON customers BEGIN UPDATE orders SET address = new.address WHERE customer_name = old.name; END; With this trigger installed, executing the statement: UPDATE customers SET address = '1 Main St.' WHERE name = 'Jack Jones'; causes the following to be automatically executed: UPDATE orders SET address = '1 Main St.' WHERE customer_name = 'Jack Jones'; (source: lang_createtrigger.html, matrix: context, detail)
A table created using CREATE TABLE AS has no PRIMARY KEY and no constraints of any kind. The default value of each column is NULL. The default collation sequence for each column of the new table is BINARY. (source: lang_createtable.html, checked-by: tcl/e_createtable.test, matrix: context, detail)
All spaces following the first two keywords are converted into a single space. (source: fileformat2.html, matrix: context, detail)
The filename in the INTO clause can be an arbitrary SQL expression that evaluates to a string. (source: lang_vacuum.html, checked-by: th3/cov1/vacuum10.test, matrix: context, detail)
Each R*Tree index is a virtual table with an odd number of columns between 3 and 11. (source: rtree.html, matrix: context, detail)
The column may not be GENERATED ALWAYS . (source: lang_altertable.html, matrix: context, detail)
When two TEXT values are compared an appropriate collating sequence is used to determine the result. (source: datatype3.html, checked-by: th3/req1/datatype3_04.test, matrix: context, detail)
If the specified table is actually a view, an error code is returned. (source: c3ref/table_column_metadata.html, checked-by: th3/cov1/metadata01.test, matrix: context, detail)
You cannot DELETE, INSERT, or UPDATE a view. (source: lang_createview.html, checked-by: th3/req1/view01.test, matrix: context, detail)
The integer return value from the callback is currently ignored, though this may change in future releases. (source: c3ref/trace_v2.html, matrix: context, detail)
Support for the diagnostic functions sqlite3_compileoption_used() and sqlite3_compileoption_get() may be omitted by specifying the SQLITE_OMIT_COMPILEOPTION_DIAGS option at compile time. (source: c3ref/compileoption_get.html, checked-by: src/ctime.c, matrix: context, detail)
However, in many cases you can use an INSTEAD OF trigger on the view to accomplish the same thing. (source: lang_createview.html, matrix: context, detail)
The SQL syntax for custom queries is the same regardless of which interface, sqlite3_rtree_geometry_callback() or sqlite3_rtree_query_callback(), is used to register the SQL function. (source: rtree.html, matrix: context, detail)
The xSetSystemCall(), xGetSystemCall(), and xNestSystemCall() interfaces are not used by the SQLite core. (source: c3ref/vfs.html, matrix: context, detail)
The %z format is interchangeable with %s. (source: lang_corefunc.html, checked-by: tcl/printf2.test, th3/cov1/printf08.test, matrix: context, detail)
Multiple collating functions can be registered using the same name but with different eTextRep parameters and SQLite will use whichever function requires the least amount of data transformation. (source: c3ref/create_collation.html, checked-by: th3/req1/createcoll01.test, matrix: context, detail)
If this global variable is made to point to a string which is the name of a folder (a.k.a. directory), then all database files specified with a relative pathname and created or accessed by SQLite when using a built-in windows VFS will be assumed to be relative to that directory. (source: c3ref/data_directory.html, matrix: context, detail)
The multi-argument min() function searches its arguments from left to right for an argument that defines a collating function and uses that collating function for all string comparisons. (source: lang_corefunc.html, checked-by: th3/req1/func03.test, matrix: context, detail)
Regardless of whether or not it is successful, this file control takes the file descriptor out of batch write mode so that all subsequent write operations are independent. (source: c3ref/c_fcntl_begin_atomic_write.html, matrix: context, detail)
The sqlite3_column_name() interface returns a pointer to a zero-terminated UTF-8 string and sqlite3_column_name16() returns a pointer to a zero-terminated UTF-16 string. (source: c3ref/column_name.html, matrix: context, detail)
The SQLITE_ENABLE_STAT3 and SQLITE_ENABLE_STAT4 options causes the ANALYZE command to collect a histogram of column content in the sqlite_stat3 or sqlite_stat4 tables and to use this histogram to make a better guess at the best query to use for range constraints such as the above. (source: optoverview.html, matrix: context, detail)
Within a trigger program each INSERT, UPDATE and DELETE statement sets the value returned by sqlite3_changes() upon completion as normal. Of course, this value will not include any changes performed by sub-triggers, as the sqlite3_changes() value will be saved and restored after each sub-trigger has run. (source: c3ref/changes.html, checked-by: tcl/e_changes.test, matrix: context, detail)
The sort order may or may not be ignored depending on the database file format, and in particular the schema format number. (source: lang_createindex.html, checked-by: th3/req1/createidx02.test, matrix: context, detail)
The busy-handler callback is never invoked in this mode. (source: pragma.html, checked-by: th3/req1/checkpoint01.test, matrix: context, detail)
Calling sqlite3_free() with a pointer previously returned by sqlite3_malloc() or sqlite3_realloc() releases that memory so that it might be reused. (source: c3ref/free.html, checked-by: th3/req1/malloc02.test, matrix: context, detail)
If the action code is SQLITE_DELETE and the callback returns SQLITE_IGNORE then the DELETE operation proceeds but the truncate optimization is disabled and all rows are deleted individually. (source: c3ref/set_authorizer.html, checked-by: src/delete.c, th3/cov1/delete05.test, matrix: context, detail)
The pArg argument is passed through to the callback. (source: c3ref/commit_hook.html, matrix: context, detail)
sqlite> EXPLAIN QUERY PLAN SELECT * FROM (SELECT * FROM t2 WHERE c=1), t1; QUERY PLAN |--SEARCH TABLE t2 USING INDEX i4 (c=?) `--SCAN TABLE t1 (source: eqp.html, matrix: context, detail)
Immediately following the wal-header are zero or more frames. (source: fileformat2.html, matrix: context, detail)
The S and M arguments passed to sqlite3_backup_init(D,N,S,M) identify the database connection and database name of the source database, respectively. (source: c3ref/backup_finish.html, checked-by: th3/req1/backup02.test, matrix: context, detail)
If both arguments X and Y to instr(X,Y) are non-NULL and are not BLOBs then both are interpreted as strings. (source: lang_corefunc.html, checked-by: tcl/instr.test, matrix: context, detail)
This is the number of times that SQLite has stepped forward in a table as part of a full table scan. (source: c3ref/c_stmtstatus_counter.html, matrix: context, detail)
Any attempt to insert a duplicate entry will result in an error. (source: lang_createindex.html, checked-by: th3/req1/createidx01.test, matrix: context, detail)
This value is not actually a counter, and so the resetFlg parameter to sqlite3_stmt_status() is ignored when the opcode is SQLITE_STMTSTATUS_MEMUSED. (source: c3ref/c_stmtstatus_counter.html, matrix: context, detail)
The sqlite_master table contains one row for each table, index, view, and trigger (collectively "objects") in the database schema, except there is no entry for the sqlite_master table itself. (source: fileformat2.html, matrix: context, detail)
Like other SQL identifiers, schema names are case-insensitive. (source: lang_naming.html, checked-by: tcl/e_resolve.test, matrix: context, detail)
The sqlite3_stmt_busy(S) interface returns false if S is a NULL pointer. (source: c3ref/stmt_busy.html, checked-by: th3/cov1/vdbeapi03.test, matrix: context, detail)
If the authority is not an empty string or "localhost", an error is returned to the caller. (source: c3ref/open.html, checked-by: tcl/e_uri.test, matrix: context, detail)
The VACUUM command may change the ROWIDs of entries in any tables that do not have an explicit INTEGER PRIMARY KEY. (source: lang_vacuum.html, checked-by: tcl/e_vacuum.test, th3/cov1/vacuum01.test, matrix: context, detail)
Likewise, registering a callback using sqlite3_wal_hook() disables the automatic checkpoint mechanism configured by this function. (source: c3ref/wal_autocheckpoint.html, checked-by: tcl/e_walauto.test, matrix: context, detail)
If the WAL contains no copies of page P that are valid and which are a commit frame or are followed by a commit frame, then page P is read from the database file. (source: fileformat2.html, matrix: context, detail)
The default implementation stores all statistics in a single table named "sqlite_stat1". (source: lang_analyze.html, checked-by: th3/req1/analyze01.test, matrix: context, detail)
Parameter OutputType Description 5th const char* Data type 6th const char* Name of default collation sequence 7th int True if column has a NOT NULL constraint 8th int True if column is part of the PRIMARY KEY 9th int True if column is AUTOINCREMENT (source: c3ref/table_column_metadata.html, checked-by: th3/cov1/metadata01.test, matrix: context, detail)
If foreign key constraints are enabled, a DROP TABLE command performs an implicit DELETE FROM command before removing the table from the database schema. (source: lang_droptable.html, checked-by: th3/req1/droptable01.test, matrix: context, detail)
A similar effect occurs when the original date is February 29 of a leapyear and the modifier is ±N years where N is not a multiple of four. (source: lang_datefunc.html, checked-by: th3/req1/date01.test, matrix: context, detail)
If the resetFlag is true, then the highest record value is reset after *pHighwater is written. (source: c3ref/status.html, matrix: context, detail)
These interfaces are only available if SQLite is compiled using the SQLITE_ENABLE_PREUPDATE_HOOK compile-time option. (source: c3ref/preupdate_count.html, matrix: context, detail)
Boolean values are stored as integers 0 (false) and 1 (true). (source: datatype3.html, checked-by: th3/req1/datatype3_01.test, matrix: context, detail)
A particular database will use either a rollback journal or a WAL, but not both at the same time. (source: fileformat2.html, matrix: context, detail)
A negative number implies no limit. (source: pragma.html, checked-by: th3/req1/pragma26.test, matrix: context, detail)
The next time SQLite attempts to open the database file, the presence of the rollback journal file will be detected and the journal will be automatically played back to restore the database to its state at the start of the incomplete transaction. (source: fileformat2.html, matrix: context, detail)
The sqlite3_create_module_v2() interface has a fifth parameter which is a pointer to a destructor for the pClientData. (source: c3ref/create_module.html, matrix: context, detail)
Notice that all other date and time functions can be expressed in terms of strftime(): FunctionEquivalent strftime() date(...) strftime('%Y-%m-%d', ...) time(...) strftime('%H:%M:%S', ...) datetime(...) strftime('%Y-%m-%d %H:%M:%S', ...) julianday(...) strftime('%J', ...) (source: lang_datefunc.html, checked-by: th3/req1/date01.test, matrix: context, detail)
At various points during the compilation process, as logic is being created to perform various actions, the authorizer callback is invoked to see if those actions are allowed. (source: c3ref/set_authorizer.html, matrix: context, detail)
Only ROWID values from previous transactions that were committed are considered. ROWID values that were rolled back are ignored and can be reused. (source: autoinc.html, checked-by: th3/req1/autoinc01.test, matrix: context, detail)
An aggregate SQL function requires an implementation of xStep and xFinal and NULL pointer must be passed for xFunc. (source: c3ref/create_function.html, checked-by: th3/req1/createfunc03.test, matrix: context, detail)
Each frame consists of a 24-byte frame-header followed by a page-size bytes of page data. (source: fileformat2.html, matrix: context, detail)
Pointers to the right of X refer to pages where all keys are greater than X. (source: fileformat2.html, matrix: context, detail)
Most R*Tree queries use a depth-first search. This is accomplished by setting the rScore equal to iLevel. (source: rtree.html, matrix: context, detail)
The name of a result column is the value of the "AS" clause for that column, if there is an AS clause. (source: c3ref/column_name.html, matrix: context, detail)
The sqlite3_snapshot_open(D,S,P) interface either starts a new read transaction or upgrades an existing one for schema S of database connection D such that the read transaction refers to historical snapshot P, rather than the most recent change to the database. (source: c3ref/snapshot_open.html, matrix: context, detail)
However, SQLite will nest the loops in a different order if doing so will help it to select better indices. (source: optoverview.html, matrix: context, detail)
If the largest possible ROWID has previously been inserted, then new INSERTs are not allowed and any attempt to insert a new row will fail with an SQLITE_FULL error. (source: autoinc.html, checked-by: src/vdbe.c, th3/req1/autoinc01.test, matrix: context, detail)
If an error occurs within sqlite3_backup_init(D,N,S,M), then NULL is returned and an error code and error message are stored in the destination database connection D. (source: c3ref/backup_finish.html, checked-by: th3/req1/backup02.test, matrix: context, detail)
In ordinary indexes, there is exactly one entry in the index for every row in the table. (source: partialindex.html, checked-by: th3/cov1/index01.test, matrix: context, detail)
The third parameter (nArg) is the number of arguments that the SQL function or aggregate takes. (source: c3ref/create_function.html, checked-by: th3/req1/createfunc02.test, matrix: context, detail)
The first column of an SQLite R*Tree is similar to an integer primary key column of a normal SQLite table. (source: rtree.html, matrix: context, detail)
Table names that begin with "sqlite_" are reserved for internal use. It is an error to attempt to create a table with a name that starts with "sqlite_". (source: lang_createtable.html, checked-by: tcl/e_createtable.test, matrix: context, detail)
The statistics gathered by this scan are stored in special database tables names shows names all begin with "sqlite_stat". (source: optoverview.html, matrix: context, detail)
The fifth parameter is an arbitrary pointer. The implementation of the function can gain access to this pointer using sqlite3_user_data(). (source: c3ref/create_function.html, checked-by: th3/req1/userdata01.test, matrix: context, detail)
In the following query, the optimizer is free to reorder the tables of FROM clause anyway it sees fit: SELECT * FROM node AS n1, edge AS e, node AS n2 WHERE n1.name = 'alice' AND n2.name = 'bob' AND e.orig = n1.id AND e.dest = n2.id; (source: optoverview.html, matrix: context, detail)
EXTRA synchronous is like FULL with the addition that the directory containing a rollback journal is synced after that journal is unlinked to commit a transaction in DELETE mode. (source: pragma.html, matrix: context, detail)
If there is no metadata associated with the function argument, the sqlite3_get_auxdata(C,N) interface returns a NULL pointer. (source: c3ref/get_auxdata.html, matrix: context, detail)
The psow query parameter works with the default windows and unix VFSes but might be a no-op for other proprietary or non-standard VFSes. (source: uri.html, matrix: context, detail)
numeric arguments in parentheses that following the type name (ex: "VARCHAR(255)") are ignored (source: datatype3.html, checked-by: th3/req1/datatype3_02.test, matrix: context, detail)
For example, let the index be CREATE INDEX ex1 ON tab1(a,b) WHERE a=5 OR b=6; And let the query be: SELECT * FROM tab1 WHERE b=6 AND a=7; -- uses partial index Then the index is usable by the query because the "b=6" term appears in both the index definition and in the query. (source: partialindex.html, checked-by: th3/cov1/index01.test, matrix: context, detail)
This interface enables or disables both the C-API sqlite3_load_extension() and the SQL function load_extension(). (source: c3ref/enable_load_extension.html, matrix: context, detail)
Value is the integer 1. (source: fileformat2.html, checked-by: src/vdbeaux.c, th3/req1/fileformat02.test, matrix: context, detail)
PRAGMA foreign_keys; PRAGMA foreign_keys = boolean; Query, set, or clear the enforcement of foreign key constraints. (source: pragma.html, checked-by: th3/req1/pragma18.test, matrix: context, detail)
SQLITE_STATUS_MALLOC_SIZE This parameter records the largest memory allocation request handed to sqlite3_malloc() or sqlite3_realloc() (or their internal equivalents). Only the value returned in the *pHighwater parameter to sqlite3_status() is of interest. The value written into the *pCurrent parameter is undefined. (source: c3ref/c_status_malloc_count.html, matrix: context, detail)
If an error occurs and pzErrMsg is not 0, then the sqlite3_load_extension() interface shall attempt to fill *pzErrMsg with error message text stored in memory obtained from sqlite3_malloc(). (source: c3ref/load_extension.html, matrix: context, detail)
In other words, the values to the right of the IN operator (the "x", "y", and "z" values in this example) are considered to have no affinity, even if they happen to be column values or CAST expressions. (source: datatype3.html, checked-by: th3/req1/datatype3_05.test, matrix: context, detail)
The TEMP or TEMPORARY keyword is removed if it occurs after the initial CREATE keyword. (source: fileformat2.html, matrix: context, detail)
The value of a subquery expression is the first row of the result from the enclosed SELECT statement. (source: lang_expr.html, checked-by: tcl/e_expr.test, matrix: context, detail)
The flags parameter to sqlite3_open_v2() must include, at a minimum, one of the following three flag combinations: (source: c3ref/open.html, checked-by: src/main.c, matrix: context, detail)
NULL values (serial type 0) sort first. (source: fileformat2.html, checked-by: th3/req1/fileformat05.test, matrix: context, detail)
(source: syntax/attach-stmt.html, matrix: context, detail)
Some mathematical operators (%, <<, >>, &, and |) expect INTEGER operands. For those operators, REAL operands are converted into INTEGER in the same way as a CAST to INTEGER. (source: datatype3.html, checked-by: th3/req1/datatype3_06.test, matrix: context, detail)
In each such row, the sqlite_stat.stat column will be a string consisting of a list of integers followed by zero or more arguments. (source: fileformat2.html, matrix: context, detail)
The ROLLBACK TO command reverts the state of the database back to what it was just after the corresponding SAVEPOINT. (source: lang_savepoint.html, matrix: context, detail)
For the purposes of this paragraph, hexadecimal integer literals are not considered well-formed and are stored as TEXT. (This is done for historical compatibility with versions of SQLite prior to version 3.8.6 2014-08-15 where hexadecimal integer literals were first introduced into SQLite.) (source: datatype3.html, matrix: context, detail)
In other words, if the left-hand dataset consists of Nleft rows of Mleft columns, and the right-hand dataset of Nright rows of Mright columns, then the cartesian product is a dataset of Nleft×Nright rows, each containing Mleft+Mright columns. (source: lang_select.html, checked-by: tcl/e_select.test, matrix: context, detail)
If the progress callback returns non-zero, the operation is interrupted. (source: c3ref/progress_handler.html, checked-by: th3/req1/progress01.test, matrix: context, detail)
If a schema-name is specified, it must be either "main", "temp", or the name of an attached database. (source: lang_createtable.html, checked-by: tcl/e_createtable.test, matrix: context, detail)
The sqlite3_data_count(P) routine also returns 0 if P is a NULL pointer. (source: c3ref/data_count.html, checked-by: th3/req1/datacnt01.test, matrix: context, detail)
When the auto-vacuum mode is 1 or "full", the freelist pages are moved to the end of the database file and the database file is truncated to remove the freelist pages at every transaction commit. (source: pragma.html, checked-by: th3/req1/pragma07.test, matrix: context, detail)
In a well-formed sqlite_stat4 table, the samples for any single index must appear in the same order that they occur in the index. In other words, if entry S1 is earlier in the index b-tree than entry S2, then in the sqlite_stat4 table, sample S1 must have a smaller rowid than sample S2. (source: fileformat2.html, matrix: context, detail)
The nul terminator is not stored. (source: fileformat2.html, checked-by: th3/req1/fileformat02.test, matrix: context, detail)
The 4th argument to sqlite3_exec() is relayed through to the 1st argument of each callback invocation. (source: c3ref/exec.html, checked-by: th3/req1/exec01.test, matrix: context, detail)
If the LIMIT expression evaluates to non-negative value N and the UPDATE statement has an ORDER BY clause, then all rows that would be updated in the absence of the LIMIT clause are sorted according to the ORDER BY and the first N updated. (source: lang_update.html, checked-by: tcl/e_update.test, matrix: context, detail)
The third parameter passed to the logger is log message after formatting via sqlite3_snprintf(). (source: c3ref/c_config_covering_index_scan.html, checked-by: th3/cov1/log01.test, matrix: context, detail)
The in-header database size is only considered to be valid if it is non-zero and if the 4-byte change counter at offset 24 exactly matches the 4-byte version-valid-for number at offset 92. (source: fileformat2.html, matrix: context, detail)
A successful call to sqlite3_backup_init() returns a pointer to an sqlite3_backup object. (source: c3ref/backup_finish.html, checked-by: th3/req1/backup02.test, matrix: context, detail)
The view to drop is identified by the view-name and optional schema-name specified as part of the DROP VIEW statement. This reference is resolved using the standard procedure for object resolution. (source: lang_dropview.html, checked-by: th3/cov1/build13.test, matrix: context, detail)
When no rows match an aggregate query, the xStep() callback of the aggregate function implementation is never called and xFinal() is called exactly once. In those cases, sqlite3_aggregate_context() might be called for the first time from within xFinal(). (source: c3ref/aggregate_context.html, checked-by: th3/req1/aggcntx01.test, matrix: context, detail)
If the table being renamed has triggers or indices, then these remain attached to the table after it has been renamed. (source: lang_altertable.html, checked-by: th3/req1/altertable01.test, matrix: context, detail)
If sqlite3_realloc(X,N) returns NULL and N is positive, then the prior allocation is not freed. (source: c3ref/free.html, checked-by: th3/req1/malloc02.test, matrix: context, detail)
If neither ASC or DESC are specified, rows are sorted in ascending (smaller values first) order by default. (source: lang_select.html, checked-by: tcl/e_select.test, matrix: context, detail)
The ROLLBACK command without a TO clause rolls backs all transactions and leaves the transaction stack empty. (source: lang_savepoint.html, matrix: context, detail)
If the SQLITE_FCNTL_PRAGMA file control returns any result code other than SQLITE_OK or SQLITE_NOTFOUND, that means that the VFS encountered an error while handling the PRAGMA and the compilation of the PRAGMA fails with an error. (source: c3ref/c_fcntl_begin_atomic_write.html, checked-by: th3/cov1/pragma24.test, matrix: context, detail)
If the third parameter to sqlite3_result_error() or sqlite3_result_error16() is negative then SQLite takes as the error message all text up through the first zero character. (source: c3ref/result_blob.html, checked-by: th3/req1/result01.test, matrix: context, detail)
There are three arguments to SQLITE_CONFIG_PAGECACHE: A pointer to 8-byte aligned memory (pMem), the size of each page cache line (sz), and the number of cache lines (N). (source: c3ref/c_config_covering_index_scan.html, checked-by: src/main.c, th3/cov1/main42.test, matrix: context, detail)
SQLITE_RANGE is returned if the parameter index is out of range. (source: c3ref/bind_blob.html, checked-by: th3/req1/bind01.test, matrix: context, detail)
Each time a row is inserted into the table by an INSERT statement that does not provide explicit values for all table columns the values stored in the new row are determined by their default values (source: lang_createtable.html, checked-by: tcl/e_createtable.test, matrix: context, detail)
A SAVEPOINT can be started either within or outside of a BEGIN...COMMIT. (source: lang_savepoint.html, matrix: context, detail)
With synchronous OFF (0), SQLite continues without syncing as soon as it has handed data off to the operating system. (source: pragma.html, matrix: context, detail)
For example, the following CREATE TABLE statements all specify the same table, which will have the exact same representation on disk: CREATE TABLE t1(a,b,c,d,PRIMARY KEY(a,c)) WITHOUT ROWID); CREATE TABLE t1(a,b,c,d,PRIMARY KEY(a,c,a,c)) WITHOUT ROWID); CREATE TABLE t1(a,b,c,d,PRIMARY KEY(a,A,a,C)) WITHOUT ROWID); CREATE TABLE t1(a,b,c,d,PRIMARY KEY(a,a,a,a,c)) WITHOUT ROWID); (source: fileformat2.html, matrix: context, detail)
If it is set to "DESC", then FTS4 stores its data in such a way as to optimize returning results in descending order by docid. (source: fts3.html, matrix: context, detail)
A column with REAL affinity behaves like a column with NUMERIC affinity except that it forces integer values into floating point representation. (source: datatype3.html, checked-by: th3/req1/datatype3_01.test, matrix: context, detail)
If the "TEMP" or "TEMPORARY" keyword occurs between the "CREATE" and "TABLE" then the new table is created in the temp database. (source: lang_createtable.html, checked-by: tcl/e_createtable.test, matrix: context, detail)
The fourth parameter is the number of pages currently in the write-ahead log file, including those that were just committed. (source: c3ref/wal_hook.html, checked-by: tcl/e_walhook.test, matrix: context, detail)
Each column of the new row is populated with its default value, or with a NULL if no default value is specified as part of the column definition in the CREATE TABLE statement. (source: lang_insert.html, checked-by: tcl/e_insert.test, matrix: context, detail)
Hence, a cache created with bPurgeable false will never contain any unpinned pages. (source: c3ref/pcache_methods2.html, matrix: context, detail)
This function causes any pending database operation to abort and return at its earliest opportunity. (source: c3ref/interrupt.html, matrix: context, detail)
The ROWID chosen for the new row is at least one larger than the largest ROWID that has ever before existed in that same table. (source: autoinc.html, checked-by: th3/req1/autoinc01.test, matrix: context, detail)
The memory pointed to by the character pointers returned for the declaration type and collation sequence is valid until the next call to any SQLite API function. (source: c3ref/table_column_metadata.html, checked-by: th3/cov1/metadata01.test, matrix: context, detail)
When the defer_foreign_keys PRAGMA is on, enforcement of all foreign key constraints is delayed until the outermost transaction is committed. (source: pragma.html, checked-by: tcl/fkey6.test, th3/cov1/fkey24.test, matrix: context, detail)
The OFF journaling mode disables the rollback journal completely. (source: pragma.html, checked-by: th3/req1/pragma25.test, matrix: context, detail)
However, the IGNORE conflict resolution algorithm works like ABORT for foreign key constraint errors. (source: lang_conflict.html, matrix: context, detail)
The SAVEPOINT with the matching name remains on the transaction stack, but all database changes that occurred after that SAVEPOINT was created are rolled back. (source: lang_savepoint.html, matrix: context, detail)
These routines are used to register a new virtual table module name. (source: c3ref/create_module.html, matrix: context, detail)
Different constraints within the same table may have different default conflict resolution algorithms. (source: lang_createtable.html, checked-by: tcl/e_createtable.test, matrix: context, detail)
The sqlite3_preupdate_old(D,N,P) interface writes into P a pointer to a protected sqlite3_value that contains the value of the Nth column of the table row before it is updated. (source: c3ref/preupdate_count.html, matrix: context, detail)
If sqlite3_unlock_notify() is called with a NULL pointer as its second argument, then any existing unlock-notify callback is canceled. (source: c3ref/unlock_notify.html, matrix: context, detail)
The sqlite3_bind_zeroblob() routine binds a BLOB of length N that is filled with zeroes. (source: c3ref/bind_blob.html, checked-by: th3/req1/bind01.test, matrix: context, detail)
Otherwise, no affinity is applied and both operands are compared as is. (source: datatype3.html, checked-by: th3/cov1/affinity01.test, th3/req1/datatype3_05.test, matrix: context, detail)
The sqlite3_result_value() interface makes a copy of the sqlite3_value so that the sqlite3_value specified in the parameter may change or be deallocated after sqlite3_result_value() returns without harm. (source: c3ref/result_blob.html, checked-by: th3/req1/result03.test, matrix: context, detail)
In addition to the tables, indexes, views, and triggers created by the application and/or the developer using CREATE statements SQL, the sqlite_master table may contain zero or more entries for internal schema objects that are created by SQLite for its own internal use. (source: fileformat2.html, matrix: context, detail)
If this in-header datasize size is not valid (see the next paragraph), then the database size is computed by looking at the actual size of the database file. (source: fileformat2.html, matrix: context, detail)
If the column-name list after table-name is omitted then the number of values inserted into each row must be the same as the number of columns in the table. (source: lang_insert.html, checked-by: tcl/e_insert.test, matrix: context, detail)
Otherwise, sqlite3_value_pointer(V,Y) returns a NULL. (source: c3ref/value_blob.html, checked-by: th3/cov1/carray01.test, matrix: context, detail)
The leaves have a level of 0. (source: rtree.html, matrix: context, detail)
The DELETE journaling mode is the normal behavior. (source: pragma.html, checked-by: th3/req1/pragma23.test, matrix: context, detail)
SQLITE_LIMIT_WORKER_THREADS The maximum number of auxiliary worker threads that a single prepared statement may start. (source: c3ref/c_limit_attached.html, checked-by: tcl/sort4.test, matrix: context, detail)
SQLITE_STATUS_PAGECACHE_SIZE This parameter records the largest memory allocation request handed to the pagecache memory allocator. Only the value returned in the *pHighwater parameter to sqlite3_status() is of interest. The value written into the *pCurrent parameter is undefined. (source: c3ref/c_status_malloc_count.html, matrix: context, detail)
The "PRAGMA data_version" value is a local property of each database connection and so values returned by two concurrent invocations of "PRAGMA data_version" on separate database connections are often different even though the underlying database is identical. (source: pragma.html, checked-by: tcl/pragma3.test, th3/cov1/pragma26.test, matrix: context, detail)
Each group of input dataset rows contributes a single row to the set of result rows. (source: lang_select.html, checked-by: tcl/e_select.test, matrix: context, detail)
A 2-dimensional R*Tree has 5 columns. (source: rtree.html, matrix: context, detail)
The last bullet above is illustrated by the following: CREATE TABLE parent2(a, b, PRIMARY KEY(a,b)); CREATE TABLE child8(x, y, FOREIGN KEY(x,y) REFERENCES parent2); -- Ok CREATE TABLE child9(x REFERENCES parent2); -- Error! CREATE TABLE child10(x,y,z, FOREIGN KEY(x,y,z) REFERENCES parent2); -- Error! (source: foreignkeys.html, checked-by: tcl/e_fkey.test, th3/req1/foreignkeys07.test, matrix: context, detail)
For a string value X, the length(X) function returns the number of characters (not bytes) in X prior to the first NUL character. (source: lang_corefunc.html, checked-by: th3/cov1/func01.test, matrix: context, detail)
When the argument X to sqlite_compileoption_used(X) is a string which is the name of a compile-time option, this routine returns true (1) or false (0) depending on whether or not that option was used during the build. (source: lang_corefunc.html, checked-by: th3/cov1/ctime02.test, matrix: context, detail)
The destructor will also be invoked if the call to sqlite3_create_module_v2() fails. (source: c3ref/create_module.html, matrix: context, detail)
time(timestring, modifier, modifier, ...) (source: lang_datefunc.html, checked-by: th3/req1/date01.test, matrix: context, detail)
The sqlite3_memory_highwater() routine returns the maximum value of sqlite3_memory_used() since the high-water mark was last reset. (source: c3ref/memory_highwater.html, matrix: context, detail)
It can be applied to strings, numbers, blobs or NULL and it always returns a result with the same value as the operand. (source: lang_expr.html, checked-by: tcl/e_expr.test, matrix: context, detail)
If the UPDATE statement has no ORDER BY clause, then all rows that would be updated in the absence of the LIMIT clause are assembled in an arbitrary order before applying the LIMIT and OFFSET clauses to determine which are actually updated. (source: lang_update.html, checked-by: tcl/e_update.test, matrix: context, detail)
Instead of a separate OFFSET clause, the LIMIT clause may specify two scalar expressions separated by a comma. (source: lang_select.html, checked-by: tcl/e_select.test, matrix: context, detail)
If there is no match, a NULL pointer is returned. (source: c3ref/vfs_find.html, checked-by: th3/req1/vfs01.test, matrix: context, detail)
Total() never throws an integer overflow. (source: lang_aggfunc.html, checked-by: th3/req1/aggfunc01.test, matrix: context, detail)
It is an error to specify a compress function without also specifying an uncompress function. (source: fts3.html, matrix: context, detail)
The sqlite3_str_reset(X) method resets the string under construction inside sqlite3_str object X back to zero bytes in length. (source: c3ref/str_append.html, matrix: context, detail)
The INDEXED BY and NOT INDEXED clauses are not allowed on UPDATE statements within triggers. (source: lang_update.html, checked-by: tcl/e_update.test, matrix: context, detail)
The first argument to the busy handler is a copy of the void* pointer which is the third argument to sqlite3_busy_handler(). (source: c3ref/busy_handler.html, checked-by: th3/req1/busy01.test, matrix: context, detail)
SQLite holds a write transaction open on the destination database file for the duration of the backup operation. (source: c3ref/backup_finish.html, checked-by: th3/req1/backup01.test, matrix: context, detail)
This option takes three additional arguments that determine the lookaside memory allocator configuration for the database connection. (source: c3ref/c_dbconfig_defensive.html, checked-by: th3/req1/dbconfig01.test, matrix: context, detail)
The result of sum() is an integer value if all non-NULL inputs are integers. (source: lang_aggfunc.html, checked-by: th3/req1/aggfunc01.test, matrix: context, detail)
The BEGIN command only works if the transaction stack is empty, or in other words if there are no pending transactions. (source: lang_savepoint.html, matrix: context, detail)
If executing the SELECT would return no rows at all, then the EXISTS operator evaluates to 0. (source: lang_expr.html, checked-by: tcl/e_expr.test, matrix: context, detail)
If logging is enabled, the zFormat string and subsequent arguments are used with sqlite3_snprintf() to generate the final output string. (source: c3ref/log.html, checked-by: th3/cov1/log01.test, matrix: context, detail)
The current value of the parameter is returned into *pCurrent. (source: c3ref/status.html, matrix: context, detail)
This pragma is a wrapper around the sqlite3_wal_autocheckpoint() C interface. (source: pragma.html, matrix: context, detail)
If an action is not explicitly specified, it defaults to "NO ACTION". (source: foreignkeys.html, checked-by: src/parse.y, tcl/e_fkey.test, th3/req1/foreignkeys16.test, matrix: context, detail)
The xDestroy() method is used to delete a cache allocated by xCreate(). (source: c3ref/pcache_methods2.html, checked-by: th3/th3pcache.c, matrix: context, detail)
If one operand is NULL and the other is not, then the IS operator evaluates to 0 (false) and the IS NOT operator is 1 (true). (source: lang_expr.html, checked-by: tcl/e_expr.test, matrix: context, detail)
If both virtual terms end up being used as constraints on an index, then the original BETWEEN term is omitted and the corresponding test is not performed on input rows. (source: optoverview.html, matrix: context, detail)
Example: X'53514C697465' (source: lang_expr.html, checked-by: tcl/e_expr.test, matrix: context, detail)
The value returned by sqlite3_msize(X) might be larger than the number of bytes requested when X was allocated. (source: c3ref/free.html, checked-by: th3/req1/malloc02.test, matrix: context, detail)
There are three arguments to SQLITE_CONFIG_HEAP: An 8-byte aligned pointer to the memory, the number of bytes in the memory buffer, and the minimum allocation size. (source: c3ref/c_config_covering_index_scan.html, checked-by: src/main.c, th3/th3main.c, matrix: context, detail)
Let M be ((U-12)*32/255)-23 and let K be M+((P-M)%(U-4)). If P is greater than X then the number of bytes stored on the table b-tree leaf page is K if K is less or equal to X or M otherwise. (source: fileformat2.html, matrix: context, detail)
VACUUM (but not VACUUM INTO) is a write operation and so if another database connection is holding a lock that prevents writes, then the VACUUM will fail. (source: lang_vacuum.html, matrix: context, detail)
The sqlite3_preupdate_new(D,N,P) interface writes into P a pointer to a protected sqlite3_value that contains the value of the Nth column of the table row after it is updated. (source: c3ref/preupdate_count.html, matrix: context, detail)
The names of internal schema objects always begin with "sqlite_" and any table, index, view, or trigger whose name begins with "sqlite_" is an internal schema object. (source: fileformat2.html, matrix: context, detail)
However, newer versions of SQLite still avoid using the last six entries in the freelist trunk page array in order that database files created by newer versions of SQLite can be read by older versions of SQLite. (source: fileformat2.html, checked-by: src/btree.c, matrix: context, detail)
Configuring "NO ACTION" means just that: when a parent key is modified or deleted from the database, no special action is taken. (source: foreignkeys.html, checked-by: tcl/e_fkey.test, th3/req1/foreignkeys16.test, matrix: context, detail)
If pStmt is NULL then this interface returns a pointer to the first prepared statement associated with the database connection pDb. (source: c3ref/next_stmt.html, checked-by: th3/cov1/vdbeapi04.test, matrix: context, detail)
The byte-order of UTF16 input text is determined by the byte-order mark (BOM, U+FEFF) found in first character, which is removed, or in the absence of a BOM the byte order is the native byte order of the host machine for sqlite3_bind_text16() or the byte order specified in the 6th parameter for sqlite3_bind_text64(). (source: c3ref/bind_blob.html, matrix: context, detail)
On windows, the first component of an absolute path is a drive specification (e.g. "C:"). (source: c3ref/open.html, matrix: context, detail)
The X argument is a pointer to a string which is the unexpanded SQL text of the prepared statement or an SQL comment that indicates the invocation of a trigger. (source: c3ref/c_trace.html, checked-by: th3/cov1/trace01.test, matrix: context, detail)
In order to succeed, the database connection must not be in autocommit mode when sqlite3_snapshot_open(D,S,P) is called. (source: c3ref/snapshot_open.html, matrix: context, detail)
If a schema-name is specified, then the view is created in the specified database. (source: lang_createview.html, checked-by: th3/req1/view01.test, matrix: context, detail)
the following declaration does not result in "x" being an alias for the rowid: CREATE TABLE t(x INTEGER PRIMARY KEY DESC, y, z); (source: lang_createtable.html, checked-by: tcl/e_createtable.test, matrix: context, detail)
If the WHERE clause is not present, all records in the table are deleted. (source: lang_delete.html, checked-by: tcl/e_delete.test, matrix: context, detail)
Unregister a VFS with the sqlite3_vfs_unregister() interface. (source: c3ref/vfs_find.html, checked-by: th3/req1/vfs01.test, matrix: context, detail)
If the subquery uses LIMIT then the outer query may not have a WHERE clause. (source: optoverview.html, matrix: context, detail)
The list of integers in the stat column can optionally be followed by arguments, each of which is a sequence of non-space characters. (source: fileformat2.html, matrix: context, detail)
No rollback journal is ever created and hence there is never a rollback journal to delete. (source: pragma.html, checked-by: th3/req1/pragma25.test, matrix: context, detail)
However, just because this routine returns a positive number does not mean that one or more rows of data will be returned. (source: c3ref/column_count.html, matrix: context, detail)
Note that column must be the same column in every OR-connected subterm, although the column can occur on either the left or the right side of the *=* operator. (source: optoverview.html, matrix: context, detail)
The initial columns of the index must be used with the *=* or *IN* or *IS* operators. (source: optoverview.html, matrix: context, detail)
Format 4 causes SQLite to respect the DESC keyword on index declarations. (source: fileformat2.html, checked-by: th3/req1/fileformat01.test, matrix: context, detail)
The avg() function returns the average value of all non-NULL X within a group. (source: lang_aggfunc.html, checked-by: th3/req1/aggfunc01.test, matrix: context, detail)
The first four bytes of each overflow page are a big-endian integer which is the page number of the next page in the chain, or zero for the final page in the chain. (source: fileformat2.html, matrix: context, detail)
If an expression has an OFFSET clause, then the first M rows are omitted from the result set returned by the SELECT statement and the next N rows are returned, where M and N are the values that the OFFSET and LIMIT clauses evaluate to, respectively. (source: lang_select.html, checked-by: tcl/e_select.test, matrix: context, detail)
Normally, the database page_size and whether or not the database supports auto_vacuum must be configured before the database file is actually created. (source: lang_vacuum.html, checked-by: tcl/e_vacuum.test, matrix: context, detail)
The content of the sqlite_sequence table can be modified using ordinary UPDATE, INSERT, and DELETE statements. (source: autoinc.html, checked-by: th3/req1/autoinc01.test, matrix: context, detail)
If SQLite is compiled with the SQLITE_THREADSAFE=0 compile-time option then it is not possible to set the Multi-thread threading mode and sqlite3_config() will return SQLITE_ERROR if called with the SQLITE_CONFIG_MULTITHREAD configuration option. (source: c3ref/c_config_covering_index_scan.html, checked-by: src/main.c, matrix: context, detail)
If the 4th parameter to the sqlite3_result_text* interfaces or sqlite3_result_blob is the special constant SQLITE_TRANSIENT then SQLite makes a copy of the result into space obtained from sqlite3_malloc() before it returns. (source: c3ref/result_blob.html, checked-by: th3/req1/result02.test, matrix: context, detail)
The UNION operator works the same way as UNION ALL, except that duplicate rows are removed from the final result set. (source: lang_select.html, checked-by: tcl/e_select.test, matrix: context, detail)
. (source: whynotgit.html, matrix: context, detail)
SQLITE_OPEN_URI The filename can be interpreted as a URI if this flag is set. (source: c3ref/open.html, matrix: context, detail)
It is an error to specify a value for the mode parameter that is less restrictive than that specified by the flags passed in the third parameter to sqlite3_open_v2(). (source: c3ref/open.html, checked-by: tcl/e_uri.test, matrix: context, detail)
The rollback journal file is always located in the same directory as the database file and has the same name as the database file but with the string "-journal" appended. (source: fileformat2.html, matrix: context, detail)
A simple SELECT statement is an aggregate query if it contains either a GROUP BY clause or one or more aggregate functions in the result-set. (source: lang_select.html, checked-by: tcl/e_select.test, matrix: context, detail)
The sqlite3_data_count(P) interface returns the number of columns in the current row of the result set of prepared statement P. (source: c3ref/data_count.html, checked-by: th3/th3util.c, matrix: context, detail)
The result of any binary operator is either a numeric value or NULL, except for the || concatenation operator which always evaluates to either NULL or a text value. (source: lang_expr.html, checked-by: tcl/e_expr.test, matrix: context, detail)
The second field of the b-tree page header is the offset of the first freeblock, or zero if there are no freeblocks on the page. (source: fileformat2.html, checked-by: src/btree.c, matrix: context, detail)
Parentheses around the column name are ignored. Hence if X and Y.Z are column names, then (X) and (Y.Z) are also considered column names and have the affinity of the corresponding columns. (source: datatype3.html, matrix: context, detail)
Metadata is returned by writing to the memory locations passed as the 5th and subsequent parameters to this function. (source: c3ref/table_column_metadata.html, checked-by: th3/cov1/metadata01.test, matrix: context, detail)
The sqlite3_threadsafe() function returns zero if and only if SQLite was compiled with mutexing code omitted due to the SQLITE_THREADSAFE compile-time option being set to 0. (source: c3ref/threadsafe.html, checked-by: src/main.c, matrix: context, detail)
This function causes all database schemas to be read from disk and parsed, if that has not already been done, and returns an error if any errors are encountered while loading the schema. (source: c3ref/table_column_metadata.html, checked-by: th3/cov1/metadata01.test, matrix: context, detail)
A CAST conversion is similar to the conversion that takes place when a column affinity is applied to a value except that with the CAST operator the conversion always takes place even if the conversion lossy and irreversible, whereas column affinity only changes the data type of a value if the change is lossless and reversible. (source: lang_expr.html, checked-by: tcl/e_expr.test, matrix: context, detail)
The sqlite3_int64 and sqlite_int64 types can store integer values between -9223372036854775808 and +9223372036854775807 inclusive. (source: c3ref/int64.html, checked-by: th3/req1/int64_01.test, matrix: context, detail)
The second form of the pragma listed above is used to set a new limit in bytes for the specified database. (source: pragma.html, checked-by: th3/req1/pragma26.test, matrix: context, detail)
An attempt to write to an expired BLOB handle fails with an error code of SQLITE_ABORT. (source: c3ref/blob_write.html, checked-by: tcl/e_blobwrite.test, matrix: context, detail)
Some systems (for example, Windows 95) do not support the operation implemented by sqlite3_mutex_try(). On those systems, sqlite3_mutex_try() will always return SQLITE_BUSY. The SQLite core only ever uses sqlite3_mutex_try() as an optimization so this is acceptable behavior. (source: c3ref/mutex_alloc.html, checked-by: th3/th3mutex.c, matrix: context, detail)
If sqlite3_config() is called after sqlite3_initialize() and before sqlite3_shutdown() then it will return SQLITE_MISUSE. (source: c3ref/config.html, matrix: context, detail)
The rowid is always available as an undeclared column named ROWID, OID, or _ROWID_ as long as those names are not also used by explicitly declared columns. (source: c3ref/last_insert_rowid.html, checked-by: th3/cov1/withoutrowid01.test, matrix: context, detail)
The primary key columns appear in the order they they were declared in the PRIMARY KEY clause and the remaining columns appear in the order they occur in the CREATE TABLE statement. (source: fileformat2.html, matrix: context, detail)
If a column-name list is specified, then the number of values in each term of the VALUE list must match the number of specified columns. (source: lang_insert.html, checked-by: tcl/e_insert.test, matrix: context, detail)
The "INSERT INTO table DEFAULT VALUES" form of the INSERT statement is not supported. (source: lang_createtrigger.html, matrix: context, detail)
If the third parameter to sqlite3_bind_text64() is not NULL, then it should be a pointer to a well-formed unicode string that is either UTF8 if the sixth parameter is SQLITE_UTF8, or UTF16 otherwise. (source: c3ref/bind_blob.html, matrix: context, detail)
The eParentWithin and rParentScore values are copies of the eWithin and rScore values from the containing subtree of the current row. (source: rtree.html, matrix: context, detail)
The replace(X,Y,Z) function returns a string formed by substituting string Z for every occurrence of string Y in string X. (source: lang_corefunc.html, checked-by: th3/req1/func03.test, matrix: context, detail)
When sqlite3_hard_heap_limit64(N) is invoked and the soft heap limit is outside the range of 1. (source: c3ref/hard_heap_limit64.html, matrix: context, detail)
The sqlite3_cancel_auto_extension(X) interface unregisters the initialization routine X that was registered using a prior call to sqlite3_auto_extension(X). (source: c3ref/cancel_auto_extension.html, matrix: context, detail)
If M is greater than zero then after M page records the journal file may be zero padded out to the next multiple of the sector size and another journal header may be inserted. (source: fileformat2.html, matrix: context, detail)
The time string can be followed by zero or more modifiers that alter date and/or time. (source: lang_datefunc.html, checked-by: th3/req1/date01.test, matrix: context, detail)
The sqlite3_interrupt(D) call is in effect until all currently running SQL statements on database connection D complete. (source: c3ref/interrupt.html, matrix: context, detail)
The wal_checkpoint pragma returns a single row with three integer columns. (source: pragma.html, checked-by: th3/req1/pragma29.test, matrix: context, detail)
The path component of the URI specifies the disk file that is the SQLite database to be opened. (source: uri.html, matrix: context, detail)
The first form (with the "VALUES" keyword) creates one or more new rows in an existing table. (source: lang_insert.html, checked-by: tcl/e_insert.test, matrix: context, detail)
The third argument (eTextRep) must be one of the constants: SQLITE_UTF8, SQLITE_UTF16LE, SQLITE_UTF16BE, SQLITE_UTF16, or SQLITE_UTF16_ALIGNED. (source: c3ref/create_collation.html, checked-by: th3/req1/createcoll01.test, matrix: context, detail)
If, however, all columns that were to be fetched from the table are already available in the index itself, SQLite will use the values contained in the index and will never look up the original table row. (source: optoverview.html, matrix: context, detail)
No storage class conversions occur before the sort. (source: datatype3.html, checked-by: th3/req1/datatype3_04.test, matrix: context, detail)
In SQLite, a foreign key constraint is permanently marked as deferred or immediate when it is created. (source: foreignkeys.html, checked-by: tcl/e_fkey.test, th3/req1/foreignkeys23.test, matrix: context, detail)
If a term in X is of the form "z IS NOT NULL" and if a term in W is a comparison operator on "z" other than "IS", then those terms match. (source: partialindex.html, checked-by: th3/cov1/index01.test, matrix: context, detail)
The rowid of the SQL table is the 64-bit signed integer key for each entry in the table b-tree. (source: fileformat2.html, matrix: context, detail)
The defer_foreign_keys pragma is automatically switched off at each COMMIT or ROLLBACK. Hence, the defer_foreign_keys pragma must be separately enabled for each transaction. (source: pragma.html, checked-by: tcl/fkey6.test, th3/cov1/fkey24.test, matrix: context, detail)
For example, if an application defines a function "eval()" that calls sqlite3_exec(), then the following SQL statement would change the database file through side-effects: SELECT eval('DELETE FROM t1') FROM t2; But because the SELECT statement does not change the database file directly, sqlite3_stmt_readonly() would still return true. (source: c3ref/stmt_readonly.html, checked-by: th3/cov1/vdbeapi14.test, matrix: context, detail)
The sqlite3_initialize() routine returns SQLITE_OK on success. (source: c3ref/initialize.html, matrix: context, detail)
The vfs query parameter causes the database connection to be opened using the VFS called NAME. (source: uri.html, matrix: context, detail)
Example: Let the index be CREATE INDEX ex2 ON tab2(b,c) WHERE c IS NOT NULL; Then any query that uses operators =, <, >, <=, >=, <>, IN, LIKE, or GLOB on column "c" would be usable with the partial index because those comparison operators are only true if "c" is not NULL. (source: partialindex.html, checked-by: th3/cov1/index01.test, matrix: context, detail)
When casting a BLOB value to INTEGER, the value is first converted to TEXT. (source: lang_expr.html, checked-by: tcl/e_expr.test, matrix: context, detail)
The sqlite_stat1.tbl column is the name of the table to which the index belongs. (source: fileformat2.html, matrix: context, detail)
For backwards compatibility, the "0x" hexadecimal integer notation is only understood by the SQL language parser, not by the type conversions routines. (source: lang_expr.html, checked-by: th3/req1/expr01.test, matrix: context, detail)
The DBSTAT virtual table is an eponymous virtual table, meaning that is not necessary to run CREATE VIRTUAL TABLE to create an instance of the dbstat virtual table before using it. (source: dbstat.html, matrix: context, detail)
A column with TEXT affinity stores all data using storage classes NULL, TEXT or BLOB. (source: datatype3.html, checked-by: th3/req1/datatype3_01.test, matrix: context, detail)
The sqlite3_update_hook() interface registers a callback function with the database connection identified by the first argument to be invoked whenever a row is updated, inserted or deleted in a rowid table. (source: c3ref/update_hook.html, checked-by: tcl/hook.test, th3/cov1/main15.test, matrix: context, detail)
The SQLITE_CONFIG_GETPCACHE2 option takes a single argument which is a pointer to an sqlite3_pcache_methods2 object. SQLite copies of the current page cache implementation into that object. (source: c3ref/c_config_covering_index_scan.html, checked-by: src/main.c, th3/th3pcache.c, matrix: context, detail)
The sqlite3_result_error_nomem() interface causes SQLite to throw an error indicating that a memory allocation failed. (source: c3ref/result_blob.html, checked-by: th3/req1/result01.test, matrix: context, detail)
If a term consists of multiple subterms containing a common column name and separated by OR, like this: column = expr1 OR column = expr2 OR column = expr3 OR ... Then that term is rewritten as follows: column IN (expr1,expr2,expr3,...) (source: optoverview.html, matrix: context, detail)
On success, the sqlite3_snapshot_get(D,S,P) interface writes a pointer to the newly created sqlite3_snapshot object into *P and returns SQLITE_OK. (source: c3ref/snapshot_get.html, matrix: context, detail)
The particular operator is stored in aConstraint[].op using one of the SQLITE_INDEX_CONSTRAINT_ values. (source: c3ref/index_info.html, matrix: context, detail)
Casting an INTEGER or REAL value into TEXT renders the value as if via sqlite3_snprintf() except that the resulting TEXT uses the encoding of the database connection. (source: lang_expr.html, checked-by: tcl/e_expr.test, matrix: context, detail)
A subquery that returns two or more columns is a row value subquery and can only be used as the operand of a comparison operator. (source: lang_expr.html, checked-by: tcl/e_expr.test, matrix: context, detail)
(source: syntax/join-constraint.html, matrix: context, detail)
Tables are removed using the DROP TABLE statement. (source: lang_createtable.html, checked-by: tcl/e_createtable.test, matrix: context, detail)
In practice, metadata is preserved between function calls for function parameters that are compile-time constants, including literal values and parameters and expressions composed from the same. (source: c3ref/get_auxdata.html, matrix: context, detail)
The profile callback contains the original statement text and an estimate of wall-clock time of how long that statement took to run. (source: c3ref/profile.html, checked-by: th3/cov1/main16.test, matrix: context, detail)
If N is less than one then the progress handler is disabled. (source: c3ref/progress_handler.html, checked-by: th3/req1/progress01.test, matrix: context, detail)
When a configuration option is set, sqlite3_config() returns SQLITE_OK. (source: c3ref/config.html, matrix: context, detail)
Note that if one of the dynamic mutex parameters (SQLITE_MUTEX_FAST or SQLITE_MUTEX_RECURSIVE) is used then sqlite3_mutex_alloc() returns a different mutex on every call. (source: c3ref/mutex_alloc.html, checked-by: th3/cov1/mutex01.test, matrix: context, detail)
A COLLATE operator has the same affinity as its left-hand side operand. (source: datatype3.html, matrix: context, detail)
The expression of a generated column can refer to any of the other declared columns in the table, including other generated columns, as long as the expression does not directly or indirectly refer back to itself. (source: gencol.html, matrix: context, detail)
Leading spaces are removed. (source: fileformat2.html, matrix: context, detail)
In first form, if the main database has already been created, then this pragma returns the text encoding used by the main database, one of 'UTF-8', 'UTF-16le' (little-endian UTF-16 encoding) or 'UTF-16be' (big-endian UTF-16 encoding). (source: pragma.html, checked-by: th3/req1/pragma16.test, matrix: context, detail)
This is the number of times that the prepared statement has been run. (source: c3ref/c_stmtstatus_counter.html, matrix: context, detail)
The FTS4 prefix option causes FTS to index term prefixes of specified lengths in the same way that it always indexes complete terms. (source: fts3.html, matrix: context, detail)
The following two queries are not equivalent: SELECT * FROM tab1 LEFT JOIN tab2 ON tab1.x=tab2.y; SELECT * FROM tab1 LEFT JOIN tab2 WHERE tab1.x=tab2.y; (source: optoverview.html, matrix: context, detail)
The header begins with a single varint which determines the total number of bytes in the header. The varint value is the size of the header in bytes including the size varint itself. (source: fileformat2.html, checked-by: src/vdbe.c, th3/req1/fileformat02.test, matrix: context, detail)
The PRAGMA foreign_keys command is a no-op in this configuration. (source: foreignkeys.html, checked-by: tcl/e_fkey.test, th3/req1/foreignkeys05.test, matrix: context, detail)
The coalesce() function returns a copy of its first non-NULL argument, or NULL if all arguments are NULL. (source: lang_corefunc.html, checked-by: th3/cov1/func01.test, matrix: context, detail)
If there is no prefix that can be interpreted as a real number, the result of the conversion is 0.0. (source: lang_expr.html, checked-by: tcl/e_expr.test, matrix: context, detail)
The orderByConsumed means that output from xFilter/xNext will occur in the correct order to satisfy the ORDER BY clause so that no separate sorting step is required. (source: c3ref/index_info.html, matrix: context, detail)
If argvIndex>0 then the right-hand side of the corresponding aConstraint[] is evaluated and becomes the argvIndex-th entry in argv. (source: c3ref/index_info.html, matrix: context, detail)
The third and fourth bytes of each freeblock form a big-endian integer which is the size of the freeblock in bytes, including the 4-byte header. (source: fileformat2.html, checked-by: src/btree.c, matrix: context, detail)
if there is only a single global wildcard to the right of x, then the original LIKE or GLOB test is disabled. (source: optoverview.html, matrix: context, detail)
(source: syntax/table-constraint.html, matrix: context, detail)
The number of bytes stored on the leaf page is never less than M. (source: fileformat2.html, matrix: context, detail)
For each pair of named columns, the expression "lhs.X = rhs.X" is evaluated for each row of the cartesian product as a boolean expression. Only rows for which all such expressions evaluates to true are included from the result set. (source: lang_select.html, checked-by: tcl/e_select.test, matrix: context, detail)
Names are zero-terminated UTF-8 strings. (source: c3ref/vfs_find.html, checked-by: th3/req1/vfs01.test, matrix: context, detail)
If X is a BLOB then the indices refer to bytes. (source: lang_corefunc.html, checked-by: th3/cov1/func02.test, matrix: context, detail)
The sqlite3_status() and sqlite3_status64() routines return SQLITE_OK on success and a non-zero error code on failure. (source: c3ref/status.html, matrix: context, detail)
Zero all sqlite3_stmt_scanstatus() related event counters. (source: c3ref/stmt_scanstatus_reset.html, checked-by: th3/cov1/status02.test, matrix: context, detail)
The LIKE operator can be made case sensitive using the case_sensitive_like pragma. (source: lang_expr.html, checked-by: tcl/e_expr.test, matrix: context, detail)
But the "PRAGMA cache_spill=N" form of this statement only applies to the "main" schema or whatever other schema is specified as part of the statement. (source: pragma.html, matrix: context, detail)
The unlikely(X) function is a no-op that the code generator optimizes away so that it consumes no CPU cycles at run-time (that is, during calls to sqlite3_step()). (source: lang_corefunc.html, checked-by: tcl/func3.test, matrix: context, detail)
Comments are treated as whitespace by the parser. (source: lang_comment.html, checked-by: src/tokenize.c, matrix: context, detail)
Casting to a BLOB consists of first casting the value to TEXT in the encoding of the database connection, then interpreting the resulting byte sequence as a BLOB instead of as TEXT. (source: lang_expr.html, checked-by: tcl/e_expr.test, matrix: context, detail)
But if an application-defined collating sequence and/or like() SQL function are provided, the LIKE optimization described here will never be taken. (source: optoverview.html, matrix: context, detail)
SQLite will make this determination, but only if it has been compiled with SQLITE_ENABLE_STAT3 or SQLITE_ENABLE_STAT4. (source: optoverview.html, matrix: context, detail)
When case_sensitive_like is enabled, case becomes significant. So, for example, 'a' LIKE 'A' is false but 'a' LIKE 'a' is still true. (source: pragma.html, checked-by: th3/req1/pragma10.test, matrix: context, detail)
The maximum page count cannot be reduced below the current database size. (source: pragma.html, checked-by: th3/req1/pragma12.test, matrix: context, detail)
Setting it to "shared" is equivalent to setting the SQLITE_OPEN_SHAREDCACHE bit in the flags argument passed to sqlite3_open_v2(). (source: c3ref/open.html, checked-by: tcl/e_uri.test, matrix: context, detail)
The size of the blob (and hence the maximum value of N+iOffset) can be determined using the sqlite3_blob_bytes() interface. (source: c3ref/blob_read.html, checked-by: th3/cov1/vdbeblob01.test, matrix: context, detail)
If a database connection is operating in exclusive locking mode or in persistent journal mode (PRAGMA journal_mode=persist) then after committing a transaction the rollback journal file may remain in the file-system. (source: pragma.html, checked-by: th3/req1/pragma26.test, matrix: context, detail)
This modifier causes the DDDDDDDDDD to be interpreted not as a Julian day number as it normally would be, but as Unix Time - the number of seconds since 1970. (source: lang_datefunc.html, checked-by: th3/req1/date01.test, matrix: context, detail)
the parser allows the use of the single keyword REPLACE as an alias for "INSERT OR REPLACE". (source: lang_insert.html, checked-by: tcl/e_insert.test, matrix: context, detail)
The auxiliary index-columns are not shown by the index_info pragma, but they are listed by the index_xinfo pragma. (source: pragma.html, checked-by: tcl/pragma.test, th3/req1/pragma15x.test, matrix: context, detail)
After an application receives an SQLITE_LOCKED error, it may call the sqlite3_unlock_notify() method with the blocked connection handle as the first argument to register for a callback that will be invoked when the blocking connections current transaction is concluded. (source: c3ref/unlock_notify.html, matrix: context, detail)
The second parameter is either the name of the database (i.e. "main", "temp", or an attached database) containing the specified table or NULL. (source: c3ref/table_column_metadata.html, checked-by: th3/cov1/metadata01.test, matrix: context, detail)
A column whose declared type is "CHARINT" will match both rules 1 and 2 but the first rule takes precedence and so the column affinity will be INTEGER. (source: datatype3.html, checked-by: th3/req1/datatype3_01.test, matrix: context, detail)
Otherwise, if a simple SELECT contains no aggregate functions or a GROUP BY clause, it is a non-aggregate query. (source: lang_select.html, checked-by: tcl/e_select.test, matrix: context, detail)
The cache parameter may be set to either "shared" or "private". (source: c3ref/open.html, checked-by: tcl/e_uri.test, matrix: context, detail)
Query or change a limit on the approximate ANALYZE setting. This is approximate number of rows examined in each index by the ANALYZE command. (source: pragma.html, matrix: context, detail)
If the OFFSET clause evaluates to a negative value, the results are the same as if it had evaluated to zero. (source: lang_select.html, checked-by: tcl/e_select.test, matrix: context, detail)
The sqlite3_value_numeric_type() interface attempts to apply numeric affinity to the value. This means that an attempt is made to convert the value to an integer or floating point. If such a conversion is possible without loss of information (in other words, if the value is a string that looks like a number) then the conversion is performed. Otherwise no conversion occurs. The datatype after conversion is returned. (source: c3ref/value_blob.html, checked-by: th3/req1/value02.test, th3/req1/value03.test, matrix: context, detail)
If this SELECT returns any rows at all, then SQLite concludes that deleting the row from the parent table would violate the foreign key constraint and returns an error. (source: foreignkeys.html, checked-by: tcl/e_fkey.test, th3/req1/foreignkeys10.test, matrix: context, detail)
Call the second integer on a freelist trunk page L. If L is greater than zero then integers with array indexes between 2 and L+1 inclusive contain page numbers for freelist leaf pages. (source: fileformat2.html, matrix: context, detail)
The rtrim(X,Y) function returns a string formed by removing any and all characters that appear in Y from the right side of X. (source: lang_corefunc.html, checked-by: th3/req1/func03.test, matrix: context, detail)
The sqlite3_stmt_readonly(X) interface returns true (non-zero) if and only if the prepared statement X makes no direct changes to the content of the database file. (source: c3ref/stmt_readonly.html, checked-by: th3/cov1/vdbeapi14.test, matrix: context, detail)
The new column is always appended to the end of the list of existing columns. (source: lang_altertable.html, checked-by: th3/req1/altertable01.test, matrix: context, detail)
Rows for which the expression is false or NULL are retained. (source: lang_delete.html, checked-by: tcl/e_delete.test, matrix: context, detail)
The second is a copy of the database handle. (source: c3ref/wal_hook.html, checked-by: tcl/e_walhook.test, matrix: context, detail)
Applications can update, delete from, insert into or drop the sqlite_stat1 table, but may not create or alter the sqlite_stat1 table. (source: fileformat2.html, matrix: context, detail)
SQLITE_DBSTATUS_LOOKASIDE_HIT This parameter returns the number of malloc attempts that were satisfied using lookaside memory. Only the high-water value is meaningful; the current value is always zero. (source: c3ref/c_dbstatus_options.html, matrix: context, detail)
This pragma causes the database connection on which it is invoked to free up as much memory as it can, by calling sqlite3_db_release_memory(). (source: pragma.html, checked-by: src/pragma.c, matrix: context, detail)
Virtual tables can provide alternative implementations of functions using the xFindFunction method of the virtual table module. But global versions of those functions must exist in order to be overloaded. (source: c3ref/overload_function.html, matrix: context, detail)
Alternative collating functions for table columns can be specified in the CREATE TABLE statement using the COLLATE clause on the column definition. (source: fileformat2.html, checked-by: th3/req1/fileformat05.test, matrix: context, detail)
The SQLITE_ prefix is omitted from any strings returned by sqlite3_compileoption_get(). (source: c3ref/compileoption_get.html, checked-by: th3/cov1/ctime01.test, matrix: context, detail)
When the REPLACE conflict resolution strategy deletes rows in order to satisfy a constraint, delete triggers fire if and only if recursive triggers are enabled. (source: lang_conflict.html, checked-by: th3/req1/conflict02.test, matrix: context, detail)
If the MATCH operator is connected to other terms of the WHERE clause via an OR operator, for example, the query will fail with an error. (source: rtree.html, checked-by: th3/cov1/rtree04.test, matrix: context, detail)
UNIQUE and PRIMARY KEY constraints on tables cause SQLite to create internal indexes with names of the form "sqlite_autoindex_TABLE_N" where TABLE is replaced by the name of the table that contains the constraint and N is an integer beginning with 1 and increasing by one with each constraint seen in the table definition. (source: fileformat2.html, matrix: context, detail)
PRAGMA busy_timeout; PRAGMA busy_timeout = milliseconds; Query or change the setting of the busy timeout. (source: pragma.html, checked-by: tcl/lock.test, th3/cov1/main21.test, matrix: context, detail)
The two-byte integer at offset 1 gives the start of the first freeblock on the page, or is zero if there are no freeblocks. (source: fileformat2.html, checked-by: src/btree.c, matrix: context, detail)
The sqlite3_malloc64(N) routine works just like sqlite3_malloc(N) except that N is an unsigned 64-bit integer instead of a signed 32-bit integer. (source: c3ref/free.html, checked-by: th3/req1/malloc02.test, matrix: context, detail)
You can access the ROWID of an SQLite table using one of the special column names ROWID, _ROWID_, or OID. Except if you declare an ordinary table column to use one of those special names, then the use of that name will refer to the declared column not to the internal ROWID. (source: autoinc.html, checked-by: th3/req1/autoinc01.test, matrix: context, detail)
(source: syntax/pragma-value.html, matrix: context, detail)
The rollback journal file can be truncated to zero length (source: fileformat2.html, matrix: context, detail)
SQLite only understands upper/lower case for ASCII characters by default. (source: lang_expr.html, checked-by: tcl/e_expr.test, matrix: context, detail)
The sqlite_master.name column will hold the name of the object. (source: fileformat2.html, matrix: context, detail)
By contrast, if foreign key errors can be recognized simply by looking at the definition of the child table and without having to consult the parent table definition, then the CREATE TABLE statement for the child table fails. (source: foreignkeys.html, checked-by: tcl/e_fkey.test, th3/req1/foreignkeys08.test, matrix: context, detail)
The path is optional if the authority is present. (source: uri.html, matrix: context, detail)
The likely(X) function returns the argument X unchanged. (source: lang_corefunc.html, checked-by: tcl/func3.test, matrix: context, detail)
The destructor is also invoked if the call to sqlite3_create_function_v2() fails. (source: c3ref/create_function.html, checked-by: th3/req1/createfunc07.test, matrix: context, detail)
The "PRAGMA cache_spill=boolean" form of this pragma applies across all databases attached to the database connection. (source: pragma.html, matrix: context, detail)
After at least "ms" milliseconds of sleeping, the handler returns 0 which causes sqlite3_step() to return SQLITE_BUSY. (source: c3ref/busy_timeout.html, checked-by: th3/cov1/main21.test, matrix: context, detail)
The cell pointer array of a b-tree page immediately follows the b-tree page header. (source: fileformat2.html, checked-by: src/btree.c, matrix: context, detail)
A literal value can also be the token "NULL". (source: lang_expr.html, checked-by: tcl/e_expr.test, matrix: context, detail)
The foreign_key_check pragma checks the database, or the table called "table-name", for foreign key constraints that are violated and returns one row of output for each violation. (source: pragma.html, checked-by: tcl/fkey5.test, th3/cov1/fkey23.test, matrix: context, detail)
Each expression in the result-set is then evaluated once for each group of rows. (source: lang_select.html, checked-by: tcl/e_select.test, matrix: context, detail)
These routines work just like the corresponding column access functions except that these routines take a single protected sqlite3_value object pointer instead of a sqlite3_stmt* pointer and an integer column number. (source: c3ref/value_blob.html, checked-by: th3/req1/value02.test, th3/req1/value03.test, matrix: context, detail)
If a RELEASE command releases the outermost savepoint, so that the transaction stack becomes empty, then RELEASE is the same as COMMIT. (source: lang_savepoint.html, matrix: context, detail)
Cache_spill is enabled by default (source: pragma.html, checked-by: tcl/pragma2.test, matrix: context, detail)
It is an error to specify both a schema-name and the TEMP or TEMPORARY keyword, unless the schema-name is "temp". (source: lang_createtable.html, checked-by: tcl/e_createtable.test, matrix: context, detail)
The abs(X) function returns the absolute value of the numeric argument X. (source: lang_corefunc.html, checked-by: src/func.c, th3/cov1/func01.test, matrix: context, detail)
This interface causes the xEntryPoint() function to be invoked for each new database connection that is created. (source: c3ref/auto_extension.html, checked-by: th3/req1/autoext01.test, matrix: context, detail)
There is one exception: if the foreign key column in the track table is NULL, then no corresponding entry in the artist table is required. (source: foreignkeys.html, checked-by: tcl/e_fkey.test, th3/req1/foreignkeys01.test, matrix: context, detail)
PRAGMA ignore_check_constraints = boolean; This pragma enables or disables the enforcement of CHECK constraints. (source: pragma.html, checked-by: th3/req1/pragma20.test, matrix: context, detail)
If the "TEMP" or "TEMPORARY" keyword occurs in between "CREATE" and "VIEW" then the view that is created is only visible to the database connection that created it and is automatically deleted when the database connection is closed. (source: lang_createview.html, checked-by: th3/req1/view01.test, matrix: context, detail)
C-style comments can span multiple lines. (source: lang_comment.html, checked-by: th3/req1/comment01.test, matrix: context, detail)
The mode query parameter determines if the new database is opened read-only, read-write, read-write and created if it does not exist, or that the database is a pure in-memory database that never interacts with disk, respectively. (source: uri.html, matrix: context, detail)
Value is a NULL. (source: fileformat2.html, checked-by: src/vdbeaux.c, th3/req1/fileformat02.test, matrix: context, detail)
For example, a partial index might omit entries for which the column being indexed is NULL. (source: partialindex.html, checked-by: th3/cov1/index01.test, matrix: context, detail)
If a page contains no cells (which is only possible for a root page of a table that contains no rows) then the offset to the cell content area will equal the page size minus the bytes of reserved space. (source: fileformat2.html, checked-by: src/btree.c, matrix: context, detail)
Tables created using CREATE TABLE AS are initially populated with the rows of data returned by the SELECT statement. (source: lang_createtable.html, checked-by: tcl/e_createtable.test, matrix: context, detail)
The 3rd argument to the sqlite3_exec() callback is an array of pointers to strings obtained as if from sqlite3_column_text(), one for each column. (source: c3ref/exec.html, checked-by: th3/req1/exec01.test, matrix: context, detail)
The sqlite3_version() function is mostly constant, but it can change when SQLite is upgraded, and so even though it always returns the same answer for any particular session, because it can change answers across sessions it is still considered non-deterministic. (source: deterministic.html, matrix: context, detail)
The length of the name is limited to 255 bytes in a UTF-8 representation, exclusive of the zero-terminator. (source: c3ref/create_function.html, checked-by: th3/req1/createfunc01.test, matrix: context, detail)
Even if the foreign key constraint it is attached to is deferred, configuring a RESTRICT action causes SQLite to return an error immediately if a parent key with dependent child keys is deleted or modified. (source: foreignkeys.html, checked-by: tcl/e_fkey.test, th3/req1/foreignkeys16.test, matrix: context, detail)
The expression attached to the optional OFFSET clause that may follow a LIMIT clause must also evaluate to an integer, or a value that can be losslessly converted to an integer. (source: lang_select.html, checked-by: tcl/e_select.test, matrix: context, detail)
An SQLITE_TRACE_ROW callback is invoked whenever a prepared statement generates a single row of result. (source: c3ref/c_trace.html, checked-by: th3/cov1/trace01.test, matrix: context, detail)
For example, "(CAST '123e+5' AS INTEGER)" results in 123, not in 12300000. (source: lang_expr.html, checked-by: tcl/cast.test, matrix: context, detail)
Or, if none of the WHEN expressions evaluate to true, the result of evaluating the ELSE expression, if any. (source: lang_expr.html, checked-by: tcl/e_expr.test, matrix: context, detail)
RESTART This mode works the same way as FULL with the addition that after checkpointing the log file it blocks (calls the busy-handler callback) until all readers are finished with the log file. (source: pragma.html, checked-by: th3/req1/checkpoint01.test, matrix: context, detail)
The SQLite core will never read or write the lock-byte page, though operating-system specific VFS implementations may choose to read or write bytes on the lock-byte page according to the needs and proclivities of the underlying system. (source: fileformat2.html, matrix: context, detail)
as will attempting to delete a row from the artist table when there exist dependent rows in the track table (source: foreignkeys.html, checked-by: tcl/e_fkey.test, th3/req1/foreignkeys01.test, matrix: context, detail)
An application can tell which course of action SQLite took by using the sqlite3_get_autocommit() C-language interface. (source: lang_transaction.html, matrix: context, detail)
The frame-header is six big-endian 32-bit unsigned integer values, as follows: WAL Frame Header Format OffsetSizeDescription 04 Page number 44 For commit records, the size of the database file in pages after the commit. For all other records, zero. 84 Salt-1 copied from the WAL header 124 Salt-2 copied from the WAL header 164 Checksum-1: Cumulative checksum up through and including this page 204 Checksum-2: Second half of the cumulative checksum. (source: fileformat2.html, matrix: context, detail)
In formats 5 through 7, the "T" is a literal character separating the date and the time, as required by ISO-8601. (source: lang_datefunc.html, checked-by: th3/req1/date01.test, matrix: context, detail)
AUTOINCREMENT guarantees that automatically chosen ROWIDs will be increasing but not that they will be sequential. (source: autoinc.html, checked-by: th3/req1/autoinc01.test, matrix: context, detail)
All foreign key constraints in SQLite are handled as if MATCH SIMPLE were specified. (source: foreignkeys.html, checked-by: tcl/e_fkey.test, th3/req1/foreignkeys23.test, matrix: context, detail)
The BINARY collating sequence is used for comparisons. (source: lang_corefunc.html, checked-by: th3/req1/func03.test, matrix: context, detail)
This function is an SQL wrapper around the sqlite3_sourceid() C interface. (source: lang_corefunc.html, checked-by: src/func.c, th3/req1/func04.test, matrix: context, detail)
The following example illustrates the effect of using a deferred foreign key constraint. -- Database schema. Both tables are initially empty. CREATE TABLE artist( artistid INTEGER PRIMARY KEY, artistname TEXT ); CREATE TABLE track( trackid INTEGER, trackname TEXT, trackartist INTEGER REFERENCES artist(artistid) DEFERRABLE INITIALLY DEFERRED ); sqlite3> -- If the foreign key constraint were immediate, this INSERT would sqlite3> -- cause an error (since as there is no row in table artist with sqlite3> -- artistid=5). But as the constraint is deferred and there is an sqlite3> -- open transaction, no error occurs. sqlite3> BEGIN; sqlite3> INSERT INTO track VALUES(1, 'White Christmas', 5); sqlite3> -- The following COMMIT fails, as the database is in a state that sqlite3> -- does not satisfy the deferred foreign key constraint. The sqlite3> -- transaction remains open. sqlite3> COMMIT; SQL error: foreign key constraint failed sqlite3> -- After inserting a row into the artist table with artistid=5, the sqlite3> -- deferred foreign key constraint is satisfied. It is then possible sqlite3> -- to commit the transaction without error. sqlite3> INSERT INTO artist VALUES(5, 'Bing Crosby'); sqlite3> COMMIT; (source: foreignkeys.html, checked-by: tcl/e_fkey.test, th3/req1/foreignkeys13.test, matrix: context, detail)
A pointer to an sqlite3_context object is always first parameter to application-defined SQL functions. (source: c3ref/context.html, checked-by: src/vdbe.c, src/vdbemem.c, th3/req1/aggcntx01.test, th3/req1/func02.test, matrix: context, detail)
When the value of auto-vacuum is 2 or "incremental" then the additional information needed to do auto-vacuuming is stored in the database file but auto-vacuuming does not occur automatically at each commit as it does with auto_vacuum=full. (source: pragma.html, checked-by: th3/req1/pragma07.test, matrix: context, detail)
PRAGMA function_list; This pragma returns a list of SQL functions known to the database connection. (source: pragma.html, matrix: context, detail)
If pzTail is not NULL then *pzTail is made to point to the first byte past the end of the first SQL statement in zSql. (source: c3ref/prepare.html, checked-by: th3/req1/prepare01.test, matrix: context, detail)
An SQLITE_TRACE_CLOSE callback is invoked when a database connection closes. (source: c3ref/c_trace.html, checked-by: th3/cov1/trace01.test, matrix: context, detail)
If there are many OR terms in the WHERE clause or if some of the indices on individual OR-clause subterms are not very selective, then SQLite might decide that it is faster to use a different query algorithm, or even a full-table scan. (source: optoverview.html, matrix: context, detail)
SQLite makes its own private copy of the content of the sqlite3_mem_methods structure before the sqlite3_config() call returns. (source: c3ref/c_config_covering_index_scan.html, checked-by: th3/th3oom.c, matrix: context, detail)
The <<, >>, &, and | operators always return an INTEGER (or NULL) result, but the % operator returns either INTEGER or REAL (or NULL) depending on the type of its operands. (source: datatype3.html, checked-by: th3/req1/datatype3_06.test, matrix: context, detail)
The X callback is invoked whenever any of the events identified by mask M occur. (source: c3ref/trace_v2.html, matrix: context, detail)
SQLITE_OPEN_READWRITE | SQLITE_OPEN_CREATE The database is opened for reading and writing, and is created if it does not already exist. This is the behavior that is always used for sqlite3_open() and sqlite3_open16(). (source: c3ref/open.html, matrix: context, detail)
For example, consider the following database schema: CREATE TABLE album( albumartist TEXT, albumname TEXT, albumcover BINARY, PRIMARY KEY(albumartist, albumname) ); CREATE TABLE song( songid INTEGER, songartist TEXT, songalbum TEXT, songname TEXT, FOREIGN KEY(songartist, songalbum) REFERENCES album(albumartist, albumname) ); In this system, each entry in the song table is required to map to an entry in the album table with the same combination of artist and album. (source: foreignkeys.html, checked-by: tcl/e_fkey.test, th3/req1/foreignkeys11.test, matrix: context, detail)
Memory to hold the error message string is managed internally. The application does not need to worry about freeing the result. However, the error string might be overwritten or deallocated by subsequent calls to other SQLite interface functions. (source: c3ref/errcode.html, matrix: context, detail)
The estimatedRows value is an estimate of the number of rows that will be returned by the strategy. (source: c3ref/index_info.html, matrix: context, detail)
SQLite parses MATCH clauses (i.e. does not report a syntax error if you specify one), but does not enforce them. (source: foreignkeys.html, checked-by: tcl/e_fkey.test, th3/req1/foreignkeys23.test, matrix: context, detail)
The IS and IS NOT operators work like = and != except when one or both of the operands are NULL. (source: lang_expr.html, checked-by: tcl/e_expr.test, matrix: context, detail)
Otherwise, it is invoked with two arguments only. (source: lang_corefunc.html, checked-by: th3/req1/func02.test, matrix: context, detail)
The expression of a generated column may only reference constant literals and columns within the same row, and may only use scalar deterministic functions. (source: gencol.html, matrix: context, detail)
As with all SQL syntax, the case of the keywords does not matter. One can write "WITHOUT rowid" or "without rowid" or "WiThOuT rOwId" and it will mean the same thing. (source: withoutrowid.html, checked-by: tcl/without_rowid5.test, th3/cov1/withoutrowid01.test, matrix: context, detail)
The authority may be omitted, may be blank, or may be "localhost". Any other authority results in an error. (source: uri.html, matrix: context, detail)
But if the ANALYZE command is run in order to gather statistics, a different choice might be made if the statistics indicate that the alternative is likely to run faster. (source: optoverview.html, matrix: context, detail)
It is permitted to register multiple implementations of the same functions with the same name but with either differing numbers of arguments or differing preferred text encodings. (source: c3ref/create_function.html, checked-by: th3/req1/createfunc04.test, matrix: context, detail)
datetime(timestring, modifier, modifier, ...) (source: lang_datefunc.html, checked-by: th3/req1/date01.test, matrix: context, detail)
If sqlite3_collation_needed16() is used, the names are passed as UTF-16 in machine native byte order. (source: c3ref/collation_needed.html, matrix: context, detail)
The sqlite_stat4.tbl column holds name of the table that owns the index that the row describes (source: fileformat2.html, matrix: context, detail)
The GLOB operator is always case sensitive. (source: optoverview.html, checked-by: th3/cov1/pragma02.test, matrix: context, detail)
The SQLITE_CONFIG_SMALL_MALLOC option takes single argument of type int, interpreted as a boolean, which if true provides a hint to SQLite that it should avoid large memory allocations if possible. (source: c3ref/c_config_covering_index_scan.html, matrix: context, detail)
Because the function inputs are not necessarily known until run-time, the date/time functions will throw an exception if they encounter any of the non-deterministic features in a context where only deterministic functions are allowed. (source: deterministic.html, matrix: context, detail)
Any callback set by a previous call to sqlite3_rollback_hook() for the same database connection is overridden. (source: c3ref/commit_hook.html, matrix: context, detail)
The size of a page is a power of two between 512 and 65536 inclusive. (source: fileformat2.html, checked-by: src/btree.c, matrix: context, detail)
SQLite will never invoke xInit() more than once without an intervening call to xShutdown(). (source: c3ref/pcache_methods2.html, checked-by: th3/th3pcache.c, matrix: context, detail)
The sqlite3_sourceid() function returns a pointer to a string constant whose value is the same as the SQLITE_SOURCE_ID C preprocessor macro. Except if SQLite is built using an edited copy of the amalgamation, then the last four characters of the hash might be different from SQLITE_SOURCE_ID. (source: c3ref/libversion.html, checked-by: src/main.c, th3/th3main.c, matrix: context, detail)
The "CROSS JOIN" join operator produces the same result as the "INNER JOIN", "JOIN" and "," operators (source: lang_select.html, checked-by: tcl/e_select.test, tcl/e_select2.test, matrix: context, detail)
The argument to INTO can be a URI filename if URI filenames are enabled. (source: lang_vacuum.html, matrix: context, detail)
However, if there are pending write operations, the COMMIT command will fail with an error code SQLITE_BUSY. (source: lang_transaction.html, matrix: context, detail)
This option is used to enable or disable the enforcement of foreign key constraints. (source: c3ref/c_dbconfig_defensive.html, checked-by: th3/cov1/main34.test, matrix: context, detail)
For conversions between TEXT and REAL storage classes, only the first 15 significant decimal digits of the number are preserved. (source: datatype3.html, checked-by: th3/req1/datatype3_01.test, matrix: context, detail)
The INSERT ... DEFAULT VALUES statement inserts a single new row into the named table. (source: lang_insert.html, checked-by: tcl/e_insert.test, matrix: context, detail)
The sqlite3_str object is destroyed and the string it created is returned using the sqlite3_str_finish() interface. (source: c3ref/str.html, matrix: context, detail)
The term "b=6" does not match "b=3+3" or "b-6=0" or "b BETWEEN 6 AND 6". (source: partialindex.html, checked-by: th3/cov1/index01.test, matrix: context, detail)
If sqlite3_value object V was initialized using sqlite3_bind_pointer(S,I,P,X,D) or sqlite3_result_pointer(C,P,X,D) and if X and Y are strings that compare equal according to strcmp(X,Y), then sqlite3_value_pointer(V,Y) will return the pointer P. (source: c3ref/value_blob.html, checked-by: th3/cov1/carray01.test, matrix: context, detail)
It is not necessary for every column of an index to appear in a WHERE clause term in order for that index to be used. (source: optoverview.html, matrix: context, detail)
For example: SELECT t1.a, t2.b FROM t2, (SELECT x+y AS a FROM t1 WHERE z5 Would be rewritten using query flattening as: SELECT t1.x+t1.y AS a, t2.b FROM t2, t1 WHERE z5 (source: optoverview.html, matrix: context, detail)
If the implicit DELETE FROM causes any deferred foreign key constraints to be violated, and the violations still exist when the transaction is committed, an error is returned at the time of commit. (source: lang_droptable.html, checked-by: th3/cov1/fkey24.test, matrix: context, detail)
This function is omitted from SQLite by default. It is only available if the SQLITE_SOUNDEX compile-time option is used when SQLite is built. (source: lang_corefunc.html, checked-by: src/func.c, th3/cov1/func07.test, matrix: context, detail)
There is nothing stopping the user from creating a foreign key definition that refers to a parent table that does not exist, or to parent key columns that do not exist or are not collectively bound by a PRIMARY KEY or UNIQUE constraint. (source: foreignkeys.html, checked-by: tcl/e_fkey.test, th3/req1/foreignkeys21.test, matrix: context, detail)
The SQLITE_CONFIG_URI option takes a single argument of type int. If non-zero, then URI handling is globally enabled. If the parameter is zero, then URI handling is globally disabled. (source: c3ref/c_config_covering_index_scan.html, checked-by: src/main.c, matrix: context, detail)
These routines return 0 if the statement is incomplete. (source: c3ref/complete.html, checked-by: th3/cov1/complete01.test, matrix: context, detail)
The sqlite3_test_control() interface is used to read out internal state of SQLite and to inject faults into SQLite for testing purposes. (source: c3ref/test_control.html, checked-by: th3/req1/checkpoint01.test, matrix: context, detail)
The number of columns in a table is limited by the SQLITE_MAX_COLUMN compile-time parameter. (source: lang_createtable.html, checked-by: tcl/e_createtable.test, matrix: context, detail)
So as not to open security holes in older applications that are unprepared to deal with extension loading, and as a means of disabling extension loading while evaluating user-entered SQL, the following API is provided to turn the sqlite3_load_extension() mechanism on and off. (source: c3ref/enable_load_extension.html, matrix: context, detail)
Furthermore, the temp_store_directory pragma always assumes that any string that this variable points to is held in memory obtained from sqlite3_malloc and the pragma may attempt to free that memory using sqlite3_free. (source: c3ref/temp_directory.html, matrix: context, detail)
If the specified view cannot be found and the IF EXISTS clause is not present, it is an error. (source: lang_dropview.html, checked-by: tcl/e_dropview.test, th3/cov1/build13.test, matrix: context, detail)
Compute the last day of the current month. SELECT date('now','start of month','+1 month','-1 day'); (source: lang_datefunc.html, checked-by: th3/req1/date01.test, matrix: context, detail)
Additional sqlite3_trace() callbacks might occur as each triggered subprogram is entered. The callbacks for triggers contain a UTF-8 SQL comment that identifies the trigger. (source: c3ref/profile.html, checked-by: th3/cov1/main16.test, matrix: context, detail)
The EXISTS operator always evaluates to one of the integer values 0 and 1. (source: lang_expr.html, checked-by: tcl/e_expr.test, matrix: context, detail)
Indexes are removed with the DROP INDEX command. (source: lang_createindex.html, checked-by: th3/req1/createidx01.test, matrix: context, detail)
A SELECT statement used as either a scalar subquery or as the right-hand operand of an IN, NOT IN or EXISTS expression may contain references to columns in the outer query. (source: lang_expr.html, checked-by: th3/req1/select01.test, matrix: context, detail)
The database connection can be changed between full and incremental autovacuum mode at any time. (source: pragma.html, checked-by: th3/req1/pragma07.test, matrix: context, detail)
The sqlite3_mprintf() and sqlite3_vmprintf() routines write their results into memory obtained from sqlite3_malloc64(). (source: c3ref/mprintf.html, matrix: context, detail)
However, if the 4th parameter to sqlite3_create_function_v2() is OR-ed with SQLITE_DETERMINISTIC, then SQLite will treat that function as if it were deterministic. (source: deterministic.html, matrix: context, detail)
All reads from and writes to the main database file begin at a page boundary and all writes are an integer number of pages in size. (source: fileformat2.html, matrix: context, detail)
Thus for the example index above, if there is no WHERE clause term that constraints column c, then terms that constrain columns a and b can be used with the index but not terms that constraint columns d through z. (source: optoverview.html, matrix: context, detail)
Memory allocation statistics are enabled by default unless SQLite is compiled with SQLITE_DEFAULT_MEMSTATUS=0 in which case memory allocation statistics are disabled by default. (source: c3ref/c_config_covering_index_scan.html, checked-by: src/sqliteInt.h, matrix: context, detail)
sqlite3_realloc(X,N) returns a pointer to a memory allocation of at least N bytes in size or NULL if insufficient memory is available. (source: c3ref/free.html, checked-by: th3/req1/malloc02.test, matrix: context, detail)
SQLite will invoke the destructor function (if it is not NULL) when SQLite no longer needs the pClientData pointer. (source: c3ref/create_module.html, matrix: context, detail)
The EXCEPT operator returns the subset of rows returned by the left SELECT that are not also returned by the right-hand SELECT. (source: lang_select.html, checked-by: tcl/e_select.test, matrix: context, detail)
The D and N arguments to sqlite3_backup_init(D,N,S,M) are the database connection associated with the destination database and the database name, respectively. (source: c3ref/backup_finish.html, checked-by: th3/req1/backup02.test, matrix: context, detail)
The presence of the "noskipscan" token on the sqlite_stat1.stat field of an index prevents that index from being used with the skip-scan optimization. (source: fileformat2.html, checked-by: th3/cov1/where43.test, matrix: context, detail)
The values of these parameters (also called "host parameter names" or "SQL parameters") can be set using the sqlite3_bind_*() routines defined here. (source: c3ref/bind_blob.html, checked-by: th3/req1/bind01.test, matrix: context, detail)
SQLITE_OPEN_MEMORY The database will be opened as an in-memory database. The database is named by the "filename" argument for the purposes of cache-sharing, if shared cache mode is enabled, but the "filename" is otherwise ignored. (source: c3ref/open.html, matrix: context, detail)
The expressions in the GROUP BY clause do not have to be expressions that appear in the result. (source: lang_select.html, checked-by: tcl/e_select.test, matrix: context, detail)
Calling this routine with a null pointer (such as would be returned by a failed call to sqlite3_blob_open()) is a harmless no-op. (source: c3ref/blob_close.html, checked-by: tcl/e_blobclose.test, th3/cov1/vdbeblob01.test, matrix: context, detail)
Once created, the sqlite_sequence table exists in the sqlite_master table forever; it cannot be dropped. (source: fileformat2.html, matrix: context, detail)
Both the WHEN clause and the trigger actions may access elements of the row being inserted, deleted or updated using references of the form "NEW.column-name" and "OLD.column-name", where column-name is the name of a column from the table that the trigger is associated with. (source: lang_createtrigger.html, matrix: context, detail)
The xInit() method is passed a copy of the sqlite3_pcache_methods2.pArg value. (source: c3ref/pcache_methods2.html, checked-by: th3/th3pcache.c, matrix: context, detail)
The xShutdown() method may be NULL. (source: c3ref/pcache_methods2.html, checked-by: src/pcache.c, matrix: context, detail)
In the "vX" interfaces, the prepared statement that is returned (the sqlite3_stmt object) contains a copy of the original SQL text. (source: c3ref/prepare.html, checked-by: th3/req1/prepare01.test, matrix: context, detail)
PRAGMA analysis_limit; PRAGMA analysis_limit = N; (source: pragma.html, matrix: context, detail)
The highwater mark associated with SQLITE_DBSTATUS_CACHE_USED is always 0. (source: c3ref/c_dbstatus_options.html, checked-by: th3/req1/dbstatus01.test, matrix: context, detail)
URIs are processed as UTF8 text. (source: uri.html, matrix: context, detail)
The content of these tables is not updated as the database changes so after making significant changes it might be prudent to rerun ANALYZE. (source: optoverview.html, matrix: context, detail)
The mxLevel entry in the sqlite3_rtree_query_info structure is the level value for the root of the R*Tree. (source: rtree.html, matrix: context, detail)
In this latter case, the integer at offset 64 is true for incremental_vacuum and false for auto_vacuum. (source: fileformat2.html, matrix: context, detail)
Calls to sqlite3_close() and sqlite3_close_v2() return SQLITE_OK if the sqlite3 object is successfully destroyed and all associated resources are deallocated. (source: c3ref/close.html, checked-by: th3/th3util.c, matrix: context, detail)
The sqlite3_errmsg() and sqlite3_errmsg16() return English-language text that describes the error, as either UTF-8 or UTF-16 respectively. (source: c3ref/errcode.html, matrix: context, detail)
The sqlite3_str_appendchar(X,N,C) method appends N copies of the single-byte character C onto the end of sqlite3_str object X. (source: c3ref/str_append.html, matrix: context, detail)
The first argument is an integer code for the specific parameter to measure. (source: c3ref/status.html, matrix: context, detail)
If the SQLITE_FCNTL_PRAGMA file control returns SQLITE_OK, then the parser assumes that the VFS has handled the PRAGMA itself and the parser generates a no-op prepared statement if result string is NULL, or that returns a copy of the result string if the string is non-NULL. (source: c3ref/c_fcntl_begin_atomic_write.html, checked-by: tcl/multiplex4.test, th3/cov1/pragma24.test, matrix: context, detail)
The destructor is called to dispose of the BLOB or string even if the call to the bind API fails, except the destructor is not called if the third parameter is a NULL pointer or the fourth parameter is negative. (source: c3ref/bind_blob.html, checked-by: th3/req1/bind01.test, matrix: context, detail)
The 4th argument to the sqlite3_exec() callback is an array of pointers to strings where each entry represents the name of corresponding result column as obtained from sqlite3_column_name(). (source: c3ref/exec.html, checked-by: th3/req1/exec01.test, matrix: context, detail)
Whether or not any conversions are attempted before the comparison takes place depends on the type affinity of the operands. (source: datatype3.html, checked-by: th3/req1/datatype3_05.test, matrix: context, detail)
Comments can begin anywhere whitespace can be found, including inside expressions that span multiple lines. (source: lang_comment.html, checked-by: th3/req1/comment01.test, matrix: context, detail)
If the implicit DELETE FROM executed as part of a DROP TABLE command violates any immediate foreign key constraints, an error is returned and the table is not dropped. (source: lang_droptable.html, checked-by: th3/cov1/fkey24.test, th3/req1/droptable01.test, matrix: context, detail)
In the case of an update, this is the rowid after the update takes place. (source: c3ref/update_hook.html, checked-by: th3/cov1/main15.test, matrix: context, detail)
If a WHERE clause is supplied, then only those rows for which the WHERE clause boolean expression is true are deleted. (source: lang_delete.html, checked-by: tcl/e_delete.test, matrix: context, detail)
The sqlite3_errstr() interface returns the English-language text that describes the result code, as UTF-8. (source: c3ref/errcode.html, matrix: context, detail)
The second and third column are -1 if there is no write-ahead log, for example if this pragma is invoked on a database connection that is not in WAL mode. (source: pragma.html, checked-by: th3/req1/pragma29.test, matrix: context, detail)
This pragma invokes the sqlite3_soft_heap_limit64() interface with the argument N, if N is specified and is a non-negative integer. (source: pragma.html, checked-by: src/pragma.c, tcl/softheap1.test, matrix: context, detail)
When casting a BLOB value to a REAL, the value is first converted to TEXT. (source: lang_expr.html, checked-by: tcl/e_expr.test, matrix: context, detail)
If the DELETE statement also has an OFFSET clause, then it is similarly evaluated and cast to an integer value. Again, it is an error if the value cannot be losslessly converted to an integer. (source: lang_delete.html, checked-by: tcl/e_delete.test, matrix: context, detail)
Note that the journal_mode for an in-memory database is either MEMORY or OFF and can not be changed to a different value. (source: pragma.html, checked-by: th3/req1/pragma23.test, matrix: context, detail)
If a CHECK constraint or foreign key constraint violation occurs, the REPLACE conflict resolution algorithm works like ABORT. (source: lang_conflict.html, checked-by: src/insert.c, th3/req1/conflict02.test, matrix: context, detail)
It is possible for the library compile-time C preprocessor symbol SQLITE_TEMP_STORE to override this pragma setting. (source: pragma.html, matrix: context, detail)
Other parameters record only the highwater mark and not the current value. For these latter parameters nothing is written into *pCurrent. (source: c3ref/status.html, matrix: context, detail)
The right-hand operand of an IN or NOT IN operator has no affinity if the operand is a list and has the same affinity as the affinity of the result set expression if the operand is a SELECT. (source: datatype3.html, checked-by: th3/cov1/affinity01.test, th3/req1/datatype3_05.test, matrix: context, detail)
The key for each entry in the WITHOUT ROWID b-tree is a record composed of the columns of the PRIMARY KEY followed by all remaining columns of the table. (source: fileformat2.html, matrix: context, detail)
But making modifications to this table will likely perturb the AUTOINCREMENT key generation algorithm. (source: autoinc.html, checked-by: th3/req1/autoinc01.test, matrix: context, detail)
If P>X and K<=X then the first K bytes of P are stored on the btree page and the remaining P-K bytes are stored on overflow pages. (source: fileformat2.html, matrix: context, detail)
If a table contains a user defined column named "rowid", "oid" or "_rowid_", then that name always refers the explicitly declared column and cannot be used to retrieve the integer rowid value. (source: lang_createtable.html, checked-by: tcl/e_createtable.test, matrix: context, detail)
If the N parameter to sqlite3_realloc(X,N) is zero or negative then the behavior is exactly the same as calling sqlite3_free(X). (source: c3ref/free.html, checked-by: src/malloc.c, th3/req1/malloc02.test, matrix: context, detail)
When secure_delete is on, SQLite overwrites deleted content with zeros. (source: pragma.html, checked-by: th3/cov1/pragma20.test, matrix: context, detail)
The load_extension() function raises an exception if the extension fails to load or initialize correctly. (source: lang_corefunc.html, checked-by: th3/cov1/func03.test, matrix: context, detail)
Subject to rules (11), (12) and (13), they may also contain ORDER BY, LIMIT and OFFSET clauses. (source: optoverview.html, matrix: context, detail)
The sqlite3_blob_read() and sqlite3_blob_write() interfaces can be used to read or write small subsections of the BLOB. (source: c3ref/blob.html, checked-by: th3/cov1/vdbeblob01.test, matrix: context, detail)
Each non-aggregate expression in the result-set is evaluated once for an arbitrarily selected row of the dataset. (source: lang_select.html, checked-by: tcl/e_select.test, matrix: context, detail)
The sqlite3_config(SQLITE_CONFIG_PCACHE2, ...) interface can register an alternative page cache implementation by passing in an instance of the sqlite3_pcache_methods2 structure. (source: c3ref/pcache_methods2.html, matrix: context, detail)
If certain kinds of errors occur within a transaction, the transaction may or may not be rolled back automatically. The errors that can cause an automatic rollback include: SQLITE_FULL: database or disk full SQLITE_IOERR: disk I/O error SQLITE_BUSY: database in use by another process SQLITE_NOMEM: out or memory (source: lang_transaction.html, matrix: context, detail)
(source: syntax/numeric-literal.html, matrix: context, detail)
If the xInit() method is NULL, then the built-in default page cache is used instead of the application defined page cache. (source: c3ref/pcache_methods2.html, checked-by: src/pcache.c, matrix: context, detail)
If the authority section is present, then the path is always an absolute pathname. (source: uri.html, matrix: context, detail)
The first argument (the third parameter to sqlite3_db_config() is a pointer to a memory buffer to use for lookaside memory. (source: c3ref/c_dbconfig_defensive.html, checked-by: src/main.c, th3/req1/dbconfig01.test, matrix: context, detail)
SQL comments begin with two consecutive "-" characters (ASCII 0x2d) and extend up to and including the next newline character (ASCII 0x0a) or until the end of input, whichever comes first. (source: lang_comment.html, checked-by: th3/req1/comment01.test, matrix: context, detail)
Value "rwc" is equivalent to setting both SQLITE_OPEN_READWRITE and SQLITE_OPEN_CREATE. (source: c3ref/open.html, checked-by: tcl/e_uri.test, matrix: context, detail)
The default setting is off, meaning that CHECK constraints are enforced by default. (source: pragma.html, checked-by: th3/req1/pragma20.test, matrix: context, detail)
If the TEXT value is not a well-formed integer or real literal, then the value is stored as TEXT. (source: datatype3.html, checked-by: th3/req1/datatype3_01.test, matrix: context, detail)
A value of 13 (0x0d) means the page is a leaf table b-tree page. (source: fileformat2.html, checked-by: src/btree.c, matrix: context, detail)
For the INSERT and UPDATE commands, the keywords "ON CONFLICT" are replaced by "OR" so that the syntax reads more naturally. (source: lang_conflict.html, checked-by: th3/req1/conflict01.test, matrix: context, detail)
If the statement is a COMMIT or occurs outside of an explicit transaction, then you can retry the statement. (source: c3ref/step.html, matrix: context, detail)
As of version 3.6.18, without running ANALYZE, SQLite will choose option 2. (source: optoverview.html, matrix: context, detail)
The sqlite3_bind_* routines return SQLITE_OK on success or an error code if anything goes wrong. (source: c3ref/bind_blob.html, checked-by: th3/req1/bind01.test, matrix: context, detail)
Passing zero or a negative value as the nFrame parameter disables automatic checkpoints entirely. (source: c3ref/wal_autocheckpoint.html, checked-by: tcl/e_walauto.test, matrix: context, detail)
The sqlite_sequence table is an internal table used to help implement AUTOINCREMENT. (source: fileformat2.html, matrix: context, detail)
The DROP VIEW statement removes a view created by the CREATE VIEW statement. (source: lang_dropview.html, checked-by: tcl/e_dropview.test, th3/cov1/build13.test, matrix: context, detail)
The aConstraintUsage[].omit flag is an optimization hint. When the omit flag is left in its default setting of false, the constraint will always be checked separately in byte code. If the omit flag is change to true, then the constraint may or may not be checked in byte code. In other words, when the omit flag is true there is no guarantee that the constraint will not be checked again using byte code. (source: c3ref/index_info.html, matrix: context, detail)
The name of the database is "main" for the main database or "temp" for the TEMP database, or the name that appears after the AS keyword for databases that are added using the ATTACH SQL command. (source: c3ref/file_control.html, matrix: context, detail)
(source: syntax/delete-stmt-limited.html, matrix: context, detail)
The third and fourth parameters to this function are the table and column name of the desired column, respectively. (source: c3ref/table_column_metadata.html, checked-by: th3/cov1/metadata01.test, matrix: context, detail)
Unlike most SQL databases, SQLite does not restrict the type of data that may be inserted into a column based on the columns declared type. (source: lang_createtable.html, checked-by: tcl/e_createtable.test, matrix: context, detail)
The name of the table (as it appears in sqlite_master.name) is in the sqlite_sequence.main field and the largest INTEGER PRIMARY KEY ever inserted into that table is in the sqlite_sequence.seq field. (source: fileformat2.html, matrix: context, detail)
A scalar SQL function requires an implementation of the xFunc callback only; NULL pointers must be passed as the xStep and xFinal parameters. (source: c3ref/create_function.html, checked-by: th3/req1/createfunc03.test, matrix: context, detail)
If the TEXT value is a well-formed integer literal that is too large to fit in a 64-bit signed integer, it is converted to REAL. (source: datatype3.html, checked-by: th3/req1/datatype3_01.test, matrix: context, detail)
Parameter zDb is not the filename that contains the database, but rather the symbolic name of the database. For attached databases, this is the name that appears after the AS keyword in the ATTACH statement. For the main database file, the database name is "main". For TEMP tables, the database name is "temp". (source: c3ref/blob_open.html, checked-by: tcl/e_blobopen.test, matrix: context, detail)
If N is negative, then the limit reverts to the default value determined by the most recent sqlite3_config(SQLITE_CONFIG_MMAP_SIZE), or to the compile time default determined by SQLITE_DEFAULT_MMAP_SIZE if not start-time limit has been set. (source: pragma.html, matrix: context, detail)
CREATE INDEX po_parent ON purchaseorder(parent_po) WHERE parent_po IS NOT NULL; (source: partialindex.html, checked-by: th3/cov1/index01.test, matrix: context, detail)
Otherwise, if the ORDER BY expression is a column or an alias of an expression that is a column, then the default collation sequence for the column is used. (source: lang_select.html, checked-by: tcl/e_select.test, matrix: context, detail)
The entry point is zProc. (source: c3ref/load_extension.html, matrix: context, detail)
If the result is a BLOB or UTF-8 string then the sqlite3_column_bytes() routine returns the number of bytes in that BLOB or string. (source: c3ref/column_blob.html, checked-by: th3/req1/column01.test, matrix: context, detail)
All schemas are optimized in the first two forms, and only the specified schema is optimized in the latter two. (source: pragma.html, matrix: context, detail)
An ON UPDATE action is only taken if the values of the parent key are modified so that the new parent key values are not equal to the old. (source: foreignkeys.html, checked-by: tcl/e_fkey.test, th3/req1/foreignkeys20.test, matrix: context, detail)
Each column of the subquery has the collation sequence and affinity of the corresponding expression in the subquery statement. (source: lang_select.html, checked-by: tcl/e_select2.test, matrix: context, detail)
URI hexadecimal escape sequences (%HH) are supported within the path and query components of a URI. (source: c3ref/open.html, checked-by: tcl/e_uri.test, matrix: context, detail)
The TEMP database has a default suggested cache size of 0 pages. (source: pragma.html, checked-by: th3/req1/pragma09.test, matrix: context, detail)
But WITHOUT ROWID tables do follow the standard and will throw an error on any attempt to insert a NULL into a PRIMARY KEY column. (source: withoutrowid.html, checked-by: tcl/without_rowid5.test, th3/cov1/withoutrowid01.test, matrix: context, detail)
For example, CREATE TABLE parent(a PRIMARY KEY, b UNIQUE, c, d, e, f); CREATE UNIQUE INDEX i1 ON parent(c, d); CREATE INDEX i2 ON parent(e); CREATE UNIQUE INDEX i3 ON parent(f COLLATE nocase); CREATE TABLE child1(f, g REFERENCES parent(a)); -- Ok CREATE TABLE child2(h, i REFERENCES parent(b)); -- Ok CREATE TABLE child3(j, k, FOREIGN KEY(j, k) REFERENCES parent(c, d)); -- Ok CREATE TABLE child4(l, m REFERENCES parent(e)); -- Error! CREATE TABLE child5(n, o REFERENCES parent(f)); -- Error! CREATE TABLE child6(p, q, FOREIGN KEY(p, q) REFERENCES parent(b, c)); -- Error! CREATE TABLE child7(r REFERENCES parent(c)); -- Error! The foreign key constraints created as part of tables child1, child2 and child3 are all fine. (source: foreignkeys.html, checked-by: tcl/e_fkey.test, th3/req1/foreignkeys07.test, matrix: context, detail)
Reads are also usually an integer number of pages in size, with the one exception that when the database is first opened, the first 100 bytes of the database file (the database file header) are read as a sub-page size unit. (source: fileformat2.html, matrix: context, detail)
The sqlite3_set_auxdata(C,N,P,X) interface saves P as metadata for the N-th argument of the application-defined function. (source: c3ref/get_auxdata.html, matrix: context, detail)
The ANALYZE command scans all indices of database where there might be a choice between two or more indices and gathers statistics on the selectiveness of those indices. (source: optoverview.html, matrix: context, detail)
The instr(X,Y) function finds the first occurrence of string Y within string X and returns the number of prior characters plus 1, or 0 if Y is nowhere found within X. (source: lang_corefunc.html, checked-by: tcl/instr.test, matrix: context, detail)
The callback function registered by sqlite3_trace() is invoked at various times when an SQL statement is being run by sqlite3_step(). (source: c3ref/profile.html, checked-by: th3/cov1/main16.test, matrix: context, detail)
URI filename interpretation is enabled if the SQLITE_OPEN_URI flag is set in the third argument to sqlite3_open_v2(), or if it has been enabled globally using the SQLITE_CONFIG_URI option with the sqlite3_config() method or by the SQLITE_USE_URI compile-time option. (source: c3ref/open.html, checked-by: tcl/e_uri.test, matrix: context, detail)
However a left outer join is neither commutative nor associative and hence will not be reordered. (source: optoverview.html, matrix: context, detail)
Within an xUpdate method, any value for which sqlite3_value_nochange(X) is true will in all other respects appear to be a NULL value. (source: c3ref/value_blob.html, matrix: context, detail)
The sqlite3_int64 variable pointed to by the V parameter will be set to the total number of times that the X-th loop has run. (source: c3ref/c_scanstat_est.html, checked-by: th3/cov1/status02.test, matrix: context, detail)
New VFSes are registered with sqlite3_vfs_register(). (source: c3ref/vfs_find.html, checked-by: th3/req1/vfs01.test, matrix: context, detail)
The "PRAGMA data_version" command provides an indication that the database file has been modified. (source: pragma.html, checked-by: tcl/pragma3.test, th3/cov1/pragma26.test, matrix: context, detail)
The remaining seven methods defined by this structure (xMutexAlloc, xMutexFree, xMutexEnter, xMutexTry, xMutexLeave, xMutexHeld and xMutexNotheld) implement the following interfaces (respectively): sqlite3_mutex_alloc() sqlite3_mutex_free() sqlite3_mutex_enter() sqlite3_mutex_try() sqlite3_mutex_leave() sqlite3_mutex_held() sqlite3_mutex_notheld() (source: c3ref/mutex_methods.html, matrix: context, detail)
The 5th parameter to the authorizer callback is the name of the database ("main", "temp", etc.) if applicable. (source: c3ref/c_alter_table.html, checked-by: th3/cov1/auth03.test, matrix: context, detail)
Both of these limits can be lowered at runtime using the sqlite3_limit() C/C++ interface. (source: lang_createtable.html, checked-by: tcl/e_createtable.test, matrix: context, detail)
For the index above and WHERE clause like this: ... WHERE a=5 AND b IN (1,2,3) AND d='hello' Only columns a and b of the index would be usable. The d column would not be usable because column c is not constrained and there can be no gaps in the set of columns that usable by the index. (source: optoverview.html, matrix: context, detail)
The handler for an SQLITE_FCNTL_PRAGMA file control can optionally make the first element of the char** argument point to a string obtained from sqlite3_mprintf() or the equivalent and that string will become the result of the pragma or the error message if the pragma fails. (source: c3ref/c_fcntl_begin_atomic_write.html, checked-by: src/test_multiplex.c, th3/cov1/pragma24.test, matrix: context, detail)
The VACUUM command works by copying the contents of the database into a temporary database file and then overwriting the original with the contents of the temporary file. (source: lang_vacuum.html, matrix: context, detail)
The _database_ routines return the database name, the _table_ routines return the table name, and the origin_ routines return the column name. (source: c3ref/column_database_name.html, matrix: context, detail)
NOT NULL is enforced on every column of the PRIMARY KEY in a WITHOUT ROWID table. (source: withoutrowid.html, checked-by: tcl/without_rowid5.test, th3/cov1/withoutrowid01.test, matrix: context, detail)
The first argument is the database connection object to be interrogated. (source: c3ref/db_status.html, checked-by: th3/req1/dbstatus01.test, matrix: context, detail)
The implied type conversion of mathematical operands is slightly different from CAST to NUMERIC in that string and BLOB values that look like real numbers but have no fractional part are kept as REAL instead of being converted into INTEGER as they would be for CAST to NUMERIC. (source: datatype3.html, checked-by: th3/req1/datatype3_06.test, matrix: context, detail)
This option is used to enable or disable the sqlite3_load_extension() interface independently of the load_extension() SQL function. (source: c3ref/c_dbconfig_defensive.html, matrix: context, detail)
The sqlite3_result_null() interface sets the return value of the application-defined function to be NULL. (source: c3ref/result_blob.html, checked-by: th3/req1/result01.test, matrix: context, detail)
If an SQL operation is very nearly finished at the time when sqlite3_interrupt() is called, then it might not have an opportunity to be interrupted and might continue to completion. (source: c3ref/interrupt.html, matrix: context, detail)
SQLite strives to keep heap memory utilization below the soft heap limit by reducing the number of pages held in the page cache as heap memory usages approaches the limit. (source: c3ref/hard_heap_limit64.html, checked-by: th3/req1/softheaplimit02.test, matrix: context, detail)
Any prior cache entry associated with newKey is guaranteed not to be pinned. (source: c3ref/pcache_methods2.html, matrix: context, detail)
The sqlite3_rollback_hook() interface registers a callback function to be invoked whenever a transaction is rolled back. (source: c3ref/commit_hook.html, matrix: context, detail)
Each ordinary SQL table in the database schema is represented on-disk by a table b-tree. (source: fileformat2.html, matrix: context, detail)
An attempt to create a WITHOUT ROWID table without a PRIMARY KEY results in an error. (source: withoutrowid.html, checked-by: tcl/without_rowid5.test, th3/cov1/withoutrowid01.test, matrix: context, detail)
These interfaces are used to retrieve runtime status information about the performance of SQLite, and optionally to reset various highwater marks. (source: c3ref/status.html, matrix: context, detail)
The same arbitrarily selected row is used for each non-aggregate expression. (source: lang_select.html, checked-by: tcl/e_select.test, matrix: context, detail)
(source: syntax/ordering-term.html, matrix: context, detail)
If xGeom returns anything other than SQLITE_OK, then the r-tree query will abort with an error. (source: rtree.html, matrix: context, detail)
So, for example, if sqlite3_result_text16le() is invoked with text that begins with bytes 0xfe, 0xff (a big-endian byte-order mark) then the first two bytes of input are skipped and the remaining input is interpreted as UTF16BE text. (source: c3ref/result_blob.html, matrix: context, detail)
To make an existing VFS into the default VFS, register it again with the makeDflt flag set. (source: c3ref/vfs_find.html, checked-by: th3/req1/vfs01.test, matrix: context, detail)
The xGeom callback always does a depth-first search of the r-tree. (source: rtree.html, matrix: context, detail)
If the callback returns non-zero, then another attempt is made to access the database and the cycle repeats. (source: c3ref/busy_handler.html, checked-by: th3/req1/busy01.test, matrix: context, detail)
The last argument is a pointer into which the callback result should be written. (source: rtree.html, matrix: context, detail)
For example, if an "ON DELETE SET DEFAULT" action is configured, but there is no row in the parent table that corresponds to the default values of the child key columns, deleting a parent key while dependent child keys exist still causes a foreign key violation. (source: foreignkeys.html, checked-by: tcl/e_fkey.test, th3/req1/foreignkeys18.test, matrix: context, detail)
Row iRow is not present in the table (source: c3ref/blob_open.html, checked-by: tcl/e_blobopen.test, matrix: context, detail)
If a HAVING clause is a non-aggregate expression, it is evaluated with respect to an arbitrarily selected row from the group. (source: lang_select.html, checked-by: tcl/e_select.test, matrix: context, detail)
The second argument is a pointer to the function to invoke when a row is updated, inserted or deleted in a rowid table. (source: c3ref/update_hook.html, checked-by: th3/cov1/main15.test, matrix: context, detail)
If nByte is positive, then it is the number of bytes read from zSql. (source: c3ref/prepare.html, checked-by: th3/req1/prepare01.test, matrix: context, detail)
All other databases use the normal locking mode by default and are affected by this pragma. (source: pragma.html, checked-by: th3/req1/pragma04.test, matrix: context, detail)
However, the usable size is not allowed to be less than 480. In other words, if the page size is 512, then the reserved space size cannot exceed 32. (source: fileformat2.html, checked-by: src/btree.c, matrix: context, detail)
The string literal must not begin with a wildcard; if the right-hand side begins with a wildcard character then this optimization is not attempted. (source: optoverview.html, matrix: context, detail)
A call to either function replaces the existing collation-needed callback. (source: c3ref/collation_needed.html, matrix: context, detail)
Note that an inner transaction might commit (using the RELEASE command) but then later have its work undone by a ROLLBACK in an outer transaction. (source: lang_savepoint.html, matrix: context, detail)
If there is more than one table or subquery in FROM clause then the contents of all tables and/or subqueries are joined into a single dataset for the simple SELECT statement to operate on. (source: lang_select.html, checked-by: tcl/e_select.test, matrix: context, detail)
Value is a string in the text encoding and (N-13)/2 bytes in length. (source: fileformat2.html, checked-by: src/vdbeaux.c, th3/req1/fileformat02.test, matrix: context, detail)
This API may be used to register a callback that SQLite will invoke when the connection currently holding the required lock relinquishes it. (source: c3ref/unlock_notify.html, matrix: context, detail)
When the temp_store setting is changed, all existing temporary tables, indices, triggers, and views are immediately deleted. (source: pragma.html, matrix: context, detail)
The optional "OR action" conflict clause that follows the UPDATE keyword allows the user to nominate a specific constraint conflict resolution algorithm to use during this one UPDATE command. (source: lang_update.html, checked-by: tcl/e_update.test, matrix: context, detail)
Content is not actually committed on the disk until the outermost transaction commits. (source: lang_savepoint.html, matrix: context, detail)
The likelihood(X) function is a no-op that the code generator optimizes away so that it consumes no CPU cycles during run-time (that is, during calls to sqlite3_step()). (source: lang_corefunc.html, checked-by: tcl/func3.test, matrix: context, detail)
This function is used to move an existing BLOB handle so that it points to a different row of the same database table. (source: c3ref/blob_reopen.html, checked-by: th3/req1/blob01.test, matrix: context, detail)
The one-byte flag at offset 0 indicating the b-tree page type. (source: fileformat2.html, checked-by: src/btree.c, matrix: context, detail)
If the path begins with a '/' character, then it is interpreted as an absolute path. (source: c3ref/open.html, checked-by: tcl/e_uri.test, matrix: context, detail)
Table zTable does not exist within database zDb (source: c3ref/blob_open.html, checked-by: tcl/e_blobopen.test, matrix: context, detail)
The xMutexInit routine is called by SQLite exactly once for each effective call to sqlite3_initialize(). (source: c3ref/mutex_methods.html, matrix: context, detail)
The INDEXED BY and NOT INDEXED clauses are not allowed on DELETE statements within triggers. (source: lang_delete.html, checked-by: tcl/e_delete.test, matrix: context, detail)
The time() function returns the time as HH:MM:SS. (source: lang_datefunc.html, checked-by: th3/req1/date01.test, matrix: context, detail)
When more than two tables are joined together as part of a FROM clause, the join operations are processed in order from left to right. In other words, the FROM clause (A join-op-1 B join-op-2 C) is computed as ((A join-op-1 B) join-op-2 C). (source: lang_select.html, checked-by: tcl/e_select2.test, matrix: context, detail)
If the previous call to this routine had an N of 1 or more and a non-NULL P then the pseudo-randomness is generated internally and without recourse to the sqlite3_vfs xRandomness method. (source: c3ref/randomness.html, checked-by: th3/cov1/random01.test, matrix: context, detail)
Otherwise, they return the name of the attached database, table, or column that query result column was extracted from. (source: c3ref/column_database_name.html, matrix: context, detail)
If the table to which the trigger is attached is not in the temp database, then DELETE statements within the trigger body must operate on tables within the same database as it. (source: lang_delete.html, checked-by: tcl/e_delete.test, matrix: context, detail)
However, if the SELECT is a compound SELECT, then ORDER BY expressions that are not aliases to output columns must be exactly the same as an expression used as an output column. (source: lang_select.html, checked-by: tcl/e_select.test, matrix: context, detail)
In SQLite, table rows normally have a 64-bit signed integer ROWID which is unique among all rows in the same table. (source: autoinc.html, checked-by: th3/req1/autoinc01.test, matrix: context, detail)
The ALTER TABLE command does not work on statistics tables. (source: lang_analyze.html, checked-by: th3/req1/analyze01.test, matrix: context, detail)
EXPLAIN QUERY PLAN is most useful on a SELECT statement, but may also appear with other statements that read data from database tables (e.g. UPDATE, DELETE, INSERT INTO ... SELECT). (source: eqp.html, matrix: context, detail)
The defer_foreign_keys pragma defaults to OFF so that foreign key constraints are only deferred if they are created as "DEFERRABLE INITIALLY DEFERRED". (source: pragma.html, checked-by: tcl/fkey6.test, th3/cov1/fkey24.test, matrix: context, detail)
sqlite3_config() can be called as part of the implementation of an application-defined sqlite3_os_init(). (source: c3ref/config.html, matrix: context, detail)
The sqlite3_column_type() routine returns the datatype code for the initial data type of the result column. (source: c3ref/column_blob.html, checked-by: th3/req1/column01.test, matrix: context, detail)
FTS4 uses term prefix indexes to speed up prefix queries. (source: fts3.html, matrix: context, detail)
For example, the sqlite_stat1 table might indicate that an equality constraint on column x reduces the search space to 10 rows on average, whereas an equality constraint on column y reduces the search space to 3 rows on average. In that case, SQLite would prefer to use index ex2i2 since that index is more selective. (source: optoverview.html, matrix: context, detail)
String and BLOB values that do not look like numbers are interpreted as 0. (source: lang_aggfunc.html, checked-by: th3/req1/aggfunc01.test, matrix: context, detail)
SQLite interprets the string from sqlite3_result_error16() as UTF-16 using the same byte-order determination rules as sqlite3_bind_text16(). (source: c3ref/result_blob.html, checked-by: th3/req1/result01.test, matrix: context, detail)
An attempt to read from an expired BLOB handle fails with an error code of SQLITE_ABORT. (source: c3ref/blob_read.html, checked-by: th3/cov1/vdbeblob01.test, matrix: context, detail)
The sqlite3_str_finish(X) interface destroys the sqlite3_str object X and returns a pointer to a memory buffer obtained from sqlite3_malloc64() that contains the constructed string. (source: c3ref/str_finish.html, matrix: context, detail)
SQLITE_STATUS_MALLOC_COUNT This parameter records the number of separate memory allocations currently checked out. (source: c3ref/c_status_malloc_count.html, matrix: context, detail)
The ROLLBACK command with a TO clause rolls back transactions going backwards in time back to the most recent SAVEPOINT with a matching name. (source: lang_savepoint.html, matrix: context, detail)
This is the number of sort operations that have occurred. (source: c3ref/c_stmtstatus_counter.html, matrix: context, detail)
If one operand has TEXT affinity and the other has no affinity, then TEXT affinity is applied to the other operand. (source: datatype3.html, checked-by: th3/cov1/affinity01.test, th3/req1/datatype3_05.test, matrix: context, detail)
It then checkpoints all frames in the log file and syncs the database file. (source: c3ref/wal_checkpoint_v2.html, checked-by: tcl/e_walckpt.test, th3/req1/checkpoint01.test, matrix: context, detail)
For indexes on an ordinary rowid table, N will be one more than the number of columns indexed. (source: fileformat2.html, matrix: context, detail)
When the commit hook callback routine returns zero, the COMMIT operation is allowed to continue normally. (source: c3ref/commit_hook.html, matrix: context, detail)
The third and fourth arguments to the callback contain pointers to the database and table name containing the affected row. (source: c3ref/update_hook.html, checked-by: tcl/hook.test, th3/cov1/main15.test, matrix: context, detail)
For "X LIKE P" without the ESCAPE clause, set the E parameter of sqlite3_strlike(P,X,E) to 0. (source: c3ref/strlike.html, matrix: context, detail)
When the locking-mode is set to EXCLUSIVE, the database connection never releases file-locks. (source: pragma.html, checked-by: th3/req1/pragma04.test, matrix: context, detail)
Otherwise, the storage class of the result is determined by applying the rules for determining column affinity to the type-name. (source: lang_expr.html, checked-by: tcl/e_expr.test, matrix: context, detail)
If the source database connection is being used to write to the source database when sqlite3_backup_step() is called, then SQLITE_LOCKED is returned immediately. (source: c3ref/backup_finish.html, matrix: context, detail)
PRAGMA fullfsync PRAGMA fullfsync = boolean; Query or change the fullfsync flag. (source: pragma.html, checked-by: th3/req1/pragma11b.test, matrix: context, detail)
Generated columns can occur anywhere in the table definition. (source: gencol.html, matrix: context, detail)
If the database uses a 65536-byte page size and the reserved space is zero (the usual value for reserved space) then the cell content offset of an empty page wants to be 65536. However, that integer is too large to be stored in a 2-byte unsigned integer, so a value of 0 is used in its place. (source: fileformat2.html, checked-by: src/btree.c, matrix: context, detail)
Some virtual table implementations might impose additional restrictions. (source: lang_createvtab.html, matrix: context, detail)
If there are too few arguments in the argument list, missing arguments are assumed to have a NULL value, which is translated into 0 or 0.0 for numeric formats or an empty string for %s. (source: lang_corefunc.html, checked-by: tcl/printf2.test, th3/cov1/printf08.test, matrix: context, detail)
The highwater mark associated with SQLITE_DBSTATUS_CACHE_WRITE is always 0. (source: c3ref/c_dbstatus_options.html, checked-by: src/status.c, matrix: context, detail)
PRAGMA schema.index_info(index-name); This pragma returns one row for each key column in the named index. (source: pragma.html, checked-by: tcl/pragma.test, th3/req1/pragma15.test, matrix: context, detail)
If a given call to sqlite3_unlock_notify() would put the system in a deadlocked state, then SQLITE_LOCKED is returned and no unlock-notify callback is registered. (source: c3ref/unlock_notify.html, matrix: context, detail)
A subsequent call to sqlite3_result_error() or sqlite3_result_error16() resets the error code to SQLITE_ERROR. (source: c3ref/result_blob.html, checked-by: th3/req1/result01.test, matrix: context, detail)
If the table to which the trigger is attached is in the TEMP database, then the unqualified name of the table being updated is resolved in the same way as it is for a top-level statement (by searching first the TEMP database, then the main database, then any other databases in the order they were attached). (source: lang_update.html, checked-by: tcl/e_update.test, matrix: context, detail)
Hence, when an application changes the statistics tables directly, SQLite will not immediately notice the changes. (source: lang_analyze.html, checked-by: th3/req1/analyze01.test, matrix: context, detail)
When a "table-name" is specified, the only foreign key constraints checked are those created by REFERENCES clauses in the CREATE TABLE statement for table-name. (source: pragma.html, checked-by: th3/cov1/fkey23.test, matrix: context, detail)
The usual algorithm is to give the newly created row a ROWID that is one larger than the largest ROWID in the table prior to the insert. (source: autoinc.html, checked-by: src/vdbe.c, th3/req1/autoinc01.test, matrix: context, detail)
The sqlite3_stmt_isexplain(S) interface returns 1 if the prepared statement S is an EXPLAIN statement, or 2 if the statement S is an EXPLAIN QUERY PLAN. (source: c3ref/stmt_isexplain.html, matrix: context, detail)
Each call to either sqlite3_trace() or sqlite3_trace_v2() overrides (cancels) any prior calls to sqlite3_trace() or sqlite3_trace_v2(). (source: c3ref/trace_v2.html, matrix: context, detail)
An INSERT that fails due to a constraint violation is not a successful INSERT and does not change the value returned by this routine. (source: c3ref/last_insert_rowid.html, matrix: context, detail)
sqlite3_free() is used to free idxPtr if and only if needToFreeIdxPtr is true. (source: c3ref/index_info.html, matrix: context, detail)
However, COMMIT will fail as long as foreign key constraints remain in violation. (source: foreignkeys.html, checked-by: tcl/e_fkey.test, th3/req1/foreignkeys12.test, th3/req1/foreignkeys14.test, matrix: context, detail)
The right-hand side of an IN or NOT IN operator can be a table name or table-valued function name in which case the right-hand side is understood to be subquery of the form "(SELECT * FROM name)". (source: lang_expr.html, checked-by: th3/cov1/in01.test, matrix: context, detail)
Type is associated with individual values, not with the containers used to hold those values. (source: c3ref/column_decltype.html, matrix: context, detail)
The sqlite3_db_readonly(D,N) interface returns 1 if the database N of connection D is read-only, 0 if it is read/write, or -1 if N is not the name of a database on connection D. (source: c3ref/db_readonly.html, checked-by: tcl/rdonly.test, matrix: context, detail)
The sqlite3_create_function() interface can be used to override the like() function and thereby change the operation of the LIKE operator. (source: lang_corefunc.html, checked-by: th3/req1/func02.test, matrix: context, detail)
The nullif(X,Y) function returns its first argument if the arguments are different and NULL if the arguments are the same. (source: lang_corefunc.html, checked-by: th3/cov1/func02.test, th3/req1/func03.test, matrix: context, detail)
The second argument to the busy handler callback is the number of times that the busy handler has been invoked previously for the same locking event. (source: c3ref/busy_handler.html, checked-by: th3/req1/busy01.test, matrix: context, detail)
For a blob value X, length(X) returns the number of bytes in the blob. (source: lang_corefunc.html, checked-by: th3/cov1/func01.test, matrix: context, detail)
The unicode(X) function returns the numeric unicode code point corresponding to the first character of the string X. (source: lang_corefunc.html, checked-by: tcl/func.test, matrix: context, detail)
If either operand has an explicit collating function assignment using the postfix COLLATE operator, then the explicit collating function is used for comparison, with precedence to the collating function of the left operand. (source: datatype3.html, checked-by: th3/req1/datatype3_09.test, matrix: context, detail)
Application developers can use the EXPLAIN QUERY PLAN prefix on a statement to get a high-level overview of the chosen query strategy. (source: optoverview.html, matrix: context, detail)
In this case the result of evaluating the left-most expression from each term of the VALUES list is inserted into the left-most column of each new row, and so forth for each subsequent expression. (source: lang_insert.html, checked-by: tcl/e_insert.test, matrix: context, detail)
The sqlite3_str_new(D) interface allocates and initializes a new sqlite3_str object. (source: c3ref/str_new.html, matrix: context, detail)
For any key X, pointers to the left of a X refer to b-tree pages on which all keys are less than or equal to X. (source: fileformat2.html, matrix: context, detail)
FULL blocks concurrent writers while it is running, but readers can proceed. (source: pragma.html, matrix: context, detail)
A function where the preferred text encoding matches the database encoding is a better match than a function where the encoding is different. (source: c3ref/create_function.html, checked-by: th3/req1/createfunc04.test, matrix: context, detail)
The text of query parameters is appended to the filename argument of the xOpen method of the VFS. (source: uri.html, matrix: context, detail)
When an INTEGER or REAL is compared to another INTEGER or REAL, a numerical comparison is performed. (source: datatype3.html, checked-by: th3/req1/datatype3_04.test, matrix: context, detail)
If the ORDER BY expression is a constant integer K then the expression is considered an alias for the K-th column of the result set (columns are numbered from left to right starting with 1). (source: lang_select.html, checked-by: tcl/e_select.test, matrix: context, detail)
So, ordinary rowid tables in SQLite violate the SQL standard and allow NULL values in PRIMARY KEY fields. (source: withoutrowid.html, checked-by: tcl/without_rowid5.test, th3/cov1/withoutrowid01.test, matrix: context, detail)
If offset iOffset is less than N bytes from the end of the BLOB, SQLITE_ERROR is returned and no data is written. (source: c3ref/blob_write.html, checked-by: tcl/e_blobwrite.test, matrix: context, detail)
If the savepoint-name in a ROLLBACK TO command does not match any SAVEPOINT on the stack, then the ROLLBACK command fails with an error and leaves the state of the database unchanged. (source: lang_savepoint.html, matrix: context, detail)
Value is a big-endian 64-bit twos-complement integer. (source: fileformat2.html, checked-by: src/vdbeaux.c, th3/req1/fileformat02.test, matrix: context, detail)
The source database connection may be used by the application for other purposes while a backup operation is underway or being initialized. (source: c3ref/backup_finish.html, matrix: context, detail)
If a NOT NULL constraint is specified, then the column must have a default value other than NULL. (source: lang_altertable.html, checked-by: th3/req1/altertable01.test, matrix: context, detail)
If those locks cannot be obtained immediately and there is a busy-handler callback configured, it is invoked in the usual manner. (source: c3ref/db_cacheflush.html, matrix: context, detail)
The argument to the SQLITE_FCNTL_PRAGMA file control is an array of pointers to strings (char**) in which the second element of the array is the name of the pragma and the third element is the argument to the pragma or NULL if the pragma has no argument. (source: c3ref/c_fcntl_begin_atomic_write.html, checked-by: src/pragma.c, src/test_multiplex.c, matrix: context, detail)
Such transactions usually persist until the next COMMIT or ROLLBACK command. But a transaction will also ROLLBACK if the database is closed or if an error occurs and the ROLLBACK conflict resolution algorithm is specified. (source: lang_transaction.html, matrix: context, detail)
The SQLITE_OPEN_EXCLUSIVE flag is always used in conjunction with the SQLITE_OPEN_CREATE flag, which are both directly analogous to the O_EXCL and O_CREAT flags of the POSIX open() API. (source: c3ref/vfs.html, checked-by: th3/th3testvfs.c, matrix: context, detail)
This file control takes the file descriptor out of batch write mode so that all subsequent write operations are independent. (source: c3ref/c_fcntl_begin_atomic_write.html, matrix: context, detail)
Calling sqlite3_auto_extension(X) with an entry point X that is already on the list of automatic extensions is a harmless no-op. (source: c3ref/auto_extension.html, checked-by: th3/req1/autoext01.test, matrix: context, detail)
EXCLUSIVE is similar to IMMEDIATE in that a write transaction is started immediately. (source: lang_transaction.html, matrix: context, detail)
Example Typenames From TheCREATE TABLE Statement or CAST Expression Resulting Affinity Rule Used To Determine Affinity INT INTEGER TINYINT SMALLINT MEDIUMINT BIGINT UNSIGNED BIG INT INT2 INT8 INTEGER 1 CHARACTER(20) VARCHAR(255) VARYING CHARACTER(255) NCHAR(55) NATIVE CHARACTER(70) NVARCHAR(100) TEXT CLOB TEXT 2 BLOB no datatype specified BLOB 3 REAL DOUBLE DOUBLE PRECISION FLOAT REAL 4 NUMERIC DECIMAL(10,5) BOOLEAN DATE DATETIME NUMERIC 5 (source: datatype3.html, checked-by: th3/req1/datatype3_02.test, matrix: context, detail)
The leftmost column of the result set has the index 0. (source: c3ref/column_blob.html, checked-by: th3/req1/column01.test, matrix: context, detail)
If the argument to sqlite3_mutex_enter(), sqlite3_mutex_try(), or sqlite3_mutex_leave() is a NULL pointer, then all three routines behave as no-ops. (source: c3ref/mutex_alloc.html, checked-by: th3/cov1/mutex01.test, matrix: context, detail)
If the result is a BLOB or UTF-16 string then the sqlite3_column_bytes16() routine returns the number of bytes in that BLOB or string. (source: c3ref/column_blob.html, checked-by: th3/req1/column01.test, matrix: context, detail)
Terms of the WHERE clause can be manually disqualified for use with indices by prepending a unary *+* operator to the column name. (source: optoverview.html, matrix: context, detail)
The psow parameter indicates whether or not the powersafe overwrite property does or does not apply to the storage media on which the database file resides. (source: c3ref/open.html, checked-by: th3/cov1/psow01.test, matrix: context, detail)
The non-equals operator can be either != or <>. (source: lang_expr.html, checked-by: tcl/e_expr.test, matrix: context, detail)
The index of the column is stored in aConstraint[].iColumn. (source: c3ref/index_info.html, matrix: context, detail)
Additional application-specific collating functions can be added to SQLite using the sqlite3_create_collation() interface. (source: fileformat2.html, checked-by: th3/th3util.c, matrix: context, detail)
PASSIVE Checkpoint as many frames as possible without waiting for any database readers or writers to finish. Sync the db file if all frames in the log are checkpointed. (source: pragma.html, checked-by: th3/req1/checkpoint01.test, matrix: context, detail)
The wal_autocheckpoint pragma can be used to invoke this interface from SQL. (source: c3ref/wal_autocheckpoint.html, checked-by: tcl/e_walauto.test, matrix: context, detail)
The compress option is used to specify the compress function. (source: fts3.html, matrix: context, detail)
The number of pages in cache must exceed both the cache_spill threshold and the maximum cache size set by the PRAGMA cache_size statement in order for spilling to occur. (source: pragma.html, matrix: context, detail)
The default suggested cache size is -2000, which means the cache size is limited to 2048000 bytes of memory. (source: pragma.html, checked-by: src/sqliteLimit.h, th3/req1/pragma09.test, matrix: context, detail)
For each limit category SQLITE_LIMIT_NAME there is a hard upper bound set at compile-time by a C preprocessor macro called SQLITE_MAX_NAME. (The "_LIMIT_" in the name is changed to "_MAX_".) (source: c3ref/limit.html, checked-by: src/main.c, matrix: context, detail)
All automatic checkpoints are PASSIVE. (source: pragma.html, matrix: context, detail)
The load_extension() function will fail if the extension attempts to modify or delete an SQL function or collating sequence. (source: lang_corefunc.html, checked-by: th3/cov1/func03.test, matrix: context, detail)
The sqlite3_stricmp() and sqlite3_strnicmp() APIs allow applications and extensions to compare the contents of two buffers containing UTF-8 strings in a case-independent fashion, using the same definition of "case independence" that SQLite uses internally when comparing identifiers. (source: c3ref/stricmp.html, checked-by: src/util.c, matrix: context, detail)
All arguments are preceded by a single space. (source: fileformat2.html, matrix: context, detail)
The default value of the fullfsync flag is off. (source: pragma.html, checked-by: th3/req1/pragma11b.test, matrix: context, detail)
(source: syntax/begin-stmt.html, matrix: context, detail)
The minimum value is the first non-NULL value that would appear in an ORDER BY of the column. (source: lang_aggfunc.html, checked-by: th3/req1/aggfunc01.test, matrix: context, detail)
Each foreign key constraint in SQLite is classified as either immediate or deferred. (source: foreignkeys.html, checked-by: src/build.c, src/fkey.c, src/sqliteInt.h, tcl/e_fkey.test, th3/req1/foreignkeys12.test, matrix: context, detail)
Casting a REAL or INTEGER value to NUMERIC is a no-op, even if a real value could be losslessly converted to an integer. (source: lang_expr.html, checked-by: tcl/e_expr.test, matrix: context, detail)
The SQLITE_SOURCE_ID macro evaluates to a string which identifies a particular check-in of SQLite within its configuration management system. (source: c3ref/c_source_id.html, checked-by: th3/req1/version01.test, matrix: context, detail)
Every call to sqlite3_backup_step() obtains a shared lock on the source database that lasts for the duration of the sqlite3_backup_step() call. (source: c3ref/backup_finish.html, matrix: context, detail)
So, in the example above, if the query were rewritten as: SELECT z FROM ex2 WHERE +x=5 AND y=6; The *+* operator on the *x* column will prevent that term from constraining an index. This would force the use of the ex2i2 index. (source: optoverview.html, matrix: context, detail)
There can only be a single busy handler defined for each database connection. Setting a new busy handler clears any previously set handler. (source: c3ref/busy_handler.html, checked-by: th3/req1/busy01.test, matrix: context, detail)
An underscore ("_") in the LIKE pattern matches any single character in the string. (source: lang_expr.html, checked-by: tcl/e_expr.test, matrix: context, detail)
Any column in an SQLite version 3 database, except an INTEGER PRIMARY KEY column, may be used to store a value of any storage class. (source: datatype3.html, checked-by: th3/req1/datatype3_11.test, matrix: context, detail)
Any scalar expression may be used in the LIMIT clause, so long as it evaluates to an integer or a value that can be losslessly converted to an integer. (source: lang_select.html, checked-by: tcl/e_select.test, matrix: context, detail)
If this routine has not been previously called or if the previous call had N less than one or a NULL pointer for P, then the PRNG is seeded using randomness obtained from the xRandomness method of the default sqlite3_vfs object. (source: c3ref/randomness.html, checked-by: th3/cov1/random01.test, matrix: context, detail)
The locking mode of temp and in-memory databases cannot be changed. (source: pragma.html, checked-by: th3/req1/pragma04.test, matrix: context, detail)
If the callback on a commit hook function returns non-zero, then the commit is converted into a rollback. (source: c3ref/commit_hook.html, matrix: context, detail)
The unary *+* is a no-op and will not generate any byte code in the prepared statement. (source: optoverview.html, matrix: context, detail)
After calling the xDestroy() method, SQLite considers the sqlite3_pcache* handle invalid, and will not use it with any other sqlite3_pcache_methods2 functions. (source: c3ref/pcache_methods2.html, checked-by: th3/th3pcache.c, matrix: context, detail)
In a CASE without a base expression, each WHEN expression is evaluated and the result treated as a boolean, starting with the leftmost and continuing to the right. (source: lang_expr.html, checked-by: tcl/e_expr.test, matrix: context, detail)
The WAL header is 32 bytes in size and consists of the following eight big-endian 32-bit unsigned integer values: WAL Header Format OffsetSizeDescription 04 Magic number. 0x377f0682 or 0x377f0683 44 File format version. Currently 3007000. 84 Database page size. Example: 1024 124 Checkpoint sequence number 164 Salt-1: random integer incremented with each checkpoint 204 Salt-2: a different random number for each checkpoint 244 Checksum-1: First part of a checksum on the first 24 bytes of header 284 Checksum-2: Second part of the checksum on the first 24 bytes of header (source: fileformat2.html, matrix: context, detail)
The sqlite3_strlike(P,X,E) function matches Unicode characters, though only ASCII characters are case folded. (source: c3ref/strlike.html, matrix: context, detail)
The final callback parameter is the rowid of the row. (source: c3ref/update_hook.html, checked-by: tcl/hook.test, th3/cov1/main15.test, matrix: context, detail)
If a write-transaction is open on database connection D when the sqlite3_db_cacheflush(D) interface invoked, any dirty pages in the pager-cache that are not currently in use are written out to disk. (source: c3ref/db_cacheflush.html, matrix: context, detail)
The callback is invoked from within the sqlite3_step or sqlite3_close call that concludes the blocking connection's transaction. (source: c3ref/unlock_notify.html, matrix: context, detail)
And the declared type of "STRING" has an affinity of NUMERIC, not TEXT. (source: datatype3.html, checked-by: th3/req1/datatype3_02.test, matrix: context, detail)
The sqlite3_result_text64() interface sets the return value of an application-defined function to be a text string in an encoding specified by the fifth (and last) parameter, which must be one of SQLITE_UTF8, SQLITE_UTF16, SQLITE_UTF16BE, or SQLITE_UTF16LE. (source: c3ref/result_blob.html, checked-by: th3/req1/result02.test, matrix: context, detail)
If the UPDATE statement also has an OFFSET clause, then it is similarly evaluated and cast to an integer value. If the OFFSET expression evaluates to a non-negative value M, then the first M rows are skipped and the following N rows updated instead. (source: lang_update.html, checked-by: tcl/e_update.test, matrix: context, detail)
The legacy behavior was that sqlite3_step() would only return a generic SQLITE_ERROR result code and the application would have to make a second call to sqlite3_reset() in order to find the underlying cause of the problem. (source: c3ref/prepare.html, checked-by: th3/req1/prepare03.test, matrix: context, detail)
Memory to hold the error message string is managed internally and must not be freed by the application (source: c3ref/errcode.html, matrix: context, detail)
For each UNIQUE constraint on the table, each row must contain a unique combination of values in the columns identified by the UNIQUE constraint. (source: lang_createtable.html, checked-by: tcl/e_createtable.test, matrix: context, detail)
Root pages are moved to the beginning of the database file by the CREATE TABLE, CREATE INDEX, DROP TABLE, and DROP INDEX operations. (source: fileformat2.html, matrix: context, detail)
If no arguments are given, all attached databases are analyzed. (source: lang_analyze.html, checked-by: th3/req1/analyze01.test, matrix: context, detail)
Triggers are removed using the DROP TRIGGER statement. (source: lang_createtrigger.html, matrix: context, detail)
The sqlite3_busy_handler(D,X,P) routine sets a callback function X that might be invoked with argument P whenever an attempt is made to access a database table associated with database connection D when another thread or process has the table locked. (source: c3ref/busy_handler.html, checked-by: th3/req1/busy01.test, matrix: context, detail)
Any SELECT statement, including compound SELECTs and SELECT statements with ORDER BY and/or LIMIT clauses, may be used in an INSERT statement of this form. (source: lang_insert.html, checked-by: tcl/e_insert.test, matrix: context, detail)
On success, SQLITE_OK is returned and the new BLOB handle is stored in *ppBlob. Otherwise an error code is returned and, unless the error code is SQLITE_MISUSE, *ppBlob is set to NULL. (source: c3ref/blob_open.html, checked-by: tcl/e_blobopen.test, matrix: context, detail)
The SQLITE_SOURCE_ID string contains the date and time of the check-in (UTC) and a SHA1 or SHA3-256 hash of the entire source tree. (source: c3ref/c_source_id.html, checked-by: th3/req1/version01.test, matrix: context, detail)
The "E" character that begins the exponentiation clause of a floating point literal can be either upper or lower case. (source: lang_expr.html, checked-by: th3/req1/expr01.test, matrix: context, detail)
Every table must have at least one non-generated column. (source: gencol.html, matrix: context, detail)
The sqlite3_db_filename(D,N) interface returns a pointer to the filename associated with database N of connection D. (source: c3ref/db_filename.html, checked-by: th3/cov1/attach04.test, matrix: context, detail)
Database zDb does not exist (source: c3ref/blob_open.html, checked-by: tcl/e_blobopen.test, matrix: context, detail)
The new mutex is recursive when SQLITE_MUTEX_RECURSIVE is used but not necessarily so when SQLITE_MUTEX_FAST is used. (source: c3ref/mutex_alloc.html, matrix: context, detail)
The fourth column in the output of the foreign_key_check pragma is the same integer as the first column in the output of the foreign_key_list pragma. (source: pragma.html, checked-by: th3/cov1/fkey23.test, matrix: context, detail)
The pContext member of the sqlite3_rtree_geometry structure is always set to a copy of the pContext argument passed to sqlite3_rtree_geometry_callback() when the callback is registered. (source: rtree.html, matrix: context, detail)
The 32-bit integers are big-endian if the magic number in the first 4 bytes of the WAL header is 0x377f0683 and the integers are little-endian if the magic number is 0x377f0682. (source: fileformat2.html, matrix: context, detail)
Strings returned by sqlite3_column_text() and sqlite3_column_text16(), even empty strings, are always zero-terminated. (source: c3ref/column_blob.html, checked-by: src/vdbemem.c, th3/req1/column01.test, matrix: context, detail)
After the header and zero padding are zero or more page records. (source: fileformat2.html, matrix: context, detail)
The lower(X) function returns a copy of string X with all ASCII characters converted to lower case. (source: lang_corefunc.html, checked-by: th3/cov1/func02.test, matrix: context, detail)
Each trigger must specify that it will fire for one of the following operations: DELETE, INSERT, UPDATE. (source: lang_createtrigger.html, matrix: context, detail)
The error code and message for the failed call to sqlite3_backup_init() can be retrieved using the sqlite3_errcode(), sqlite3_errmsg(), and/or sqlite3_errmsg16() functions. (source: c3ref/backup_finish.html, checked-by: th3/req1/backup02.test, matrix: context, detail)
The authorizer callback should return SQLITE_OK to allow the action, SQLITE_IGNORE to disallow the specific action but allow the SQL statement to continue to be compiled, or SQLITE_DENY to cause the entire SQL statement to be rejected with an error. (source: c3ref/set_authorizer.html, matrix: context, detail)
If the 2nd parameter to sqlite3_exec() is a NULL pointer, a pointer to an empty string, or a pointer that contains only whitespace and/or SQL comments, then no SQL statements are evaluated and the database is not changed. (source: c3ref/exec.html, checked-by: th3/req1/exec01.test, matrix: context, detail)
The sqlite3_user_data() interface returns a copy of the pointer that was the pUserData parameter (the 5th parameter) of the sqlite3_create_function() and sqlite3_create_function16() routines that originally registered the application defined function. (source: c3ref/user_data.html, checked-by: th3/req1/userdata01.test, matrix: context, detail)
Subverting this mechanism by using "PRAGMA schema_version" may cause SQL statement to run using an obsolete schema, which can lead to incorrect answers and/or database corruption. (source: pragma.html, checked-by: th3/req1/pragma28.test, matrix: context, detail)
The default built-in lower() function works for ASCII characters only. (source: lang_corefunc.html, checked-by: th3/cov1/func02.test, matrix: context, detail)
For example, the function "count(distinct X)" will return the number of distinct values of column X instead of the total number of non-null values in column X. (source: lang_aggfunc.html, checked-by: th3/req1/aggfunc01.test, matrix: context, detail)
The "order" option may be set to either "DESC" or "ASC" (in upper or lower case). (source: fts3.html, matrix: context, detail)
The purpose of the likelihood(X,Y) function is to provide a hint to the query planner that the argument X is a boolean that is true with a probability of approximately Y. (source: lang_corefunc.html, checked-by: th3/cov1/where42.test, matrix: context, detail)
If the destructor argument is SQLITE_STATIC, it means that the content pointer is constant and will never change. (source: c3ref/c_static.html, checked-by: th3/req1/clearbind01.test, th3/req1/static01.test, matrix: context, detail)
When a table is referenced by a SELECT but no column values are extracted from that table (for example in a query like "SELECT count(*) FROM tab") then the SQLITE_READ authorizer callback is invoked once for that table with a column name that is an empty string. (source: c3ref/set_authorizer.html, checked-by: tcl/auth.test, th3/cov1/auth01.test, matrix: context, detail)
Literal values may be integers, floating point numbers, strings, BLOBs, or NULLs. (source: lang_expr.html, checked-by: tcl/e_expr.test, matrix: context, detail)
If a HAVING clause is specified, it is evaluated once for each group of rows as a boolean expression. If the result of evaluating the HAVING clause is false, the group is discarded. (source: lang_select.html, checked-by: tcl/e_select.test, matrix: context, detail)
_. (source: undoredo.html, matrix: context, detail)
Inner joins can be freely reordered. (source: optoverview.html, matrix: context, detail)
If the table to which the trigger is attached is in the TEMP database, then the unqualified name of the table being deleted is resolved in the same way as it is for a top-level statement (by searching first the TEMP database, then the main database, then any other databases in the order they were attached). (source: lang_delete.html, checked-by: tcl/e_delete.test, matrix: context, detail)
To avoid having to register all collation sequences before a database can be used, a single callback function may be registered with the database connection to be invoked whenever an undefined collation sequence is required. (source: c3ref/collation_needed.html, matrix: context, detail)
The sqlite3_trace_v2(D,M,X,P) interface registers a trace callback function X against database connection D, using property mask M and context pointer P. (source: c3ref/trace_v2.html, matrix: context, detail)
RTRIM is like BINARY except that extra spaces at the end of either string do not change the result. In other words, strings will compare equal to one another as long as they differ only in the number of spaces at the end. (source: fileformat2.html, matrix: context, detail)
If X is the integer -9223372036854775808 then abs(X) throws an integer overflow error since there is no equivalent positive 64-bit two complement value. (source: lang_corefunc.html, checked-by: src/func.c, th3/cov1/func01.test, matrix: context, detail)
As an internal optimization, small floating point values with no fractional component and stored in columns with REAL affinity are written to disk as integers in order to take up less space and are automatically converted back into floating point as the value is read out. (source: datatype3.html, checked-by: th3/req1/datatype3_12.test, matrix: context, detail)
julianday(timestring, modifier, modifier, ...) (source: lang_datefunc.html, checked-by: th3/req1/date01.test, matrix: context, detail)
If sqlite3_open_v2() is used and the "cache" parameter is present in a URI filename, its value overrides any behavior requested by setting SQLITE_OPEN_PRIVATECACHE or SQLITE_OPEN_SHAREDCACHE flag. (source: c3ref/open.html, checked-by: tcl/e_uri.test, matrix: context, detail)
Or, if a PRIMARY KEY clause is specified as a table-constraint, then the primary key of the table consists of the list of columns specified as part of the PRIMARY KEY clause. (source: lang_createtable.html, checked-by: tcl/e_createtable.test, matrix: context, detail)
a NOT NULL constraint dictates that the associated column may not contain a NULL value. Attempting to set the column value to NULL when inserting a new row or updating an existing one causes a constraint violation. (source: lang_createtable.html, checked-by: tcl/e_createtable.test, matrix: context, detail)
The size of a blob may not be changed by this interface. (source: c3ref/blob_open.html, checked-by: th3/cov1/vdbeblob01.test, matrix: context, detail)
PRAGMA legacy_alter_table; PRAGMA legacy_alter_table = boolean This pragma sets or queries the value of the legacy_alter_table flag. (source: pragma.html, matrix: context, detail)
If the final parameter to sqlite3_create_function_v2() or sqlite3_create_window_function() is not NULL, then it is destructor for the application data pointer. The destructor is invoked when the function is deleted, either by being overloaded or when the database connection closes. (source: c3ref/create_function.html, checked-by: th3/req1/createfunc07.test, matrix: context, detail)
An error is raised if more than one PRIMARY KEY clause appears in a CREATE TABLE statement. (source: lang_createtable.html, checked-by: tcl/e_createtable.test, matrix: context, detail)
Both forms of the pragma return the maximum page count. (source: pragma.html, checked-by: th3/req1/pragma12.test, matrix: context, detail)
The zeroblob(N) function returns a BLOB consisting of N bytes of 0x00. (source: lang_corefunc.html, checked-by: th3/cov1/func04.test, matrix: context, detail)
If sqlite3_open_v2() is used and the vfs option is present, then the VFS specified by the option takes precedence over the value passed as the fourth parameter to sqlite3_open_v2(). (source: c3ref/open.html, checked-by: tcl/e_uri.test, matrix: context, detail)
In addition to being a result code, the SQLITE_ABORT value is also used as a conflict resolution mode returned from the sqlite3_vtab_on_conflict() interface. (source: rescode.html, checked-by: th3/cov1/vtab04.test, th3/cov1/vtab07.test, matrix: context, detail)
When an applicable constraint violation occurs, the ROLLBACK resolution algorithm aborts the current SQL statement with an SQLITE_CONSTRAINT error and rolls back the current transaction. (source: lang_conflict.html, checked-by: th3/req1/conflict01.test, matrix: context, detail)
But the FAIL resolution does not back out prior changes of the SQL statement that failed nor does it end the transaction. (source: lang_conflict.html, checked-by: th3/req1/conflict01.test, matrix: context, detail)
If the path component is omitted, then the database is stored in a temporary file that will be automatically deleted when the database connection closes. (source: uri.html, matrix: context, detail)
The syntax for the ON CONFLICT clause is as shown above for the CREATE TABLE command. (source: lang_conflict.html, checked-by: th3/req1/conflict01.test, matrix: context, detail)
during the original sqlite3_set_auxdata() call when a memory allocation error occurs. (source: c3ref/get_auxdata.html, matrix: context, detail)
If EXCLUSIVE locking mode is set prior to the first WAL-mode database access, then SQLite never attempts to call any of the shared-memory methods and hence no shared-memory wal-index is ever created. (source: wal.html, checked-by: tcl/e_wal.test, th3/req1/pragma05.test, matrix: context, detail)
On windows, if the absolute path begins with "/X:/" where X is any single ASCII alphabetic character ("a" through "z" or "A" through "Z") then the "X:" is understood to be the drive letter of the volume containing the file, not the toplevel directory. (source: uri.html, matrix: context, detail)
Text is appended to the sqlite3_str object using various methods, such as sqlite3_str_appendf(). (source: c3ref/str.html, matrix: context, detail)
If no schema name is specified and the TEMP keyword is not present then the table is created in the main database. (source: lang_createtable.html, checked-by: tcl/e_createtable.test, matrix: context, detail)
The second parameter is the name of the SQL function to be created or redefined. (source: c3ref/create_function.html, checked-by: th3/req1/createfunc01.test, matrix: context, detail)
However, if three additional indices where added that contained columns b, c, and d as their left-most columns, then the OR-clause optimization might apply. (source: optoverview.html, matrix: context, detail)
Autocommit mode is re-enabled by a COMMIT or ROLLBACK. (source: c3ref/get_autocommit.html, matrix: context, detail)
(source: syntax/drop-index-stmt.html, matrix: context, detail)
The sqlite3_normalized_sql(P) interface returns a pointer to a UTF-8 string containing the normalized SQL text of prepared statement P. (source: c3ref/expanded_sql.html, matrix: context, detail)
Function sqlite3_backup_step(B,N) will copy up to N pages between the source and destination databases specified by sqlite3_backup object B. (source: c3ref/backup_finish.html, checked-by: th3/req1/backup03.test, matrix: context, detail)
Queries that contain a single MIN() or MAX() aggregate function whose argument is the left-most column of an index might be satisfied by doing a single index lookup rather than by scanning the entire table. (source: optoverview.html, matrix: context, detail)
(source: syntax/cte-table-name.html, matrix: context, detail)
FOR EACH ROW implies that the SQL statements specified in the trigger may be executed (depending on the WHEN clause) for each database row being inserted, updated or deleted by the statement causing the trigger to fire. (source: lang_createtrigger.html, matrix: context, detail)
The preupdate hook is disabled by invoking sqlite3_preupdate_hook() with a NULL pointer as the second parameter. (source: c3ref/preupdate_count.html, matrix: context, detail)
If the second parameter (zDbName) does not match the name of any open database file, then SQLITE_ERROR is returned. (source: c3ref/file_control.html, matrix: context, detail)
The data_store_directory pragma may modify this variable and cause it to point to memory obtained from sqlite3_malloc. (source: c3ref/data_directory.html, matrix: context, detail)
Unlike normal SQLite columns, an integer primary key or rowid column must contain integer values. Integer primary key or rowid columns are not able to hold floating point values, strings, BLOBs, or NULLs. (source: lang_createtable.html, checked-by: tcl/e_createtable.test, matrix: context, detail)
The sqlite_stat4.idx column holds name of the index that the row describes, or in the case of an sqlite_stat4 entry for a WITHOUT ROWID table, the name of the table itself. (source: fileformat2.html, matrix: context, detail)
Triggers are automatically dropped when the table that they are associated with (the table-name table) is dropped. (source: lang_createtrigger.html, matrix: context, detail)
However if the phrase "WITHOUT ROWID" is added to the end of a CREATE TABLE statement, then the special "rowid" column is omitted. (source: withoutrowid.html, checked-by: tcl/without_rowid5.test, th3/cov1/withoutrowid01.test, matrix: context, detail)
sqlite> EXPLAIN QUERY PLAN SELECT a, b FROM t1 WHERE a=1; QUERY PLAN `--SCAN TABLE t1 (source: eqp.html, matrix: context, detail)
A "CREATE TABLE ... AS SELECT" statement creates and populates a database table based on the results of a SELECT statement. (source: lang_createtable.html, checked-by: tcl/e_createtable.test, matrix: context, detail)
If the value of expr is NULL, then the result of the CAST expression is also NULL. (source: lang_expr.html, checked-by: tcl/e_expr.test, th3/cov1/cast01.test, matrix: context, detail)
The RENAME TO syntax changes the name of table-name to new-table-name. (source: lang_altertable.html, checked-by: th3/req1/altertable01.test, matrix: context, detail)
The time string is followed by zero or more modifiers. (source: lang_datefunc.html, checked-by: th3/req1/date01.test, matrix: context, detail)
When three or more simple SELECTs are connected into a compound SELECT, they group from left to right. In other words, if "A", "B" and "C" are all simple SELECT statements, (A op B op C) is processed as ((A op B) op C). (source: lang_select.html, checked-by: tcl/e_select.test, matrix: context, detail)
There can be an arbitrary number of sqlite_stat3 entries per index. (source: fileformat2.html, matrix: context, detail)
SELECT statements may be optionally preceded by a single WITH clause that defines one or more common table expressions for use within the SELECT statement. (source: lang_select.html, checked-by: th3/cov1/with01.test, matrix: context, detail)
At least szOsFile bytes of memory are allocated by SQLite to hold the sqlite3_file structure passed as the third argument to xOpen. (source: c3ref/vfs.html, checked-by: th3/th3testvfs.c, matrix: context, detail)
The built-in date and time functions of SQLite are a special case. These functions are usually considered deterministic. However, if these functions use the string "now" as the date, or if they use the localtime modifier or the utc modifier, then they are considered non-deterministic. (source: deterministic.html, matrix: context, detail)
No affinity transformations are applied to any values when comparing rows as part of a compound SELECT. (source: lang_select.html, checked-by: tcl/e_select.test, matrix: context, detail)
Comments are not SQL commands, but can occur within the text of SQL queries passed to sqlite3_prepare_v2() and related interfaces. (source: lang_comment.html, checked-by: th3/req1/comment01.test, matrix: context, detail)
If an immediate foreign key constraint is violated, the DROP TABLE statement fails and the table is not dropped. (source: foreignkeys.html, checked-by: tcl/e_fkey.test, th3/req1/foreignkeys16.test, th3/req1/foreignkeys22.test, matrix: context, detail)
The fourth argument, pArg, is an application data pointer that is passed through as the first argument to the collating function callback. (source: c3ref/create_collation.html, checked-by: th3/req1/createcoll01.test, matrix: context, detail)
The parent key must be a named column or columns in the parent table, not the rowid. (source: foreignkeys.html, checked-by: th3/req1/foreignkeys03.test, matrix: context, detail)
Subsequent calls to sqlite3_get_auxdata(C,N) return P from the most recent sqlite3_set_auxdata(C,N,P,X) call if the metadata is still valid or NULL if the metadata has been discarded. (source: c3ref/get_auxdata.html, matrix: context, detail)
Before entering a trigger program the value returned by sqlite3_changes() function is saved. After the trigger program has finished, the original value is restored. (source: c3ref/changes.html, checked-by: tcl/e_changes.test, matrix: context, detail)
Each column name or expression can be followed by one of the "ASC" or "DESC" keywords to indicate sort order. (source: lang_createindex.html, checked-by: th3/req1/createidx02.test, matrix: context, detail)
When no indices are available to aid the evaluation of a query, SQLite might create an automatic index that lasts only for the duration of a single SQL statement. (source: optoverview.html, matrix: context, detail)
If a memory allocation fails, then SQLITE_NOMEM is returned. (source: c3ref/complete.html, checked-by: th3/cov1/complete01.test, matrix: context, detail)
If the second argument to SQLITE_DBCONFIG_LOOKASIDE is not a multiple of 8, it is internally rounded down to the next smaller multiple of 8. (source: c3ref/c_dbconfig_defensive.html, checked-by: src/main.c, matrix: context, detail)
If a keyword in single quotes (ex: 'key' or 'glob') is used in a context where an identifier is allowed but where a string literal is not allowed, then the token is understood to be an identifier instead of a string literal. (source: lang_keywords.html, checked-by: th3/req1/keyword01.test, matrix: context, detail)
Checkpoints initiated by this mechanism are PASSIVE. (source: c3ref/wal_autocheckpoint.html, checked-by: tcl/e_walauto.test, matrix: context, detail)
The iRowid field is the rowid (the first of the 3 to 11 columns in the R*Tree) for the element being considered. iRowid is only valid for leaves. (source: rtree.html, matrix: context, detail)
Note that when the right-hand side of a LIKE or GLOB operator is a parameter and the statement is prepared using sqlite3_prepare_v2() or sqlite3_prepare16_v2() then the statement is automatically reparsed and recompiled on the first sqlite3_step() call of each run if the binding to the right-hand side parameter has changed since the previous run. (source: optoverview.html, matrix: context, detail)
For the LIKE operator, if case_sensitive_like mode is enabled then the column must indexed using BINARY collating sequence, or if case_sensitive_like mode is disabled then the column must indexed using built-in NOCASE collating sequence. (source: optoverview.html, checked-by: th3/cov1/where03.test, th3/cov1/where03b.test, matrix: context, detail)
AUTOINCREMENT does not work on WITHOUT ROWID tables. (source: withoutrowid.html, checked-by: tcl/without_rowid5.test, th3/cov1/withoutrowid01.test, matrix: context, detail)
These routines do not parse the SQL statements thus will not detect syntactically incorrect SQL. (source: c3ref/complete.html, checked-by: th3/cov1/complete01.test, matrix: context, detail)
The update hook is not invoked when WITHOUT ROWID tables are modified. (source: c3ref/update_hook.html, checked-by: tcl/hook.test, matrix: context, detail)
Thus, the backup may be performed on a live source database without preventing other database connections from reading or writing to the source database while the backup is underway. (source: c3ref/backup_finish.html, checked-by: th3/req1/backup01.test, matrix: context, detail)
If the most recent call to sqlite3_step(S) for the prepared statement S indicated an error, then sqlite3_reset(S) returns an appropriate error code. (source: c3ref/reset.html, checked-by: th3/th3util.c, matrix: context, detail)
The ON DELETE and ON UPDATE action associated with each foreign key in an SQLite database is one of "NO ACTION", "RESTRICT", "SET NULL", "SET DEFAULT" or "CASCADE". (source: foreignkeys.html, checked-by: src/parse.y, tcl/e_fkey.test, th3/req1/foreignkeys16.test, matrix: context, detail)
When the EXPLAIN keyword appears by itself it causes the statement to behave as a query that returns the sequence of virtual machine instructions it would have used to execute the command had the EXPLAIN keyword not been present. (source: lang_explain.html, checked-by: th3/cov1/vdbeaux01.test, matrix: context, detail)
The first parameter, szPage, is the size in bytes of the pages that must be allocated by the cache. (source: c3ref/pcache_methods2.html, checked-by: th3/th3pcache.c, matrix: context, detail)
Terms of the ORDER BY clause that is part of a SELECT statement may be assigned a collating sequence using the COLLATE operator, in which case the specified collating function is used for sorting. (source: datatype3.html, checked-by: th3/req1/datatype3_10.test, matrix: context, detail)
SQLITE_OPEN_READONLY The database is opened in read-only mode. If the database does not already exist, an error is returned. (source: c3ref/open.html, matrix: context, detail)
The SQLITE_UTF16 and SQLITE_UTF16_ALIGNED values for eTextRep force strings to be UTF16 with native byte order. (source: c3ref/create_collation.html, checked-by: th3/req1/createcoll01.test, matrix: context, detail)
For the purposes of the DEFAULT clause, an expression is considered constant if it contains no sub-queries, column or table references, bound parameters, or string literals enclosed in double-quotes instead of single-quotes. (source: lang_createtable.html, checked-by: tcl/e_createtable.test, matrix: context, detail)
For non-TEMP triggers, the table to be modified or queried must exist in the same database as the table or view to which the trigger is attached. (source: lang_createtrigger.html, matrix: context, detail)
The third column is the number of pages in the write-ahead log file that have been successfully moved back into the database file at the conclusion of the checkpoint. (source: pragma.html, matrix: context, detail)
Module names must be registered before creating a new virtual table using the module and before using a preexisting virtual table for the module. (source: c3ref/create_module.html, matrix: context, detail)
A question mark followed by a number NNN holds a spot for the NNN-th parameter. NNN must be between 1 and SQLITE_MAX_VARIABLE_NUMBER. (source: lang_expr.html, checked-by: tcl/e_expr.test, matrix: context, detail)
If no database is specified as part of the object reference, then SQLite searches the main, temp and all attached databases for an object with a matching name. The temp database is searched first, followed by the main database, followed all attached databases in the order that they were attached. The reference resolves to the first match found. (source: lang_naming.html, checked-by: tcl/e_resolve.test, matrix: context, detail)
The subquery does not use OFFSET. (source: optoverview.html, matrix: context, detail)
The following table summarizes the interaction of the SQLITE_TEMP_STORE preprocessor macro and the temp_store pragma: SQLITE_TEMP_STORE PRAGMAtemp_store Storage used forTEMP tables and indices 0 any file 1 0 file 1 1 file 1 2 memory 2 0 memory 2 1 file 2 2 memory 3 any memory (source: pragma.html, matrix: context, detail)
The sqlite_stat4.nEq column holds a list of N integers where the K-th integer is the approximate number of entries in the index whose left-most K columns exactly match the K left-most columns of the sample. (source: fileformat2.html, matrix: context, detail)
There may be at most one unlock-notify callback registered by a blocked connection. If sqlite3_unlock_notify() is called when the blocked connection already has a registered unlock-notify callback, then the new callback replaces the old. (source: c3ref/unlock_notify.html, matrix: context, detail)
In SQLite, if any of the child key columns (in this case songartist and songalbum) are NULL, then there is no requirement for a corresponding row in the parent table. (source: foreignkeys.html, checked-by: tcl/e_fkey.test, th3/req1/foreignkeys11.test, matrix: context, detail)
A question mark that is not followed by a number creates a parameter with a number one greater than the largest parameter number already assigned. (source: lang_expr.html, checked-by: tcl/e_expr.test, matrix: context, detail)
The REGEXP operator is a special syntax for the regexp() user function. (source: lang_expr.html, checked-by: tcl/e_expr.test, matrix: context, detail)
But special processing applies to the ON and USING clauses of an OUTER join: specifically, the constraints in an ON or USING clause do not apply if the right table of the join is on a null row, but the constraints do apply in the WHERE clause. (source: optoverview.html, matrix: context, detail)
The content allows the text being indexed to be stored in a separate table distinct from the FTS4 table, or even outside of SQLite. (source: fts3.html, matrix: context, detail)
In order to use foreign key constraints in SQLite, the library must be compiled with neither SQLITE_OMIT_FOREIGN_KEY or SQLITE_OMIT_TRIGGER defined. (source: foreignkeys.html, checked-by: tcl/e_fkey.test, th3/req1/foreignkeys05.test, matrix: context, detail)
PRAGMA legacy_file_format; This pragma no longer functions. It has become a no-op. (source: pragma.html, matrix: context, detail)
Otherwise, the SELECT returns the first N rows of its result set only, where N is the value that the LIMIT expression evaluates to. (source: lang_select.html, checked-by: tcl/e_select.test, matrix: context, detail)
In this case, the first expression is used as the OFFSET expression and the second as the LIMIT expression. (source: lang_select.html, checked-by: tcl/e_select.test, matrix: context, detail)
If the required lock still cannot be obtained, then the database is skipped and an attempt made to flush any dirty pages belonging to the next (if any) database. (source: c3ref/db_cacheflush.html, matrix: context, detail)
Thus, for example, the data 2001-03-31 modified by '+1 month' initially yields 2001-04-31, but April only has 30 days so the date is normalized to 2001-05-01. (source: lang_datefunc.html, checked-by: th3/req1/date01.test, matrix: context, detail)
PRAGMA schema.incremental_vacuum(N); PRAGMA schema.incremental_vacuum; The incremental_vacuum pragma causes up to N pages to be removed from the freelist. (source: pragma.html, checked-by: th3/req1/pragma21.test, matrix: context, detail)
Foreign key DDL errors are reported regardless of whether or not foreign key constraints are enabled when the table is created. (source: foreignkeys.html, checked-by: tcl/e_fkey.test, th3/req1/foreignkeys08.test, matrix: context, detail)
However, if the "IF NOT EXISTS" clause is specified as part of the CREATE TABLE statement and a table or view of the same name already exists, the CREATE TABLE command simply has no effect (and no error message is returned). (source: lang_createtable.html, checked-by: tcl/e_createtable.test, matrix: context, detail)
The algorithm specified in the OR clause of an INSERT or UPDATE overrides any algorithm specified in a CREATE TABLE. (source: lang_conflict.html, checked-by: th3/req1/conflict04.test, matrix: context, detail)
All indices and triggers associated with the table are also deleted. (source: lang_droptable.html, checked-by: th3/req1/droptable01.test, matrix: context, detail)
The left-most column is column 0 for these routines. (source: c3ref/column_database_name.html, matrix: context, detail)
When casting to INTEGER, if the text looks like a floating point value with an exponent, the exponent will be ignored because it is no part of the integer prefix. (source: lang_expr.html, checked-by: tcl/cast.test, matrix: context, detail)
If Y is negative then the first character of the substring is found by counting from the right rather than the left. (source: lang_corefunc.html, checked-by: th3/cov1/func02.test, matrix: context, detail)
The optimizer automatically inverts terms of the form "expr OP column" and makes other simplifications to the WHERE clause in an attempt to get as many WHERE clause terms into the form shown above as possible. (source: c3ref/index_info.html, matrix: context, detail)
The query string is optional. (source: uri.html, matrix: context, detail)
If the blob handle being closed was opened for read-write access, and if the database is in auto-commit mode and there are no other open read-write blob handles or active write statements, the current transaction is committed. (source: c3ref/blob_close.html, checked-by: tcl/e_blobclose.test, matrix: context, detail)
SQLITE_OPEN_PRIVATECACHE The database is opened shared cache disabled, overriding the default shared cache setting provided by sqlite3_enable_shared_cache(). (source: c3ref/open.html, matrix: context, detail)
If the CHECK expression evaluates to NULL, or any other non-zero value, it is not a constraint violation. (source: lang_createtable.html, checked-by: tcl/e_createtable.test, matrix: context, detail)
Column zColumn is part of an index, PRIMARY KEY or UNIQUE constraint and the blob is being opened for read/write access (source: c3ref/blob_open.html, checked-by: tcl/e_blobopen.test, th3/cov1/vdbeblob01.test, matrix: context, detail)
The rank of the column within the index. (0 means left-most.) (source: pragma.html, checked-by: tcl/pragma.test, th3/req1/pragma15.test, matrix: context, detail)
(source: syntax/create-table-stmt.html, matrix: context, detail)
SQLite automatically increments the schema-version whenever the schema changes. (source: pragma.html, checked-by: src/build.c, th3/req1/pragma28.test, matrix: context, detail)
The default mode is for LIKE comparisons to be insensitive to differences of case for latin1 characters. (source: optoverview.html, checked-by: th3/cov1/pragma02.test, th3/cov1/where03.test, th3/cov1/where03b.test, matrix: context, detail)
The legacy_file_format pragma can be used to cause SQLite to create new database files using format 1. (source: fileformat2.html, matrix: context, detail)
PRAGMA automatic_index; PRAGMA automatic_index = boolean; Query, set, or clear the automatic indexing capability. (source: pragma.html, checked-by: tcl/autoindex1.test, th3/req1/pragma08.test, matrix: context, detail)
The count(X) function returns a count of the number of times that X is not NULL in a group. (source: lang_aggfunc.html, checked-by: th3/req1/aggfunc01.test, matrix: context, detail)
The sqlite3_extended_errcode() interface is the same except that it always returns the extended result code even when extended result codes are disabled. (source: c3ref/errcode.html, matrix: context, detail)
The sqlite3_sql(P) interface returns a pointer to a copy of the UTF-8 SQL text used to create prepared statement P if P was created by sqlite3_prepare_v2(), sqlite3_prepare_v3(), sqlite3_prepare16_v2(), or sqlite3_prepare16_v3(). (source: c3ref/expanded_sql.html, checked-by: th3/req1/sql01.test, th3/th3util.c, matrix: context, detail)
The sqlite3_result_error_code() function changes the error code returned by SQLite as a result of an error in a function. (source: c3ref/result_blob.html, checked-by: th3/req1/result01.test, matrix: context, detail)
If the callback pointer to sqlite3_exec() is NULL, then no callback is ever invoked and result rows are ignored. (source: c3ref/exec.html, checked-by: th3/req1/exec01.test, matrix: context, detail)
The sqlite3_release_memory() routine is a no-op returning zero if SQLite is not compiled with SQLITE_ENABLE_MEMORY_MANAGEMENT. (source: c3ref/release_memory.html, checked-by: src/malloc.c, th3/req1/releasemem01.test, matrix: context, detail)
Any leading spaces in the TEXT value when converting from TEXT to INTEGER are ignored. (source: lang_expr.html, checked-by: tcl/e_expr.test, th3/cov1/cast01.test, matrix: context, detail)
The sqlite3_vsnprintf() routine is a varargs version of sqlite3_snprintf(). (source: c3ref/mprintf.html, checked-by: th3/req1/malloc01.test, matrix: context, detail)
The first form of this pragma queries the current journaling mode for database. (source: pragma.html, checked-by: th3/req1/pragma23.test, matrix: context, detail)
"1" if the index is a partial index and "0" if not. (source: pragma.html, checked-by: tcl/index7.test, th3/req1/pragma15.test, matrix: context, detail)
When the destructor callback is invoked, it is passed a single argument which is a copy of the application data pointer which was the fifth parameter to sqlite3_create_function_v2(). (source: c3ref/create_function.html, checked-by: th3/req1/createfunc07.test, matrix: context, detail)
Note that if a non-deterministic function is tagged with SQLITE_DETERMINISTIC and if that function ends up being used in the WHERE clause of a partial index or in an expression index, then when the function begins to return different answers, the associated index may become corrupt. (source: deterministic.html, matrix: context, detail)
The NOCASE collation is like BINARY except that uppercase ASCII characters ('A' through 'Z') are folded into their lowercase equivalents prior to running the comparison. Only ASCII characters are case-folded. (source: fileformat2.html, matrix: context, detail)
(source: syntax/compound-operator.html, matrix: context, detail)
Nine static mutexes are used by the current version of SQLite. (source: c3ref/mutex_alloc.html, matrix: context, detail)
That ORDER BY clause will apply across all elements of the compound. (source: lang_select.html, checked-by: th3/req1/select02.test, matrix: context, detail)
SQLITE_BUSY is returned in this case. (source: c3ref/wal_checkpoint_v2.html, checked-by: tcl/e_walckpt.test, matrix: context, detail)
By default, the error code is SQLITE_ERROR. (source: c3ref/result_blob.html, checked-by: th3/req1/result01.test, matrix: context, detail)
If an authorizer callback returns SQLITE_IGNORE for an SQLITE_DELETE action code, then the DELETE operation will proceed but the truncate optimization will be bypassed and rows will be deleted one by one. (source: lang_delete.html, matrix: context, detail)
Cache sharing is enabled and disabled for an entire process. (source: c3ref/enable_shared_cache.html, matrix: context, detail)
Or, if the SELECT would return less than M+N rows if it did not have a LIMIT clause, then the first M rows are skipped and the remaining rows (if any) are returned. (source: lang_select.html, checked-by: tcl/e_select.test, matrix: context, detail)
The "PRAGMA cache_spill=N" form of this pragma sets a minimum cache size threshold required for spilling to occur. (source: pragma.html, checked-by: tcl/pragma2.test, matrix: context, detail)
When a prepared statement runs, it first checks the schema cookie to ensure the value is the same as when the statement was prepared and if the schema cookie has changed, the statement either automatically reprepares and reruns or it aborts with an SQLITE_SCHEMA error. (source: fileformat2.html, matrix: context, detail)
The open attempt fails if NAME is not the name of a VFS that is built into SQLite or that has been previously registered using sqlite3_vfs_register(). (source: uri.html, matrix: context, detail)
SQLite will also attempt to use indices to help satisfy GROUP BY clauses and the DISTINCT keyword. (source: optoverview.html, matrix: context, detail)
The case_sensitive_like pragma installs a new application-defined LIKE function that is either case sensitive or insensitive depending on the value of the case_sensitive_like pragma. (source: pragma.html, checked-by: th3/req1/pragma10.test, matrix: context, detail)
If the xDelUser variable is set to a non-NULL value, then after the query has finished running SQLite automatically invokes it with the value of the pUser variable as the only argument. (source: rtree.html, matrix: context, detail)
If a single column-name appears more than once in the list of assignment expressions, all but the rightmost occurrence is ignored. (source: lang_update.html, checked-by: tcl/e_update.test, matrix: context, detail)
The only difference between the following two CASE expressions is that the x expression is evaluated exactly once in the first example but might be evaluated multiple times in the second: CASE x WHEN w1 THEN r1 WHEN w2 THEN r2 ELSE r3 END CASE WHEN x=w1 THEN r1 WHEN x=w2 THEN r2 ELSE r3 END (source: lang_expr.html, checked-by: tcl/e_expr.test, matrix: context, detail)
Unless SQLITE_MISUSE is returned, this function sets the database connection error code and message accessible via sqlite3_errcode() and sqlite3_errmsg() and related functions. (source: c3ref/blob_write.html, checked-by: tcl/e_blobwrite.test, matrix: context, detail)
The DESC keyword is ignored in indexes for formats 1, 2, and 3. (source: fileformat2.html, checked-by: th3/req1/fileformat01.test, matrix: context, detail)
Let X be U-35. If the payload size P is less than or equal to X then the entire payload is stored on the b-tree leaf page. (source: fileformat2.html, matrix: context, detail)
Values stored in sqlite3_value objects can be integers, floating point values, strings, BLOBs, or NULL. (source: c3ref/value.html, checked-by: th3/req1/value01.test, matrix: context, detail)
The xCreate and xConnect methods of a virtual table module call this interface to declare the format (the names and datatypes of the columns) of the virtual tables they implement. (source: c3ref/declare_vtab.html, checked-by: th3/req1/vtab01.test, matrix: context, detail)
The 'now' argument to date and time functions always returns exactly the same value for multiple invocations within the same sqlite3_step() call. (source: lang_datefunc.html, checked-by: tcl/date.test, th3/cov1/date4.test, matrix: context, detail)
The first argument to the callback is a copy of the third argument to sqlite3_update_hook(). (source: c3ref/update_hook.html, checked-by: th3/cov1/main15.test, matrix: context, detail)
The INDEXED BY and NOT INDEXED clauses are not supported for UPDATE and DELETE statements. (source: lang_createtrigger.html, matrix: context, detail)
SQLITE_CONFIG_WIN32_HEAPSIZE takes a 32-bit unsigned integer value that specifies the maximum size of the created heap. (source: c3ref/c_config_covering_index_scan.html, checked-by: src/main.c, matrix: context, detail)
The names returned are the original un-aliased names of the database, table, and column. (source: c3ref/column_database_name.html, matrix: context, detail)
The sole argument is a pointer to a constant UTF8 string which will become the new schema name in place of "main". (source: c3ref/c_dbconfig_defensive.html, checked-by: th3/cov1/maindbname01.test, matrix: context, detail)
If the sqlite_sequence.seq field of an AUTOINCREMENT table is already at the largest integer value (9223372036854775807) then attempts to add new rows to that table with an automatically generated integer primary will fail with an SQLITE_FULL error. (source: fileformat2.html, matrix: context, detail)
If the main database is ":memory:" or if the journal_mode is WAL, then transactions continue to be atomic within each individual database file. But if the host computer crashes in the middle of a COMMIT where two or more database files are updated, some of those files might get the changes where others might not. (source: lang_attach.html, checked-by: th3/req1/attach02.test, matrix: context, detail)
The maximum allowed mmap size will be silently truncated if necessary so that it does not exceed the compile-time maximum mmap size set by the SQLITE_MAX_MMAP_SIZE compile-time option. (source: c3ref/c_config_covering_index_scan.html, checked-by: src/main.c, matrix: context, detail)
If the result is a UTF-8 string, then sqlite3_column_bytes16() converts the string to UTF-16 and then returns the number of bytes. (source: c3ref/column_blob.html, checked-by: th3/req1/column01.test, matrix: context, detail)
If the threading mode is Single-thread or Multi-thread then this routine returns a NULL pointer. (source: c3ref/db_mutex.html, checked-by: th3/req1/dbmutex01.test, matrix: context, detail)
If X is numeric then length(X) returns the length of a string representation of X. (source: lang_corefunc.html, checked-by: th3/cov1/func01.test, matrix: context, detail)
The subquery on the right of an IN or NOT IN operator must be a scalar subquery if the left expression is not a row value expression. (source: lang_expr.html, matrix: context, detail)
The sixth, seventh and eighth parameters passed to the three "sqlite3_create_function*" functions, xFunc, xStep and xFinal, are pointers to C-language functions that implement the SQL function or aggregate. (source: c3ref/create_function.html, checked-by: th3/req1/createfunc03.test, matrix: context, detail)
For a WITHOUT ROWID table, N will be the number of columns in the primary key. (source: fileformat2.html, matrix: context, detail)
The "unixepoch" modifier (11) only works if it immediately follows a timestring in the DDDDDDDDDD format. (source: lang_datefunc.html, checked-by: th3/req1/date01.test, matrix: context, detail)
Shared-cache locks are released when a database connection concludes its current transaction, either by committing it or rolling it back. (source: c3ref/unlock_notify.html, matrix: context, detail)
The pointers returned are valid until a type conversion occurs as described above, or until sqlite3_step() or sqlite3_reset() or sqlite3_finalize() is called. (source: c3ref/column_blob.html, checked-by: th3/req1/column03.test, matrix: context, detail)
If pMem is NULL and N is non-zero, then each database connection does an initial bulk allocation for page cache memory from sqlite3_malloc() sufficient for N cache lines if N is positive or of -1024*N bytes if N is negative, . (source: c3ref/c_config_covering_index_scan.html, matrix: context, detail)
The number of columns in each row returned by the SELECT statement (if any) and the specific values returned have no effect on the results of the EXISTS operator. (source: lang_expr.html, checked-by: tcl/e_expr.test, matrix: context, detail)
If an error occurs while committing the transaction, an error code is returned and the transaction rolled back. (source: c3ref/blob_close.html, checked-by: tcl/e_blobclose.test, matrix: context, detail)
Unless the column is an INTEGER PRIMARY KEY or the table is a WITHOUT ROWID table or the column is declared NOT NULL, SQLite allows NULL values in a PRIMARY KEY column. (source: lang_createtable.html, checked-by: tcl/e_createtable.test, matrix: context, detail)
For example: -- Database schema CREATE TABLE parent(x PRIMARY KEY); CREATE TABLE child(y REFERENCES parent ON UPDATE SET NULL); sqlite> SELECT * FROM parent; x ---- key sqlite> SELECT * FROM child; y ---- key sqlite> -- Since the following UPDATE statement does not actually modify sqlite> -- the parent key value, the ON UPDATE action is not performed and sqlite> -- the child key value is not set to NULL. sqlite> UPDATE parent SET x = 'key'; sqlite> SELECT IFNULL(y, 'null') FROM child; y ---- key sqlite> -- This time, since the UPDATE statement does modify the parent key sqlite> -- value, the ON UPDATE action is performed and the child key is set sqlite> -- to NULL. sqlite> UPDATE parent SET x = 'key2'; sqlite> SELECT IFNULL(y, 'null') FROM child; y ---- null (source: foreignkeys.html, checked-by: tcl/e_fkey.test, th3/req1/foreignkeys20.test, matrix: context, detail)
(source: syntax/create-index-stmt.html, matrix: context, detail)
Unless the flattening optimization is applied, if a subquery appears in the FROM clause of a SELECT statement, SQLite can either run the subquery and stores the results in a temporary table, or it can run the subquery as a co-routine. The following query is an example of the latter. The subquery is run by a co-routine. The outer query blocks whenever it needs another row of input from the subquery. Control switches to the co-routine which produces the desired output row, then control switches back to the main routine which continues processing. sqlite> EXPLAIN QUERY PLAN SELECT count(*) FROM (SELECT max(b) AS x FROM t1 GROUP BY a) GROUP BY x; QUERY PLAN |--CO-ROUTINE 0x20FC3E0 | `--SCAN TABLE t1 USING COVERING INDEX i2 |--SCAN SUBQUERY 0x20FC3E0 `--USE TEMP B-TREE FOR GROUP BY (source: eqp.html, matrix: context, detail)
There is a single row in the sqlite_sequence table for each ordinary table that uses AUTOINCREMENT. (source: fileformat2.html, matrix: context, detail)
The sqlite3_libversion_number() function returns an integer equal to SQLITE_VERSION_NUMBER. (source: c3ref/libversion.html, checked-by: src/main.c, th3/th3main.c, matrix: context, detail)
Format 4 also adds two new boolean record type values (serial types 8 and 9). (source: fileformat2.html, checked-by: th3/req1/fileformat01.test, matrix: context, detail)
The table named in the table_info pragma can also be a view. (source: pragma.html, matrix: context, detail)
A string constant is formed by enclosing the string in single quotes ('). (source: lang_expr.html, checked-by: tcl/e_expr.test, matrix: context, detail)
A call to one of the above APIs creates a new SQL function named by the second parameter (zQueryFunc or zGeom). (source: rtree.html, matrix: context, detail)
The value returned by sqlite3_memory_highwater(1) is the high-water mark prior to the reset. (source: c3ref/memory_highwater.html, matrix: context, detail)
Columns in the result set include the column name, data type, whether or not the column can be NULL, and the default value for the column. (source: pragma.html, checked-by: th3/req1/pragma15.test, matrix: context, detail)
Foreign key constraints are immediate by default. (source: foreignkeys.html, checked-by: tcl/e_fkey.test, th3/req1/foreignkeys12.test, matrix: context, detail)
When the locking_mode pragma specifies a particular database, for example: PRAGMA main.locking_mode=EXCLUSIVE; Then the locking mode applies only to the named database. (source: pragma.html, checked-by: th3/req1/pragma04.test, matrix: context, detail)
An uncorrelated subquery is evaluated only once and the result reused as necessary. (source: lang_expr.html, checked-by: th3/req1/select01.test, matrix: context, detail)
The sqlite3_aggregate_context(C,N) routine returns a NULL pointer when first called if N is less than or equal to zero or if a memory allocate error occurs. (source: c3ref/aggregate_context.html, checked-by: th3/req1/aggcntx01.test, matrix: context, detail)
The BEFORE or AFTER keyword determines when the trigger actions will be executed relative to the insertion, modification or removal of the associated row. (source: lang_createtrigger.html, matrix: context, detail)
The ATTACH DATABASE statement adds another database file to the current database connection. (source: lang_attach.html, checked-by: th3/req1/attach01.test, matrix: context, detail)
Ifnull() must have exactly 2 arguments. (source: lang_corefunc.html, checked-by: th3/cov1/func01.test, matrix: context, detail)
If P>X and K>X then the first M bytes of P are stored on the btree page and the remaining P-M bytes are stored on overflow pages. (source: fileformat2.html, matrix: context, detail)
Registering a NULL function disables the callback. (source: c3ref/commit_hook.html, matrix: context, detail)
The name of the index. (source: pragma.html, checked-by: tcl/pragma.test, th3/req1/pragma15.test, matrix: context, detail)
When SQLite compares two strings, it uses a collating sequence or collating function (two words for the same thing) to determine which string is greater or if the two strings are equal. (source: datatype3.html, checked-by: th3/req1/datatype3_09.test, matrix: context, detail)
The upper(X) function returns a copy of input string X in which all lower-case ASCII characters are converted to their upper-case equivalent. (source: lang_corefunc.html, checked-by: th3/cov1/func04.test, matrix: context, detail)
If pragma integrity_check finds no errors, a single row with the value 'ok' is returned. (source: pragma.html, checked-by: th3/req1/integrityck01.test, matrix: context, detail)
The sqlite3_value_dup(V) interface returns NULL if V is NULL or if a memory allocation fails. (source: c3ref/value_dup.html, matrix: context, detail)
The phrase "VALUES(expr-list)" means the same thing as "SELECT expr-list". (source: lang_select.html, checked-by: th3/cov1/select30.test, th3/req1/select02.test, matrix: context, detail)
C-style comments begin with "/*" and extend up to and including the next "*/" character pair or until the end of input, whichever comes first. (source: lang_comment.html, checked-by: th3/req1/comment01.test, matrix: context, detail)
If N or iOffset is less than zero, SQLITE_ERROR is returned and no data is read. (source: c3ref/blob_read.html, checked-by: th3/cov1/vdbeblob01.test, matrix: context, detail)
The sqlite3_errmsg() or sqlite3_errmsg16() routines can be used to obtain an English language description of the error following a failure of any of the sqlite3_open() routines. (source: c3ref/open.html, matrix: context, detail)
Foreign key DML errors are reported if: The parent table does not exist, or The parent key columns named in the foreign key constraint do not exist, or The parent key columns named in the foreign key constraint are not the primary key of the parent table and are not subject to a unique constraint using collating sequence specified in the CREATE TABLE, or The child table references the primary key of the parent without specifying the primary key columns and the number of primary key columns in the parent do not match the number of child key columns. (source: foreignkeys.html, checked-by: tcl/e_fkey.test, th3/req1/foreignkeys07.test, matrix: context, detail)
The user_version pragma will to get or set the value of the user-version integer at offset 60 in the database header. (source: pragma.html, checked-by: th3/req1/pragma28.test, matrix: context, detail)
Only a single progress handler may be defined at one time per database connection; setting a new progress handler cancels the old one. (source: c3ref/progress_handler.html, checked-by: th3/req1/progress01.test, matrix: context, detail)
Nor is the update hook invoked when rows are deleted using the truncate optimization. (source: c3ref/update_hook.html, checked-by: th3/cov1/main15.test, matrix: context, detail)
The default journal size limit is -1 (no limit). (source: pragma.html, checked-by: th3/req1/pragma26.test, matrix: context, detail)
NOCASE - Similar to binary, except that it uses sqlite3_strnicmp() for the comparison. Hence the 26 upper case characters of ASCII are folded to their lower case equivalents before the comparison is performed. (source: datatype3.html, checked-by: th3/req1/datatype3_09.test, matrix: context, detail)
If URI filename interpretation is enabled, and the filename argument begins with "file:", then the filename is interpreted as a URI. (source: c3ref/open.html, checked-by: tcl/e_uri.test, matrix: context, detail)
However if an ON CONFLICT clause is specified as part of the statement causing the trigger to fire, then conflict handling policy of the outer statement is used instead. (source: lang_createtrigger.html, matrix: context, detail)
This interface is used to retrieve runtime status information about a single database connection. (source: c3ref/db_status.html, checked-by: th3/req1/dbstatus01.test, matrix: context, detail)
For the index above and WHERE clause like this: ... WHERE b IN (1,2,3) AND c NOT NULL AND d='hello' The index is not usable at all because the left-most column of the index (column "a") is not constrained. (source: optoverview.html, matrix: context, detail)
For a command of the form "REINDEX name", a match against collation-name takes precedence over a match against index-name or table-name. (source: lang_reindex.html, checked-by: tcl/e_reindex.test, matrix: context, detail)
The P argument is a pointer to the prepared statement. (source: c3ref/c_trace.html, checked-by: th3/cov1/trace01.test, matrix: context, detail)
If SQLite has not been initialized using sqlite3_initialize() prior to invoking sqlite3_complete16() then sqlite3_initialize() is invoked automatically by sqlite3_complete16(). If that initialization fails, then the return value from sqlite3_complete16() will be non-zero regardless of whether or not the input SQL is complete. (source: c3ref/complete.html, checked-by: th3/cov1/complete01.test, matrix: context, detail)
The sqlite3_mutex_alloc() routine returns NULL if it is unable to allocate the requested mutex. (source: c3ref/mutex_alloc.html, matrix: context, detail)
By default, application-defined SQL functions are considered to be non-deterministic. (source: deterministic.html, matrix: context, detail)
The sqlite3_realloc64(X,N) interfaces works the same as sqlite3_realloc(X,N) except that N is a 64-bit unsigned integer instead of a 32-bit signed integer. (source: c3ref/free.html, checked-by: th3/req1/malloc02.test, matrix: context, detail)
The parent key definitions of foreign key constraints are not checked when a table is created. (source: foreignkeys.html, checked-by: tcl/e_fkey.test, th3/req1/foreignkeys21.test, matrix: context, detail)
Changes made as part of foreign key actions are included in the count, but those made as part of REPLACE constraint resolution are not. (source: c3ref/total_changes.html, checked-by: tcl/e_totalchanges.test, matrix: context, detail)
SQLite implements this interface by calling the xSleep() method of the default sqlite3_vfs object. (source: c3ref/sleep.html, checked-by: th3/req1/sleep01.test, matrix: context, detail)
The sqlite_stat3.nLt holds the approximate number of entries in the index whose left-most column is less than the sample. (source: fileformat2.html, matrix: context, detail)
The second parameter to the preupdate callback is a pointer to the database connection that registered the preupdate hook. (source: c3ref/preupdate_count.html, matrix: context, detail)
If the column-name list is omitted, then the names of the columns in the view are derived from the names of the result-set columns in the select-stmt. (source: lang_createview.html, matrix: context, detail)
PRAGMA schema.page_size; PRAGMA schema.page_size = bytes; Query or set the page size of the database. (source: pragma.html, matrix: context, detail)
The usual INSERT, UPDATE, and DELETE commands work on an R*Tree index just like on regular tables. (source: rtree.html, matrix: context, detail)
The COLLATE operator has a higher precedence (binds more tightly) than any binary operator and any unary prefix operator except "~". (source: lang_expr.html, checked-by: tcl/e_expr.test, matrix: context, detail)
The scalar expressions may refer to columns of the row being updated. (source: lang_update.html, checked-by: tcl/e_update.test, matrix: context, detail)
SQLite does not make a copy of the new main schema name string, so the application must ensure that the argument passed into this DBCONFIG option is unchanged until after the database connection closes. (source: c3ref/c_dbconfig_defensive.html, checked-by: src/main.c, th3/cov1/maindbname01.test, matrix: context, detail)
If a result expression is the special expression "*" then all columns in the input data are substituted for that one expression. (source: lang_select.html, checked-by: tcl/e_select.test, matrix: context, detail)
In that case, the database connection remains in EXCLUSIVE mode as long as the journal mode is WAL; attempts to change the locking mode using "PRAGMA locking_mode=NORMAL;" are no-ops. (source: wal.html, checked-by: tcl/e_wal.test, th3/req1/pragma05.test, matrix: context, detail)
If one or more ON INSERT, ON DELETE or ON UPDATE triggers are defined on a view, then it is not an error to execute an INSERT, DELETE or UPDATE statement on the view, respectively. (source: lang_createtrigger.html, matrix: context, detail)
The sqlite_master.sql is NULL for the internal indexes that are automatically created by UNIQUE or PRIMARY KEY constraints. (source: fileformat2.html, matrix: context, detail)
If the WHERE clause expression evaluates to NULL or to false for some rows of the table, then those rows are omitted from the index. (source: partialindex.html, checked-by: th3/cov1/index01.test, matrix: context, detail)
SQLite will always use the table b-tree key rather than the NULL value when referencing the INTEGER PRIMARY KEY column. (source: fileformat2.html, matrix: context, detail)
SQLITE_STATUS_PAGECACHE_USED This parameter returns the number of pages used out of the pagecache memory allocator that was configured using SQLITE_CONFIG_PAGECACHE. The value returned is in pages, not in bytes. (source: c3ref/c_status_malloc_count.html, matrix: context, detail)
A string might look like a floating-point literal with a decimal point and/or exponent notation but as long as the value can be expressed as an integer, the NUMERIC affinity will convert it into an integer. (source: datatype3.html, checked-by: th3/req1/datatype3_01.test, matrix: context, detail)
If the database connection is associated with unfinalized prepared statements, BLOB handlers, and/or unfinished sqlite3_backup objects then sqlite3_close() will leave the database connection open and return SQLITE_BUSY. (source: c3ref/close.html, checked-by: th3/cov1/main23.test, matrix: context, detail)
The value returned by sqlite3_backup_finish is SQLITE_OK if no sqlite3_backup_step() errors occurred, regardless or whether or not sqlite3_backup_step() completed. (source: c3ref/backup_finish.html, matrix: context, detail)
Transactions can be started manually using the BEGIN command. (source: lang_transaction.html, matrix: context, detail)
The SQLITE_CONFIG_COVERING_INDEX_SCAN option takes a single integer argument which is interpreted as a boolean in order to enable or disable the use of covering indices for full table scans in the query optimizer. (source: c3ref/c_config_covering_index_scan.html, checked-by: src/main.c, matrix: context, detail)
The sqlite3_last_insert_rowid(D) interface usually returns the rowid of the most recent successful INSERT into a rowid table or virtual table on database connection D. (source: c3ref/last_insert_rowid.html, matrix: context, detail)
Attached databases can be vacuumed by appending the appropriate schema-name to the VACUUM statement. (source: lang_vacuum.html, checked-by: tcl/e_vacuum.test, matrix: context, detail)
The arguments can be just about any text as long as it has balanced parentheses. (source: lang_createvtab.html, matrix: context, detail)
"c" if the index was created by a CREATE INDEX statement, "u" if the index was created by a UNIQUE constraint, or "pk" if the index was created by a PRIMARY KEY constraint. (source: pragma.html, checked-by: tcl/pragma.test, th3/req1/pragma15.test, matrix: context, detail)
The sqlite3_snprintf() routine is similar to "snprintf()" from the standard C library. The result is written into the buffer supplied as the second parameter whose size is given by the first parameter. Note that the order of the first two parameters is reversed from snprintf(). (source: c3ref/mprintf.html, checked-by: th3/req1/malloc01.test, matrix: context, detail)
But the next query can not use the partial index: SELECT * FROM tab2 WHERE b=456; -- cannot use partial index (source: partialindex.html, checked-by: th3/cov1/index01.test, matrix: context, detail)
The secure-delete setting for newly attached databases is the setting of the main database at the time the ATTACH command is evaluated. (source: pragma.html, checked-by: th3/cov1/pragma20.test, th3/cov1/pragma21.test, matrix: context, detail)
Note that the name length limit is in UTF-8 bytes, not characters nor UTF-16 bytes. (source: c3ref/create_function.html, checked-by: th3/req1/createfunc01.test, matrix: context, detail)
The PRAGMA wal_checkpoint command can be used to invoke this interface from SQL. (source: c3ref/wal_checkpoint_v2.html, checked-by: tcl/e_walckpt.test, matrix: context, detail)
(source: syntax/savepoint-stmt.html, matrix: context, detail)
Strings with embedded NUL characters cannot be represented as string literals in SQL and hence the returned string literal is truncated prior to the first NUL. (source: lang_corefunc.html, checked-by: th3/cov1/func02.test, matrix: context, detail)
If the sqlite_stat1.idx column is the same as the sqlite_stat1.tbl column, then the table is a WITHOUT ROWID table and the sqlite_stat1.stat field contains information about the index btree that implements the WITHOUT ROWID table. (source: fileformat2.html, matrix: context, detail)
If the STRING or BLOB looks like a real number (if it has a decimal point or an exponent) or if the value is outside the range that can be represented as a 64-bit signed integer, then it converts to REAL. Otherwise the operand converts to INTEGER. (source: datatype3.html, checked-by: th3/req1/datatype3_06.test, matrix: context, detail)
In many pragmas, the argument is a boolean. The boolean can be one of: 1 yes true on0 no false off (source: pragma.html, checked-by: th3/req1/pragma01.test, matrix: context, detail)
On the other hand, the virtual terms themselves never causes tests to be performed on input rows. (source: optoverview.html, matrix: context, detail)
The likely(X) function is short-hand for likelihood(X,0.9375). (source: lang_corefunc.html, checked-by: src/resolve.c, matrix: context, detail)
SQLite guarantees that the zFilename parameter to xOpen is either a NULL pointer or string obtained from xFullPathname() with an optional suffix added. (source: c3ref/vfs.html, checked-by: th3/cov1/pager25.test, th3/th3testvfs.c, matrix: context, detail)
The sqlite3_hard_heap_limit64(N) interface is similar to sqlite3_soft_heap_limit64(N) except that memory allocations will fail when the hard heap limit is reached. (source: c3ref/hard_heap_limit64.html, matrix: context, detail)
(source: syntax/literal-value.html, matrix: context, detail)
By default, every row in SQLite has a special column, usually called the "rowid", that uniquely identifies that row within the table. (source: withoutrowid.html, checked-by: tcl/rowid.test, tcl/without_rowid5.test, th3/cov1/withoutrowid01.test, matrix: context, detail)
A WITHOUT ROWID table uses an index b-tree rather than a table b-tree for storage. (source: fileformat2.html, matrix: context, detail)
The sqlite3_stmt_readonly() interface returns true for BEGIN since BEGIN merely sets internal flags, but the BEGIN IMMEDIATE and BEGIN EXCLUSIVE commands do touch the database and so sqlite3_stmt_readonly() returns false for those commands. (source: c3ref/stmt_readonly.html, checked-by: th3/cov1/vdbeapi14.test, matrix: context, detail)
If the fifth argument has the value SQLITE_TRANSIENT, then SQLite makes its own private copy of the data immediately, before the sqlite3_bind_*() routine returns. (source: c3ref/bind_blob.html, checked-by: th3/req1/bind01.test, matrix: context, detail)
The "NOT INDEXED" clause specifies that no index shall be used when accessing the preceding table, including implied indices create by UNIQUE and PRIMARY KEY constraints. However, the rowid can still be used to look up entries even when "NOT INDEXED" is specified. (source: lang_indexedby.html, checked-by: tcl/indexedby.test, matrix: context, detail)
The two-byte integer at offset 3 gives the number of cells on the page. (source: fileformat2.html, checked-by: src/btree.c, matrix: context, detail)
The ATTACH and DETACH statements also cause sqlite3_stmt_readonly() to return true since, while those statements change the configuration of a database connection, they do not make changes to the content of the database files on disk. (source: c3ref/stmt_readonly.html, checked-by: th3/cov1/vdbeapi14.test, matrix: context, detail)
Nor does REPLACE increment the change counter. (source: lang_conflict.html, checked-by: th3/req1/conflict02.test, matrix: context, detail)
The available modifiers are as follows. NNN days NNN hours NNN minutes NNN.NNNN seconds NNN months NNN years start of month start of year start of day weekday N unixepoch localtime utc (source: lang_datefunc.html, checked-by: th3/req1/date01.test, matrix: context, detail)
Similarly, if URI filenames are not recognized when the database connection is first opened, they will not be recognized by ATTACH. (source: uri.html, matrix: context, detail)
A call to this routine stores N bytes of randomness into buffer P. (source: c3ref/randomness.html, checked-by: th3/cov1/random01.test, matrix: context, detail)
In some pragmas, the schema name is meaningless and is simply ignored. (source: pragma.html, checked-by: th3/req1/pragma01.test, matrix: context, detail)
Note that upon successful completion of an SQLITE_CHECKPOINT_TRUNCATE, the log file will have been truncated to zero bytes and so both *pnLog and *pnCkpt will be set to zero. (source: c3ref/wal_checkpoint_v2.html, checked-by: tcl/e_walckpt.test, th3/req1/checkpoint01.test, matrix: context, detail)
Compute the current unix timestamp. SELECT strftime('%s','now'); (source: lang_datefunc.html, checked-by: th3/req1/date01.test, matrix: context, detail)
All these names are aliases for one another and work equally well in any context. (source: autoinc.html, checked-by: th3/req1/autoinc01.test, matrix: context, detail)
If the DELETE statement has no ORDER BY clause, then all rows that would be deleted in the absence of the LIMIT clause are assembled in an arbitrary order before applying the LIMIT and OFFSET clauses to determine the subset that are actually deleted. (source: lang_delete.html, checked-by: tcl/e_delete.test, matrix: context, detail)
/* Add a table named 't1' to the temp, main and an attached database */ ATTACH 'file.db' AS aux; CREATE TABLE t1(x, y); CREATE TEMP TABLE t1(x, y); CREATE TABLE aux.t1(x, y); DROP TABLE t1; /* Drop table in temp database */ DROP TABLE t1; /* Drop table in main database */ DROP TABLE t1; /* Drop table in aux database */ (source: lang_naming.html, checked-by: tcl/e_resolve.test, matrix: context, detail)
The column may not have a default value of CURRENT_TIME, CURRENT_DATE, CURRENT_TIMESTAMP, or an expression in parentheses. (source: lang_altertable.html, checked-by: th3/req1/altertable01.test, matrix: context, detail)
If the base expression is NULL then the result of the CASE is always the result of evaluating the ELSE expression if it exists, or NULL if it does not. (source: lang_expr.html, checked-by: tcl/e_expr.test, matrix: context, detail)
If an SQL table is created using the "WITHOUT ROWID" clause at the end of its CREATE TABLE statement, then that table is a WITHOUT ROWID table and uses a different on-disk representation. (source: fileformat2.html, matrix: context, detail)
The sqlite3_result_double() interface sets the result from an application-defined function to be a floating point value specified by its 2nd argument. (source: c3ref/result_blob.html, checked-by: th3/req1/result01.test, matrix: context, detail)
The index value returned is suitable for use as the second parameter to sqlite3_bind(). (source: c3ref/bind_parameter_index.html, checked-by: th3/req1/bind03.test, matrix: context, detail)
In a well-formed sqlite_stat3 table, the samples for any single index must appear in the same order that they occur in the index. In other words, if the entry with left-most column S1 is earlier in the index b-tree than the entry with left-most column S2, then in the sqlite_stat3 table, sample S1 must have a smaller rowid than sample S2. (source: fileformat2.html, matrix: context, detail)
Pending write operations always fail with this error when a rollback occurs. (source: rescode.html, matrix: context, detail)
Either modification causes the SQL statement to behave as a query and to return information about how the SQL statement would have operated if the EXPLAIN keyword or phrase had been omitted. (source: lang_explain.html, checked-by: th3/cov1/vdbeaux01.test, matrix: context, detail)
Abs(X) returns NULL if X is NULL. (source: lang_corefunc.html, checked-by: src/func.c, th3/cov1/func01.test, matrix: context, detail)
The size of the reserved region is determined by the one-byte unsigned integer found at an offset of 20 into the database file header. (source: fileformat2.html, checked-by: src/btree.c, matrix: context, detail)
A value of 1 means UTF-8. (source: fileformat2.html, checked-by: th3/req1/fileformat03.test, matrix: context, detail)
The second integer is the approximate number of rows in the index that have the same value in the first column of the index. (source: fileformat2.html, matrix: context, detail)
(source: syntax/join-operator.html, matrix: context, detail)
This interfaces opens a handle to the BLOB located in row iRow, column zColumn, table zTable in database zDb; in other words, the same BLOB that would be selected by: SELECT zColumn FROM zDb.zTable WHERE rowid = iRow; (source: c3ref/blob_open.html, checked-by: tcl/e_blobopen.test, th3/req1/blob01.test, matrix: context, detail)
Use the sqlite3_blob_bytes() interface to determine the size of the opened blob. (source: c3ref/blob_open.html, checked-by: th3/cov1/vdbeblob01.test, matrix: context, detail)
If a COMMIT statement (or the RELEASE of a transaction SAVEPOINT) fails because the database is currently in a state that violates a deferred foreign key constraint and there are currently nested savepoints, the nested savepoints remain open. (source: foreignkeys.html, checked-by: tcl/e_fkey.test, th3/req1/foreignkeys15.test, matrix: context, detail)
The sqlite3_table_column_metadata() interface returns SQLITE_OK and fills in the non-NULL pointers in the final five arguments with appropriate values if the specified column exists. (source: c3ref/table_column_metadata.html, checked-by: th3/cov1/metadata01.test, matrix: context, detail)
For a table or view, the tbl_name column is a copy of the name column. (source: fileformat2.html, matrix: context, detail)
Any %HH escape sequences in the query parameters are resolved prior to being appended to the xOpen filename. (source: uri.html, matrix: context, detail)
The SQLITE_CONFIG_LOG option takes two arguments: a pointer to a function with a call signature of void(*)(void*,int,const char*), and a pointer to void. (source: c3ref/c_config_covering_index_scan.html, checked-by: th3/cov1/log01.test, th3/th3main.c, matrix: context, detail)
The BLOB handle is closed unconditionally. Even if this routine returns an error code, the handle is still closed. (source: c3ref/blob_close.html, checked-by: tcl/e_blobclose.test, matrix: context, detail)
Note that triggers are automatically dropped when the associated table is dropped. (source: lang_droptrigger.html, checked-by: tcl/e_droptrigger.test, matrix: context, detail)
Compute the number of seconds since a particular moment in 2004: SELECT strftime('%s','now') - strftime('%s','2004-01-01 02:34:56'); (source: lang_datefunc.html, checked-by: th3/req1/date01.test, matrix: context, detail)
Once an encoding has been set for a database, it cannot be changed. (source: pragma.html, checked-by: th3/req1/pragma16.test, matrix: context, detail)
It is not possible to ALTER TABLE ADD COLUMN a STORED column. (source: gencol.html, matrix: context, detail)
Value is a big-endian 24-bit twos-complement integer. (source: fileformat2.html, checked-by: src/vdbeaux.c, th3/req1/fileformat02.test, matrix: context, detail)
The sqlite_version() function returns the version string for the SQLite library that is running. (source: lang_corefunc.html, checked-by: th3/req1/func04.test, matrix: context, detail)
The LIMIT clause is used to place an upper bound on the number of rows returned by the entire SELECT statement. (source: lang_select.html, checked-by: th3/req1/select02.test, matrix: context, detail)
The MATCH operator is a special syntax for the match() application-defined function. (source: lang_expr.html, checked-by: tcl/e_expr.test, matrix: context, detail)
The sqlite3_prepare_v2() interface works exactly the same as sqlite3_prepare_v3() with a zero prepFlags parameter. (source: c3ref/prepare.html, checked-by: src/prepare.c, matrix: context, detail)
If UTF16 input text contains invalid unicode characters, then SQLite might change those invalid characters into the unicode replacement character: U+FFFD. (source: c3ref/bind_blob.html, matrix: context, detail)
The difference between the effect of a RESTRICT action and normal foreign key constraint enforcement is that the RESTRICT action processing happens as soon as the field is updated - not at the end of the current statement as it would with an immediate constraint, or at the end of the current transaction as it would with a deferred constraint. (source: foreignkeys.html, checked-by: tcl/e_fkey.test, th3/req1/foreignkeys16.test, matrix: context, detail)
It is an error to use a "*" or "alias.*" expression in any context other than a result expression list. (source: lang_select.html, checked-by: tcl/e_select.test, matrix: context, detail)
If any other error occurs while processing an attached database, processing is abandoned and the error code is returned to the caller immediately. (source: c3ref/wal_checkpoint_v2.html, checked-by: tcl/e_walckpt.test, matrix: context, detail)
The anQueue field is an array of mxLevel+1 unsigned integers that tell the current number of elements in the priority queue at each level. (source: rtree.html, matrix: context, detail)
In partial indexes, only some subset of the rows in the table have corresponding index entries. (source: partialindex.html, checked-by: th3/cov1/index01.test, matrix: context, detail)
In other words, calls to xUnpin() on a cache with bPurgeable set to false will always have the "discard" flag set to true. (source: c3ref/pcache_methods2.html, matrix: context, detail)
The maximum parameter number is set at compile-time by the SQLITE_MAX_VARIABLE_NUMBER macro. (source: lang_expr.html, checked-by: src/main.c, matrix: context, detail)
The sqlite3_wal_autocheckpoint(D,N) is a wrapper around sqlite3_wal_hook() that causes any database on database connection D to automatically checkpoint after committing a transaction if there are N or more frames in the write-ahead log file. (source: c3ref/wal_autocheckpoint.html, checked-by: tcl/e_walauto.test, matrix: context, detail)
In a database with ptrmap pages, the first ptrmap page is page 2. (source: fileformat2.html, matrix: context, detail)
The sqlite3_load_extension() interface returns SQLITE_OK on success and SQLITE_ERROR if something goes wrong. (source: c3ref/load_extension.html, matrix: context, detail)
If zDb is not NULL (or a zero length string) and is not the name of any attached database, SQLITE_ERROR is returned to the caller. (source: c3ref/wal_checkpoint_v2.html, checked-by: tcl/e_walckpt.test, matrix: context, detail)
If no unused ROWID can be found after a reasonable number of attempts, the insert operation fails with an SQLITE_FULL error. (source: autoinc.html, checked-by: src/vdbe.c, th3/cov1/vdbe23.test, matrix: context, detail)
If the callback function to sqlite3_exec() returns non-zero, then sqlite3_exec() will return SQLITE_ABORT. (source: rescode.html, checked-by: src/legacy.c, th3/cov1/legacy01.test, matrix: context, detail)
"SEARCH" indicates that only a subset of the table rows are visited. (source: eqp.html, matrix: context, detail)
If the filename is ":memory:", then a private, temporary in-memory database is created for the connection. (source: c3ref/open.html, checked-by: th3/cov1/sharedcache03.test, matrix: context, detail)
The VFS is required to either truncate or zero the header of the wal-index when the last connection to it closes. (source: fileformat2.html, matrix: context, detail)
Note that the unary *+* operator also removes type affinity from an expression, and in some cases this can cause subtle changes in the meaning of an expression. (source: optoverview.html, matrix: context, detail)
Prior savepoints, even savepoints with matching savepoint-names, are unchanged. (source: lang_savepoint.html, matrix: context, detail)
SQLite attempts to use an index to satisfy the ORDER BY clause of a query when possible. (source: optoverview.html, matrix: context, detail)
Hence explicitly specifying FOR EACH ROW is optional. (source: lang_createtrigger.html, matrix: context, detail)
If the action code is SQLITE_READ and the callback returns SQLITE_IGNORE then the prepared statement statement is constructed to substitute a NULL value in place of the table column that would have been read if SQLITE_OK had been returned. (source: c3ref/set_authorizer.html, checked-by: tcl/auth.test, th3/cov1/auth01.test, matrix: context, detail)
If the name of the table is unique across all attached databases and the main and temp databases, then the schema-name prefix is not required. (source: lang_attach.html, checked-by: th3/req1/attach01.test, matrix: context, detail)
The column from the dataset on the left-hand side of the join-operator is considered to be on the left-hand side of the comparison operator (=) for the purposes of collation sequence and affinity precedence. (source: lang_select.html, checked-by: tcl/e_select.test, matrix: context, detail)
(source: syntax/reindex-stmt.html, matrix: context, detail)
The number of system calls for filesystem operations is reduced, possibly resulting in a small performance increase. (source: pragma.html, checked-by: th3/req1/pragma05.test, matrix: context, detail)
If there is an ON clause then the ON expression is evaluated for each row of the cartesian product as a boolean expression. Only rows for which the expression evaluates to true are included from the dataset. (source: lang_select.html, checked-by: tcl/e_select.test, tcl/e_select2.test, matrix: context, detail)
As with all other SQLite APIs, those whose names end with "16" return UTF-16 encoded strings and the other functions return UTF-8. (source: c3ref/column_database_name.html, matrix: context, detail)
If a table contains a column of type INTEGER PRIMARY KEY, then that column becomes an alias for the ROWID. (source: autoinc.html, checked-by: th3/req1/autoinc01.test, matrix: context, detail)
when sqlite3_set_auxdata() is invoked again on the same parameter (source: c3ref/get_auxdata.html, matrix: context, detail)
A call to xRelease(X,M) invalidates all savepoints where N>=M. (source: vtab.html, matrix: context, detail)
An UPDATE statement is used to modify a subset of the values stored in zero or more rows of the database table identified by the qualified-table-name specified as part of the UPDATE statement. (source: lang_update.html, checked-by: tcl/e_update.test, matrix: context, detail)
The quote(X) function returns the text of an SQL literal which is the value of its argument suitable for inclusion into an SQL statement. (source: lang_corefunc.html, checked-by: th3/cov1/func02.test, matrix: context, detail)
If SQLite determines that invoking the busy handler could result in a deadlock, it will go ahead and return SQLITE_BUSY to the application instead of invoking the busy handler. (source: c3ref/busy_handler.html, checked-by: th3/req1/busy01.test, matrix: context, detail)
If the query string is present, then all query parameters are passed through into the xOpen method of the underlying VFS. (source: uri.html, matrix: context, detail)
If an SQLITE_BUSY error is encountered when processing one or more of the attached WAL databases, the operation is still attempted on any remaining attached databases and SQLITE_BUSY is returned at the end. (source: c3ref/wal_checkpoint_v2.html, checked-by: tcl/e_walckpt.test, matrix: context, detail)
The first parameter to the authorizer callback is a copy of the third parameter to the sqlite3_set_authorizer() interface. (source: c3ref/set_authorizer.html, checked-by: src/tclsqlite.c, th3/th3util.c, matrix: context, detail)
If the value N is out of range or if the N-th parameter is nameless, then NULL is returned. (source: c3ref/bind_parameter_name.html, checked-by: th3/req1/bind04.test, matrix: context, detail)
In a CASE with a base expression, the base expression is evaluated just once and the result is compared against the evaluation of each WHEN expression from left to right. (source: lang_expr.html, checked-by: tcl/e_expr.test, matrix: context, detail)
The "int" variable pointed to by the V parameter will be set to the "select-id" for the X-th loop. (source: c3ref/c_scanstat_est.html, matrix: context, detail)
If the right-most element of a compound SELECT is a VALUES clause, then no ORDER BY clause is allowed on that statement. (source: lang_select.html, checked-by: th3/req1/select02.test, matrix: context, detail)
The immutable query parameter is a boolean that signals to SQLite that the underlying database file is held on read-only media and cannot be modified, even by another process with elevated privileges. (source: uri.html, matrix: context, detail)
The default setting is determined by the SQLITE_ALLOW_COVERING_INDEX_SCAN compile-time option, or is "on" if that compile-time option is omitted. (source: c3ref/c_config_covering_index_scan.html, checked-by: src/global.c, matrix: context, detail)
The "utc" modifier is the opposite of "localtime". "utc" assumes that the string to its left is in the local timezone and adjusts that string to be in UTC. (source: lang_datefunc.html, checked-by: th3/req1/date01.test, matrix: context, detail)
Operators IS and IS NOT have the same precedence as =. (source: lang_expr.html, checked-by: tcl/e_expr.test, matrix: context, detail)
If the SQLITE_FCNTL_PRAGMA file control returns SQLITE_NOTFOUND, then normal PRAGMA processing continues. (source: c3ref/c_fcntl_begin_atomic_write.html, checked-by: th3/cov1/pragma24.test, matrix: context, detail)
URI filenames can be enabled or disabled using the SQLITE_USE_URI=1 or SQLITE_USE_URI=0 compile-time options. (source: uri.html, checked-by: src/global.c, matrix: context, detail)
A frame is considered valid if and only if the following conditions are true: The salt-1 and salt-2 values in the frame-header match salt values in the wal-header The checksum values in the final 8 bytes of the frame-header exactly match the checksum computed consecutively on the first 24 bytes of the WAL header and the first 8 bytes and the content of all frames up to and including the current frame. (source: fileformat2.html, matrix: context, detail)
When a SAVEPOINT is the outer-most savepoint and it is not within a BEGIN...COMMIT then the behavior is the same as BEGIN DEFERRED TRANSACTION. (source: lang_savepoint.html, matrix: context, detail)
Application code is allowed to modify the sqlite_sequence table, to add new rows, to delete rows, or to modify existing rows. (source: fileformat2.html, matrix: context, detail)
The "const char *" variable pointed to by the V parameter will be set to a zero-terminated UTF-8 string containing the name of the index or table used for the X-th loop. (source: c3ref/c_scanstat_est.html, checked-by: th3/cov1/status02.test, matrix: context, detail)
The total_changes() function returns the number of row changes caused by INSERT, UPDATE or DELETE statements since the current database connection was opened. (source: lang_corefunc.html, checked-by: th3/cov1/func05.test, matrix: context, detail)
Note that a declared type of "FLOATING POINT" would give INTEGER affinity, not REAL affinity, due to the "INT" at the end of "POINT". (source: datatype3.html, checked-by: th3/req1/datatype3_02.test, matrix: context, detail)
If the optional ESCAPE clause is present, then the like() function is invoked with three arguments. (source: lang_corefunc.html, checked-by: th3/req1/func02.test, matrix: context, detail)
NOCASE does not implement a general purpose unicode caseless comparison. (source: fileformat2.html, matrix: context, detail)
The szExtra parameter will a number less than 250. (source: c3ref/pcache_methods2.html, matrix: context, detail)
The result of the CASE expression is the evaluation of the THEN expression that corresponds to the first WHEN expression that evaluates to true. (source: lang_expr.html, checked-by: tcl/e_expr.test, matrix: context, detail)
The COLLATE clause of the column definition is used to define alternative collating functions for a column. (source: datatype3.html, checked-by: th3/req1/datatype3_09.test, matrix: context, detail)
The second form attempts to modify the maximum page count. (source: pragma.html, checked-by: th3/req1/pragma12.test, matrix: context, detail)
The sqlite3_db_cacheflush(D) interface flushes caches for all schemas - "main", "temp", and any attached databases. (source: c3ref/db_cacheflush.html, matrix: context, detail)
If M is -1 in the initial journal header, then the number of page records that follow is computed by computing how many page records will fit in the available space of the remainder of the journal file. (source: fileformat2.html, matrix: context, detail)
The SQLITE_OMIT_TRACE compile-time option causes sqlite3_expanded_sql() to always return NULL. (source: c3ref/expanded_sql.html, checked-by: th3/req1/sql01.test, matrix: context, detail)
The query above will use the po_parent index to help find the answer, since the po_parent index contains entries for all rows of interest. (source: partialindex.html, checked-by: th3/cov1/index01.test, matrix: context, detail)
The sqlite3_str_errcode(X) method returns SQLITE_NOMEM following any out-of-memory error, or SQLITE_TOOBIG if the size of the dynamic string exceeds SQLITE_MAX_LENGTH, or SQLITE_OK if there have been no errors. (source: c3ref/str_errcode.html, matrix: context, detail)
The third argument to xCreate(), bPurgeable, is true if the cache being created will be used to cache database pages of a file stored on disk, or false if it is used for an in-memory database. (source: c3ref/pcache_methods2.html, matrix: context, detail)
The sqlite3_value object returned by sqlite3_column_value() is unprotected. (source: c3ref/value.html, checked-by: th3/req1/value01.test, matrix: context, detail)
The s1 value spans all 32-bit integer terms of the sequence whereas s0 omits the final term. (source: fileformat2.html, matrix: context, detail)
The SQLITE_CONFIG_PCACHE_HDRSZ option takes a single parameter which is a pointer to an integer and writes into that integer the number of extra bytes per page required for each page in SQLITE_CONFIG_PAGECACHE. (source: c3ref/c_config_covering_index_scan.html, checked-by: src/main.c, th3/cov1/main42.test, matrix: context, detail)
(source: syntax/over-clause.html, matrix: context, detail)
On a cache where bPurgeable is false, SQLite will never invoke xUnpin() except to deliberately delete a page. (source: c3ref/pcache_methods2.html, checked-by: th3/th3pcache.c, matrix: context, detail)
"b=6" will match to "6=b" as long as "b=6" is on the index and "6=b" is in the query. (source: partialindex.html, checked-by: th3/cov1/index01.test, matrix: context, detail)
The sqlite3_mutex_leave() routine exits a mutex that was previously entered by the same thread. (source: c3ref/mutex_alloc.html, matrix: context, detail)
The expression of a generated column may not directly reference the ROWID, though it can reference the INTEGER PRIMARY KEY column, which is often the same thing. (source: gencol.html, matrix: context, detail)
Each entry in the index b-tree corresponds to a single row in the associated SQL table. (source: fileformat2.html, matrix: context, detail)
If no matching expression can be found in the result columns of any constituent SELECT, it is an error. (source: lang_select.html, checked-by: tcl/e_select.test, matrix: context, detail)
The order of values in the record is the same as the order of columns in the SQL table definition. (source: fileformat2.html, matrix: context, detail)
The subquery does not use LIMIT or the outer query does not use aggregates. (source: optoverview.html, matrix: context, detail)
These routines open an SQLite database file as specified by the filename argument. (source: c3ref/open.html, matrix: context, detail)
In a compound SELECT, all the constituent SELECTs must return the same number of result columns. (source: lang_select.html, checked-by: tcl/e_select.test, matrix: context, detail)
An application-defined function is permitted to call other SQLite interfaces. (source: c3ref/create_function.html, checked-by: th3/req1/createfunc06.test, matrix: context, detail)
The infix GLOB operator is implemented by calling the function glob(Y,X) and can be modified by overriding that function. (source: lang_expr.html, checked-by: tcl/e_expr.test, matrix: context, detail)
The filename argument sqlite3_open16() is converted from UTF16 native byte order into UTF8 prior to processing. (source: uri.html, matrix: context, detail)
The return value from sqlite3_column_blob() for a zero-length BLOB is a NULL pointer. (source: c3ref/column_blob.html, checked-by: th3/req1/column01.test, matrix: context, detail)
The first time the database is written, an exclusive lock is obtained and held. (source: pragma.html, checked-by: th3/req1/pragma04.test, matrix: context, detail)
In other words, the first column is 0 if the equivalent call to sqlite3_wal_checkpoint_v2() would have returned SQLITE_OK or 1 if the equivalent call would have returned SQLITE_BUSY. (source: pragma.html, matrix: context, detail)
The progress handler is also disabled by setting N to a value less than 1. (source: c3ref/progress_handler.html, checked-by: th3/req1/progress01.test, matrix: context, detail)
The sqlite_compileoption_used() SQL function is a wrapper around the sqlite3_compileoption_used() C/C++ function. (source: lang_corefunc.html, checked-by: src/func.c, th3/cov1/ctime02.test, matrix: context, detail)
The SQLITE_FCNTL_OVERWRITE opcode is invoked by SQLite after opening a write transaction to indicate that, unless it is rolled back for some reason, the entire database file will be overwritten by the current transaction. (source: c3ref/c_fcntl_begin_atomic_write.html, matrix: context, detail)
This pragma sets or queries the database connection locking-mode. (source: pragma.html, checked-by: th3/req1/pragma04.test, matrix: context, detail)
When the WHERE is omitted from a DELETE statement and the table being deleted has no triggers, SQLite uses an optimization to erase the entire table content without having to visit each row of the table individually. (source: lang_delete.html, matrix: context, detail)
Both GLOB and LIKE may be preceded by the NOT keyword to invert the sense of the test. (source: lang_expr.html, checked-by: tcl/e_expr.test, matrix: context, detail)
A USING or ON clause may not be added to a join that specifies the NATURAL keyword. (source: lang_select.html, checked-by: tcl/e_select.test, matrix: context, detail)
Deferred foreign key constraints are not checked until the transaction tries to COMMIT. (source: foreignkeys.html, checked-by: tcl/e_fkey.test, th3/req1/foreignkeys12.test, th3/req1/foreignkeys14.test, matrix: context, detail)
The sqlite3_commit_hook(D,C,P) and sqlite3_rollback_hook(D,C,P) functions return the P argument from the previous call of the same function on the same database connection D, or NULL for the first call for each function on D. (source: c3ref/commit_hook.html, matrix: context, detail)
It is not possible to change the text encoding of a database after it has been created and any attempt to do so will be silently ignored. (source: pragma.html, checked-by: th3/req1/pragma16.test, matrix: context, detail)
PRAGMA schema.journal_mode; PRAGMA schema.journal_mode = DELETE | TRUNCATE | PERSIST | MEMORY | WAL | OFF This pragma queries or sets the journal mode for databases associated with the current database connection. (source: pragma.html, checked-by: th3/req1/pragma23.test, matrix: context, detail)
In this case the new table is created in the named database. (source: lang_createtable.html, checked-by: tcl/e_createtable.test, matrix: context, detail)
If the transaction has already been rolled back automatically by the error response, then the ROLLBACK command will fail with an error, but no harm is caused by this. (source: lang_transaction.html, matrix: context, detail)
A comma (",") is used as the separator if Y is omitted. (source: lang_aggfunc.html, checked-by: th3/req1/aggfunc01.test, matrix: context, detail)
The sqlite3_int64 variable pointed to by the V parameter will be set to the total number of rows examined by all iterations of the X-th loop. (source: c3ref/c_scanstat_est.html, checked-by: th3/cov1/status02.test, matrix: context, detail)
Expressions in an index may only refer to columns in the table that is being indexed. (source: lang_createindex.html, matrix: context, detail)
If SQLite is compiled with the SQLITE_ENABLE_UPDATE_DELETE_LIMIT compile-time option, then the syntax of the DELETE statement is extended by the addition of optional ORDER BY and LIMIT clauses: (source: lang_delete.html, checked-by: tcl/e_delete.test, matrix: context, detail)
SQLite ensures that *pzErrMsg is NULL before calling the xEntryPoint(). (source: c3ref/auto_extension.html, checked-by: th3/req1/autoext01.test, matrix: context, detail)
The BETWEEN operator is logically equivalent to a pair of comparisons. "x BETWEEN y AND z" is equivalent to "x>=y AND x<=z" except that with BETWEEN, the x expression is only evaluated once. (source: lang_expr.html, checked-by: tcl/e_expr.test, th3/cov1/rowvalue04.test, matrix: context, detail)
If the FORMAT argument is missing or NULL then the result is NULL. (source: lang_corefunc.html, checked-by: tcl/printf2.test, th3/cov1/printf08.test, matrix: context, detail)
Table zTable is a WITHOUT ROWID table (source: c3ref/blob_open.html, checked-by: tcl/e_blobopen.test, tcl/without_rowid5.test, th3/cov1/vdbeblob01.test, matrix: context, detail)
If the mode option is set to "rw", then the database is opened for read-write (but not create) access, as if SQLITE_OPEN_READWRITE (but not SQLITE_OPEN_CREATE) had been set. (source: c3ref/open.html, checked-by: tcl/e_uri.test, matrix: context, detail)
The dropped table is completely removed from the database schema and the disk file. (source: lang_droptable.html, checked-by: th3/req1/droptable01.test, matrix: context, detail)
(source: syntax/filter-clause.html, matrix: context, detail)
Therefore, auto-vacuuming must be turned on before any tables are created. (source: pragma.html, checked-by: th3/req1/pragma07.test, matrix: context, detail)
The T argument is one of the SQLITE_TRACE constants to indicate why the callback was invoked. (source: c3ref/trace_v2.html, checked-by: th3/cov1/trace01.test, matrix: context, detail)
(source: syntax/recursive-cte.html, matrix: context, detail)
The nolock query parameter is a boolean that disables all calls to the xLock, xUnlock, and xCheckReservedLock methods of the VFS when true. (source: uri.html, matrix: context, detail)
The update hook is not invoked for rows that are deleted by the REPLACE conflict resolution strategy. (source: lang_conflict.html, checked-by: th3/req1/conflict02.test, matrix: context, detail)
If the 5th parameter to sqlite3_exec() is not NULL and no errors occur, then sqlite3_exec() sets the pointer in its 5th parameter to NULL before returning. (source: c3ref/exec.html, checked-by: th3/req1/exec01.test, matrix: context, detail)
The sqlite3_cancel_auto_extension(X) routine returns 1 if initialization routine X was successfully unregistered and it returns 0 if X was not on the list of initialization routines. (source: c3ref/cancel_auto_extension.html, matrix: context, detail)
The number of coordinates is 2 for a 1-dimensional R*Tree, 4 for a 2-dimensional R*Tree, 6 for a 3-dimensional R*Tree, and so forth. (source: rtree.html, matrix: context, detail)
If no COLLATE clause is specified, the default collation sequence is BINARY. (source: lang_createtable.html, checked-by: tcl/e_createtable.test, matrix: context, detail)
The INDEXED BY phrase forces the SQLite query planner to use a particular named index on a DELETE, SELECT, or UPDATE statement. (source: lang_indexedby.html, checked-by: tcl/indexedby.test, matrix: context, detail)
The LIKE optimization might occur if the column named on the left of the operator is indexed using the built-in BINARY collating sequence and case_sensitive_like is turned on. Or the optimization might occur if the column is indexed using the built-in NOCASE collating sequence and the case_sensitive_like mode is off. These are the only two combinations under which LIKE operators will be optimized. (source: optoverview.html, checked-by: th3/cov1/where03.test, th3/cov1/where03b.test, matrix: context, detail)
BLOB values (even serial types 12 and larger) sort last and in the order determined by memcmp(). (source: fileformat2.html, checked-by: th3/req1/fileformat05.test, matrix: context, detail)
When the callback is invoked, the first argument passed is a copy of the second argument to sqlite3_collation_needed() or sqlite3_collation_needed16(). The second argument is the database connection. The third argument is one of SQLITE_UTF8, SQLITE_UTF16BE, or SQLITE_UTF16LE, indicating the most desirable form of the collation sequence function required. The fourth parameter is the name of the required collation sequence. (source: c3ref/collation_needed.html, matrix: context, detail)
Autocommit mode is on by default. (source: c3ref/get_autocommit.html, matrix: context, detail)
SQLite makes a copy of the sqlite3_pcache_methods2 object. (source: c3ref/c_config_covering_index_scan.html, checked-by: th3/th3pcache.c, matrix: context, detail)
The sqlite3_compileoption_used() function returns 0 or 1 indicating whether the specified option was defined at compile time. (source: c3ref/compileoption_get.html, checked-by: th3/cov1/ctime01.test, matrix: context, detail)
These functions add, remove, or modify a collation associated with the database connection specified as the first argument. (source: c3ref/create_collation.html, checked-by: th3/req1/createcoll01.test, matrix: context, detail)
SQLite will also add one of the following flags to the xOpen() call, depending on the object being opened: SQLITE_OPEN_MAIN_DB SQLITE_OPEN_MAIN_JOURNAL SQLITE_OPEN_TEMP_DB SQLITE_OPEN_TEMP_JOURNAL SQLITE_OPEN_TRANSIENT_DB SQLITE_OPEN_SUBJOURNAL SQLITE_OPEN_MASTER_JOURNAL SQLITE_OPEN_WAL (source: c3ref/vfs.html, checked-by: th3/th3testvfs.c, matrix: context, detail)
A call to sqlite3_snapshot_open(D,S,P) will fail if the database connection D does not know that the database file for schema S is in WAL mode. A database connection might not know that the database file is in WAL mode if there has been no prior I/O on that database connection, or if the database entered WAL mode after the most recent I/O on the database connection. (source: c3ref/snapshot_open.html, matrix: context, detail)
SQLITE_DBSTATUS_CACHE_MISS This parameter returns the number of pager cache misses that have occurred. (source: c3ref/c_dbstatus_options.html, matrix: context, detail)
Columns that do not appear in the list of assignments are left unmodified. (source: lang_update.html, checked-by: tcl/e_update.test, matrix: context, detail)
The third column is the name of the table that is referred to. (source: pragma.html, checked-by: tcl/fkey5.test, th3/cov1/fkey23.test, matrix: context, detail)
The sqlite3_str_length(X) method returns the current length, in bytes, of the dynamic string under construction in sqlite3_str object X. (source: c3ref/str_errcode.html, matrix: context, detail)
If SQLITE_IOERR_XXX, SQLITE_NOMEM, or SQLITE_READONLY is returned, then there is no point in retrying the call to sqlite3_backup_step(). These errors are considered fatal. (source: c3ref/backup_finish.html, matrix: context, detail)
This pragma returns the names of compile-time options used when building SQLite, one option per row. (source: pragma.html, checked-by: th3/req1/pragma13.test, matrix: context, detail)
For the purposes of this API, a transaction is said to have been rolled back if an explicit "ROLLBACK" statement is executed, or an error or constraint causes an implicit rollback to occur. (source: c3ref/commit_hook.html, matrix: context, detail)
No affinities are applied to any values as the result of a GROUP by clause. (source: datatype3.html, checked-by: th3/req1/datatype3_07.test, matrix: context, detail)
The result of avg() is NULL if and only if there are no non-NULL inputs. (source: lang_aggfunc.html, checked-by: th3/req1/aggfunc01.test, matrix: context, detail)
For each affected row, the named columns are set to the values found by evaluating the corresponding scalar expressions. (source: lang_update.html, checked-by: tcl/e_update.test, matrix: context, detail)
The schema-names 'main' and 'temp' refer to the main database and the database used for temporary tables. (source: lang_attach.html, checked-by: th3/req1/attach01.test, matrix: context, detail)
If used within a SELECT that uses the "query by rowid" or "linear scan" strategies, then the snippet and offsets both return an empty string, and the matchinfo function returns a blob value zero bytes in size. (source: fts3.html, checked-by: tcl/fts3snippet.test, matrix: context, detail)
The name of the column being indexed, or NULL if the index-column is the rowid of the table being indexed or an expression. (source: pragma.html, checked-by: tcl/pragma.test, th3/req1/pragma15x.test, matrix: context, detail)
Inserts into WITHOUT ROWID tables are not recorded. (source: c3ref/last_insert_rowid.html, checked-by: th3/cov1/withoutrowid01.test, matrix: context, detail)
As with the LIKE operator, the sqlite3_strlike(P,X,E) function is case insensitive - equivalent upper and lower case ASCII characters match one another. (source: c3ref/strlike.html, matrix: context, detail)
Duplicate rows are removed from the results of INTERSECT and EXCEPT operators before the result set is returned. (source: lang_select.html, checked-by: tcl/e_select.test, matrix: context, detail)
However xMutexAlloc() may use SQLite memory allocation for a fast or recursive mutex. (source: c3ref/mutex_methods.html, matrix: context, detail)
The first column is usually 0 but will be 1 if a RESTART or FULL or TRUNCATE checkpoint was blocked from completing, for example because another thread or process was actively using the database. (source: pragma.html, checked-by: th3/req1/pragma29.test, matrix: context, detail)
Warning: misuse of this pragma can easily result in a corrupt database file. (source: pragma.html, checked-by: th3/req1/pragma30.test, matrix: context, detail)
If no negative ROWID values are inserted explicitly, then automatically generated ROWID values will always be greater than zero. (source: autoinc.html, checked-by: src/vdbe.c, th3/cov1/vdbe23.test, matrix: context, detail)
The fourth parameter to sqlite3_open_v2() is the name of the sqlite3_vfs object that defines the operating system interface that the new database connection should use. (source: c3ref/open.html, matrix: context, detail)
In those routines that have a fourth argument, its value is the number of bytes in the parameter. To be clear: the value is the number of bytes in the value, not the number of characters. (source: c3ref/bind_blob.html, checked-by: th3/req1/bind01.test, matrix: context, detail)
An attempt to execute COMMIT might also result in an SQLITE_BUSY return code if an another thread or process has an open read connection. (source: lang_transaction.html, matrix: context, detail)
Only an effective call of sqlite3_initialize() does any initialization. All other calls are harmless no-ops. (source: c3ref/initialize.html, matrix: context, detail)
Another limitation of the histogram data is that it only applies to the left-most column on an index. (source: optoverview.html, matrix: context, detail)
The fifth byte through the last usable byte are used to hold overflow content. (source: fileformat2.html, matrix: context, detail)
The third integer is the number number of rows in the index that have the same value for the first two columns. (source: fileformat2.html, matrix: context, detail)
If N is a negative number or something other than an integer value, then the pragma behaves as if the N argument was omitted. (source: pragma.html, matrix: context, detail)
The SQLITE_DBCONFIG_ENABLE_QPSG option activates or deactivates the query planner stability guarantee (QPSG). When the QPSG is active, a single SQL query statement will always use the same algorithm regardless of values of bound parameters. (source: c3ref/c_dbconfig_defensive.html, checked-by: th3/cov1/qpsg01.test, th3/cov1/qpsg02.test, matrix: context, detail)
The parameter P is passed through as the only parameter to the callback function X. (source: c3ref/progress_handler.html, checked-by: th3/req1/progress01.test, matrix: context, detail)
Otherwise, the affinity is NUMERIC. (source: datatype3.html, checked-by: th3/req1/datatype3_01.test, matrix: context, detail)
Autocheckpointing is enabled by default with an interval of 1000 or SQLITE_DEFAULT_WAL_AUTOCHECKPOINT. (source: pragma.html, matrix: context, detail)
The first (query) form will return the synchronous setting as an integer. (source: pragma.html, matrix: context, detail)
In more recent versions of SQLite, the ROLLBACK will proceed and pending statements will often be aborted, causing them to return an SQLITE_ABORT or SQLITE_ABORT_ROLLBACK error. (source: lang_transaction.html, matrix: context, detail)
Parent and child keys must have the same cardinality. (source: foreignkeys.html, checked-by: tcl/e_fkey.test, th3/req1/foreignkeys11.test, matrix: context, detail)
If an error occurs while evaluating the SQL statements passed into sqlite3_exec(), then execution of the current statement stops and subsequent statements are skipped. (source: c3ref/exec.html, checked-by: th3/req1/exec01.test, matrix: context, detail)
PRAGMA schema.secure_delete; PRAGMA schema.secure_delete = boolean|FAST Query or change the secure-delete setting. (source: pragma.html, checked-by: th3/cov1/pragma20.test, th3/cov1/pragma21.test, matrix: context, detail)
Comments do not nest. (source: lang_comment.html, checked-by: th3/req1/comment01.test, matrix: context, detail)
When you change the cache size using the cache_size pragma, the change only endures for the current session. (source: pragma.html, checked-by: th3/req1/pragma09.test, matrix: context, detail)
SQLite attempts to transform the result of the generating expression into that datatype using the same affinity rules as for ordinary columns. (source: gencol.html, matrix: context, detail)
If this parameter is -1, then the SQL function or aggregate may take any number of arguments between 0 and the limit set by sqlite3_limit(SQLITE_LIMIT_FUNCTION_ARG). (source: c3ref/create_function.html, checked-by: th3/req1/createfunc02.test, matrix: context, detail)
The returned string is valid until the prepared statement is destroyed using sqlite3_finalize() or until the statement is automatically reprepared by the first call to sqlite3_step() for a particular run or until the same information is requested again in a different encoding. (source: c3ref/column_database_name.html, matrix: context, detail)
This option sets the threading mode to Serialized. (source: c3ref/c_config_covering_index_scan.html, checked-by: src/main.c, matrix: context, detail)
The multi-argument max() function searches its arguments from left to right for an argument that defines a collating function and uses that collating function for all string comparisons. (source: lang_corefunc.html, checked-by: th3/req1/func03.test, matrix: context, detail)
If no error (SQLITE_BUSY or otherwise) is encountered while processing the attached databases, SQLITE_OK is returned. (source: c3ref/wal_checkpoint_v2.html, checked-by: tcl/e_walckpt.test, matrix: context, detail)
The "pk" column in the result set is zero for columns that are not part of the primary key, and is the index of the column in the primary key for columns that are part of the primary key. (source: pragma.html, matrix: context, detail)
If the third parameter to sqlite3_result_error() or sqlite3_result_error16() is non-negative then SQLite takes that many bytes (not characters) from the 2nd parameter as the error message. (source: c3ref/result_blob.html, checked-by: th3/req1/result01.test, matrix: context, detail)
If the keywords PRIMARY KEY are added to a column definition, then the primary key for the table consists of that single column. (source: lang_createtable.html, checked-by: tcl/e_createtable.test, matrix: context, detail)
The WAL journaling mode uses a write-ahead log instead of a rollback journal to implement transactions. (source: pragma.html, checked-by: th3/req1/pragma24.test, matrix: context, detail)
When temp_store is DEFAULT (0), the compile-time C preprocessor macro SQLITE_TEMP_STORE is used to determine where temporary tables and indices are stored. (source: pragma.html, matrix: context, detail)
This columns is NULL if the column is the rowid or an expression. (source: pragma.html, matrix: context, detail)
This can result in a table that contains data that is in violation of the CHECK constraint. (source: lang_altertable.html, checked-by: th3/req1/altertable01.test, matrix: context, detail)
Other integer type names like "INT" or "BIGINT" or "SHORT INTEGER" or "UNSIGNED INTEGER" causes the primary key column to behave as an ordinary table column with integer affinity and a unique index, not as an alias for the rowid. (source: lang_createtable.html, checked-by: tcl/e_createtable.test, matrix: context, detail)
The aConstraint[] array only reports WHERE clause terms that are relevant to the particular virtual table being queried. (source: c3ref/index_info.html, matrix: context, detail)
The leftmost column is number 0. (source: c3ref/column_name.html, matrix: context, detail)
If N is out of range, sqlite3_compileoption_get() returns a NULL pointer. (source: c3ref/compileoption_get.html, checked-by: th3/cov1/ctime01.test, matrix: context, detail)
Every new database connection defaults to having the auto-checkpoint enabled with a threshold of 1000 or SQLITE_DEFAULT_WAL_AUTOCHECKPOINT pages. (source: c3ref/wal_autocheckpoint.html, checked-by: tcl/e_walauto.test, matrix: context, detail)
However, using auto_vacuum can lead to extra database file fragmentation. (source: lang_vacuum.html, matrix: context, detail)
The sqlite3_wal_checkpoint(D,X) is equivalent to sqlite3_wal_checkpoint_v2(D,X,SQLITE_CHECKPOINT_PASSIVE,0,0). (source: c3ref/wal_checkpoint.html, checked-by: src/main.c, tcl/e_walckpt.test, th3/req1/checkpoint01.test, matrix: context, detail)
As an example, consider the following SQL: CREATE TABLE ex25(a,b,c,d,e,PRIMARY KEY(d,c,a)) WITHOUT rowid; CREATE INDEX ex25ce ON ex25(c,e); CREATE INDEX ex25acde ON ex25(a,c,d,e); CREATE INDEX ex25ae ON ex25(a COLLATE nocase,e); Each row in the ex25ce index is a record with these columns: c, e, d, a. The first two columns are the columns being indexed, c and e. The remaining columns are the primary key of the corresponding table row. Normally, the primary key would be columns d, c, and a, but because column c already appears earlier in the index, it is omitted from the key suffix. (source: fileformat2.html, checked-by: th3/req1/fileformat04.test, matrix: context, detail)
The filename returned by this function is the output of the xFullPathname method of the VFS. (source: c3ref/db_filename.html, checked-by: th3/cov1/attach04.test, matrix: context, detail)
No regexp() user function is defined by default and so use of the REGEXP operator will normally result in an error message. (source: lang_expr.html, checked-by: tcl/e_expr.test, matrix: context, detail)
The format string supports the most common substitutions found in the strftime() function from the standard C library plus two new substitutions, %f and %J. (source: lang_datefunc.html, checked-by: th3/req1/date01.test, matrix: context, detail)
The sqlite_stat4.nLt column holds a list of N integers where the K-th integer is the approximate number of entries in the index whose K left-most columns are collectively less than the K left-most columns of the sample. (source: fileformat2.html, matrix: context, detail)
Any SQL statement variables that had values bound to them using the sqlite3_bind_*() API retain their values. (source: c3ref/reset.html, checked-by: th3/req1/clearbind01.test, matrix: context, detail)
SQLITE_LIMIT_ATTACHED The maximum number of attached databases. (source: c3ref/c_limit_attached.html, checked-by: tcl/sqllimits1.test, th3/req1/limit02.test, matrix: context, detail)
Tip: If the command "PRAGMA foreign_keys" returns no data instead of a single row containing "0" or "1", then the version of SQLite you are using does not support foreign keys (either because it is older than 3.6.19 or because it was compiled with SQLITE_OMIT_FOREIGN_KEY or SQLITE_OMIT_TRIGGER defined). (source: foreignkeys.html, checked-by: tcl/e_fkey.test, th3/req1/foreignkeys05.test, matrix: context, detail)
These three ways of committing a transaction correspond to the DELETE, TRUNCATE, and PERSIST settings, respectively, of the journal_mode pragma. (source: fileformat2.html, matrix: context, detail)
The columns referenced in the WHERE clause of a partial index can be any of the columns in the table, not just columns that happen to be indexed. (source: partialindex.html, checked-by: th3/cov1/index01.test, matrix: context, detail)
If the interrupted SQL operation is an INSERT, UPDATE, or DELETE that is inside an explicit transaction, then the entire transaction will be rolled back automatically. (source: c3ref/interrupt.html, matrix: context, detail)
The sqlite3_value_text16be() and sqlite3_value_text16le() interfaces extract UTF-16 strings as big-endian and little-endian respectively. (source: c3ref/value_blob.html, checked-by: th3/req1/value02.test, th3/req1/value03.test, matrix: context, detail)
Pragma integrity_check will return at most N errors before the analysis quits, with N defaulting to 100. (source: pragma.html, checked-by: th3/req1/integrityck01.test, matrix: context, detail)
The likelihood(X,Y) function returns argument X unchanged. (source: lang_corefunc.html, checked-by: tcl/func3.test, matrix: context, detail)
Otherwise, if this function is passed a valid open blob handle, the values returned by the sqlite3_errcode() and sqlite3_errmsg() functions are set before returning. (source: c3ref/blob_close.html, checked-by: tcl/e_blobclose.test, matrix: context, detail)
Create a partial index by adding a WHERE clause to the end of an ordinary CREATE INDEX statement. (source: partialindex.html, checked-by: th3/cov1/index01.test, matrix: context, detail)
If the application crashes in the middle of a transaction when the OFF journaling mode is set, then the database file will very likely go corrupt. (source: pragma.html, checked-by: th3/req1/pragma25.test, matrix: context, detail)
This pragma queries or sets the write-ahead log auto-checkpoint interval. (source: pragma.html, matrix: context, detail)
The definition of LIKE pattern matching used in sqlite3_strlike(P,X,E) is the same as for the "X LIKE P ESCAPE E" operator in the SQL dialect understood by SQLite. (source: c3ref/strlike.html, matrix: context, detail)
The sqlite3_value_frombind(X) interface returns non-zero if the value X originated from one of the sqlite3_bind() interfaces. (source: c3ref/value_blob.html, matrix: context, detail)
RESTART blocks concurrent writers while it is running, but allowed readers to proceed. (source: pragma.html, matrix: context, detail)
The DROP INDEX statement removes an index added with the CREATE INDEX statement. (source: lang_dropindex.html, matrix: context, detail)
The default match() function implementation raises an exception and is not really useful for anything. (source: lang_expr.html, checked-by: tcl/e_expr.test, matrix: context, detail)
The C argument is a copy of the context pointer passed in as the fourth argument to sqlite3_trace_v2(). (source: c3ref/c_trace.html, checked-by: th3/cov1/trace01.test, matrix: context, detail)
A subsequent call to xRollbackTo(X,R) means that the state of the virtual table should return to what it was when xSavepoint(X,R) was last called. (source: vtab.html, matrix: context, detail)
Setting the heap limits to zero disables the heap limiter mechanism. (source: c3ref/hard_heap_limit64.html, checked-by: th3/req1/softheaplimit02.test, matrix: context, detail)
If the argument N is positive then the suggested cache size is set to N. (source: pragma.html, checked-by: src/pcache.c, tcl/pragma.test, matrix: context, detail)
If no transaction is active (other than the implied transaction that is created on every command) then the ROLLBACK resolution algorithm works the same as the ABORT algorithm. (source: lang_conflict.html, checked-by: th3/req1/conflict01.test, matrix: context, detail)
Hexadecimal integer literals are interpreted as 64-bit two's-complement integers and are thus limited to sixteen significant digits of precision. (source: lang_expr.html, checked-by: th3/req1/expr01.test, matrix: context, detail)
The sqlite3_update_hook(D,C,P) function returns the P argument from the previous call on the same database connection D, or NULL for the first call on D. (source: c3ref/update_hook.html, checked-by: th3/cov1/main15.test, matrix: context, detail)
The third parameter to sqlite3_preupdate_hook() is passed through as the first parameter to callbacks. (source: c3ref/preupdate_count.html, matrix: context, detail)
Built-in functions may be overloaded by new application-defined functions. (source: c3ref/create_function.html, checked-by: th3/req1/createfunc01.test, th3/req1/createfunc05.test, matrix: context, detail)
The collating function callback is invoked with a copy of the pArg application data pointer and with two strings in the encoding specified by the eTextRep argument. (source: c3ref/create_collation.html, checked-by: th3/req1/createcoll01.test, matrix: context, detail)
After a complete checkpoint, if no other connections are in transactions that use the WAL, then subsequent write transactions can overwrite the WAL file from the beginning. (source: fileformat2.html, matrix: context, detail)
In other words, if the pattern is like this: column LIKE x% column GLOB x* then the original LIKE or GLOB tests are disabled when the virtual terms constrain an index because in that case we know that all of the rows selected by the index will pass the LIKE or GLOB test. (source: optoverview.html, matrix: context, detail)
The call to xRollbackTo(X,R) will invalidate all savepoints with N>R; none of the invalided savepoints will be rolled back or released without first being reinitialized by a call to xSavepoint(). (source: vtab.html, matrix: context, detail)
The SQLITE_MAX_TRIGGER_DEPTH and SQLITE_LIMIT_TRIGGER_DEPTH settings determine the maximum allowable depth of trigger program recursion. For the purposes of these limits, foreign key actions are considered trigger programs. (source: foreignkeys.html, checked-by: tcl/e_fkey.test, th3/req1/foreignkeys24.test, matrix: context, detail)
The parameter name must be given in UTF-8 even if the original statement was prepared from UTF-16 text using sqlite3_prepare16_v2() or sqlite3_prepare16_v3(). (source: c3ref/bind_parameter_index.html, checked-by: th3/req1/bind03.test, matrix: context, detail)
This routine sets a busy handler that sleeps for a specified amount of time when a table is locked. (source: c3ref/busy_timeout.html, checked-by: th3/cov1/main21.test, matrix: context, detail)
If there is no explicit DEFAULT clause attached to a column definition, then the default value of the column is NULL. (source: lang_createtable.html, checked-by: tcl/e_createtable.test, matrix: context, detail)
The incremental_vacuum pragma has no effect if the database is not in auto_vacuum=incremental mode or if there are no pages on the freelist. (source: pragma.html, checked-by: th3/req1/pragma21.test, matrix: context, detail)
If the busy callback returns 0, then no additional attempts are made to access the database and SQLITE_BUSY is returned to the application. (source: c3ref/busy_handler.html, checked-by: th3/req1/busy01.test, matrix: context, detail)
SQLITE_LIMIT_VARIABLE_NUMBER The maximum index number of any parameter in an SQL statement. (source: c3ref/c_limit_attached.html, checked-by: tcl/sqllimits1.test, th3/req1/limit02.test, matrix: context, detail)
If Z is not initially a string, it is cast to a UTF-8 string prior to processing. (source: lang_corefunc.html, checked-by: th3/req1/func03.test, matrix: context, detail)
If offset iOffset is less than N bytes from the end of the BLOB, SQLITE_ERROR is returned and no data is read. (source: c3ref/blob_read.html, checked-by: th3/cov1/vdbeblob01.test, matrix: context, detail)
Tip: If the application requires a stricter relationship between artist and track, where NULL values are not permitted in the trackartist column, simply add the appropriate "NOT NULL" constraint to the schema. (source: foreignkeys.html, checked-by: tcl/e_fkey.test, th3/req1/foreignkeys02.test, matrix: context, detail)
Or the pragma might run during sqlite3_step() just like normal SQL statements. (source: pragma.html, checked-by: th3/req1/pragma06.test, matrix: context, detail)
The highwater mark associated with SQLITE_DBSTATUS_CACHE_HIT is always 0. (source: c3ref/c_dbstatus_options.html, checked-by: src/status.c, matrix: context, detail)
SQLITE_DBSTATUS_STMT_USED This parameter returns the approximate number of bytes of heap and lookaside memory used by all prepared statements associated with the database connection. (source: c3ref/c_dbstatus_options.html, checked-by: th3/req1/dbstatus01.test, matrix: context, detail)
PRIMARY KEY, UNIQUE and NOT NULL constraints may be explicitly assigned a default conflict resolution algorithm by including a conflict-clause in their definitions. (source: lang_createtable.html, checked-by: tcl/e_createtable.test, matrix: context, detail)
If the Y argument is omitted, trim(X) removes spaces from both ends of X. (source: lang_corefunc.html, checked-by: th3/req1/func03.test, matrix: context, detail)
If the join-operator is a "LEFT JOIN" or "LEFT OUTER JOIN", then after the ON or USING filtering clauses have been applied, an extra row is added to the output for each row in the original left-hand input dataset that corresponds to no rows at all in the composite dataset (if any). (source: lang_select.html, checked-by: tcl/e_select.test, matrix: context, detail)
There can only be a single busy handler for a particular database connection at any given moment. If another busy handler was defined (using sqlite3_busy_handler()) prior to calling this routine, that other busy handler is cleared. (source: c3ref/busy_timeout.html, checked-by: th3/req1/busy01.test, matrix: context, detail)
To always truncate rollback journals and WAL files to their minimum size, set the journal_size_limit to zero. (source: pragma.html, matrix: context, detail)
If this means the parameter would be assigned a number greater than SQLITE_MAX_VARIABLE_NUMBER, it is an error. (source: lang_expr.html, checked-by: tcl/e_expr.test, matrix: context, detail)
Each entry in most SQLite tables (except for WITHOUT ROWID tables) has a unique 64-bit signed integer key called the "rowid". (source: c3ref/last_insert_rowid.html, checked-by: th3/cov1/withoutrowid01.test, matrix: context, detail)
For example, if the internal representation is FLOAT and a text result is requested, sqlite3_snprintf() is used internally to perform the conversion automatically. (source: c3ref/column_blob.html, checked-by: th3/req1/column02.test, matrix: context, detail)
Notice that the type VARCHAR contains the string "CHAR" and is thus assigned TEXT affinity. (source: datatype3.html, checked-by: th3/req1/datatype3_01.test, matrix: context, detail)
If the integer at offset 52 is non-zero then it is the page number of the largest root page in the database file, the database file will contain ptrmap pages, and the mode must be either auto_vacuum or incremental_vacuum. (source: fileformat2.html, matrix: context, detail)
A statement is judged to be complete if it ends with a semicolon token and is not a prefix of a well-formed CREATE TRIGGER statement. (source: c3ref/complete.html, checked-by: th3/cov1/complete01.test, matrix: context, detail)
If the result is a numeric value then sqlite3_column_bytes16() uses sqlite3_snprintf() to convert that value to a UTF-16 string and returns the number of bytes in that string. (source: c3ref/column_blob.html, checked-by: th3/req1/column01.test, matrix: context, detail)
The first host parameter has an index of 1, not 0. (source: c3ref/bind_parameter_name.html, checked-by: th3/req1/bind04.test, matrix: context, detail)
The second parameter szExtra is a number of bytes of extra storage associated with each page cache entry. (source: c3ref/pcache_methods2.html, matrix: context, detail)
If an SQL function is nearly deterministic (which is to say, if it only rarely changes, like sqlite_version()) and it is used in an index that becomes corrupt, the corruption can be fixed by running REINDEX. (source: deterministic.html, matrix: context, detail)
The sqlite3_db_config() interface will return a non-zero error code if a discontinued or unsupported configuration option is invoked. (source: c3ref/c_dbconfig_defensive.html, checked-by: src/main.c, th3/req1/dbconfig01.test, matrix: context, detail)
The leftmost SQL parameter has an index of 1. (source: c3ref/bind_blob.html, checked-by: th3/req1/bind01.test, matrix: context, detail)
The real tables underlying the view are not modified (except possibly explicitly, by a trigger program). (source: lang_createtrigger.html, matrix: context, detail)
In other words, the filename will be an absolute pathname, even if the filename used to open the database originally was a URI or relative pathname. (source: c3ref/db_filename.html, checked-by: th3/cov1/attach04.test, matrix: context, detail)
The name of the table to be modified in an UPDATE, DELETE, or INSERT statement must be an unqualified table name. In other words, one must use just "tablename" not "database.tablename" when specifying the table. (source: lang_createtrigger.html, matrix: context, detail)
The current implementation only uses the lower 31 bits of the N value - higher order bits are silently ignored. Future versions of SQLite might begin using higher order bits. (source: pragma.html, matrix: context, detail)
If this means the parameter number is greater than SQLITE_MAX_VARIABLE_NUMBER, it is an error. (source: lang_expr.html, checked-by: tcl/e_expr.test, matrix: context, detail)
Each term of aOrderBy records a column of the ORDER BY clause. (source: c3ref/index_info.html, matrix: context, detail)
The void pointer that is the second argument to SQLITE_CONFIG_LOG is passed through as the first parameter to the application-defined logger function whenever that function is invoked. (source: c3ref/c_config_covering_index_scan.html, checked-by: th3/cov1/log01.test, matrix: context, detail)
The sqlite3_strglob(P,X) interface returns zero if and only if string X matches the GLOB pattern P. (source: c3ref/strglob.html, checked-by: th3/cov1/glob01.test, matrix: context, detail)
If "ro" is specified, then the database is opened for read-only access, just as if the SQLITE_OPEN_READONLY flag had been set in the third argument to sqlite3_open_v2(). (source: c3ref/open.html, checked-by: tcl/e_uri.test, matrix: context, detail)
No error messages are generated if an unknown pragma is issued. (source: pragma.html, checked-by: th3/req1/pragma03.test, matrix: context, detail)
If the mode option is set to "memory" then a pure in-memory database that never reads or writes from disk is used. (source: c3ref/open.html, checked-by: th3/cov1/sharedcache03.test, matrix: context, detail)
The "SET DEFAULT" actions are similar to "SET NULL", except that each of the child key columns is set to contain the columns default value instead of NULL. (source: foreignkeys.html, checked-by: tcl/e_fkey.test, th3/req1/foreignkeys16.test, matrix: context, detail)
The amount of space allocated by sqlite3_aggregate_context(C,N) is determined by the N parameter on first successful call. Changing the value of N in any subsequent call to sqlite3_aggregate_context() within the same aggregate function instance will not resize the memory allocation. (source: c3ref/aggregate_context.html, checked-by: th3/req1/aggcntx01.test, matrix: context, detail)
The profile callback time is in units of nanoseconds, however the current implementation is only capable of millisecond resolution so the six least significant digits in the time are meaningless. (source: c3ref/profile.html, checked-by: th3/cov1/main16.test, matrix: context, detail)
For each table read by the query, the output of EXPLAIN QUERY PLAN includes a record for which the value in the "detail" column begins with either "SCAN" or "SEARCH". (source: eqp.html, matrix: context, detail)
The sqlite3_extended_result_codes() routine enables or disables the extended result codes feature of SQLite. (source: c3ref/extended_result_codes.html, checked-by: th3/cov1/main06.test, matrix: context, detail)
The SQLITE_FCNTL_BUSYHANDLER file-control may be invoked by SQLite on the database file handle shortly after it is opened in order to provide a custom VFS with access to the connection's busy-handler callback. (source: c3ref/c_fcntl_begin_atomic_write.html, matrix: context, detail)
If there is no prefix that can be interpreted as an integer number, the result of the conversion is 0. (source: lang_expr.html, checked-by: tcl/e_expr.test, matrix: context, detail)
The 4-byte big-endian integer at offset 68 is an "Application ID" that can be set by the PRAGMA application_id command in order to identify the database as belonging to or associated with a particular application. (source: fileformat2.html, checked-by: th3/req1/fileformat03.test, matrix: context, detail)
In other words, the schema-name. prefix on the table name of the UPDATE is not allowed within triggers. (source: lang_update.html, checked-by: tcl/e_update.test, matrix: context, detail)
This routine returns the N-th compile-time option used to build SQLite or NULL if N is out of range. (source: lang_corefunc.html, checked-by: th3/cov1/ctime02.test, matrix: context, detail)
Any process or thread can select READ UNCOMMITTED isolation, but SERIALIZABLE will still be used except between connections that share a common page and schema cache. (source: pragma.html, matrix: context, detail)
If the database schema changes, instead of returning SQLITE_SCHEMA as it always used to do, sqlite3_step() will automatically recompile the SQL statement and try to run it again. (source: c3ref/prepare.html, checked-by: th3/req1/prepare02.test, matrix: context, detail)
The third through sixth parameters to the callback are either NULL pointers or zero-terminated strings that contain additional details about the action to be authorized. (source: c3ref/set_authorizer.html, checked-by: src/auth.c, th3/cov1/auth05.test, matrix: context, detail)
The total number of bytes in all fragments is stored in the fifth field of the b-tree page header. (source: fileformat2.html, checked-by: src/btree.c, matrix: context, detail)
Because the source database is not locked between calls to sqlite3_backup_step(), the source database may be modified mid-way through the backup process. (source: c3ref/backup_finish.html, matrix: context, detail)
If there is no INTEGER PRIMARY KEY column, then the outputs for the rowid are set as follows: data type: "INTEGER" collation sequence: "BINARY" not null: 0 primary key: 1 auto increment: 0 (source: c3ref/table_column_metadata.html, checked-by: th3/cov1/metadata01.test, matrix: context, detail)
The ORDER BY and LIMIT clauses on UPDATE and DELETE statements are not supported. ORDER BY and LIMIT are not normally supported for UPDATE or DELETE in any context but can be enabled for top-level statements using the SQLITE_ENABLE_UPDATE_DELETE_LIMIT compile-time option. However, that compile-time option only applies to top-level UPDATE and DELETE statements, not UPDATE and DELETE statements within triggers. (source: lang_createtrigger.html, matrix: context, detail)
A value of 2 (0x02) means the page is an interior index b-tree page. (source: fileformat2.html, checked-by: src/btree.c, matrix: context, detail)
If a column has the type INTEGER PRIMARY KEY AUTOINCREMENT then a slightly different ROWID selection algorithm is used. (source: autoinc.html, checked-by: th3/req1/autoinc01.test, matrix: context, detail)
The database header also stores the page number of the first freelist trunk page as a 4-byte big-endian integer at an offset of 32 from the beginning of the file. (source: fileformat2.html, matrix: context, detail)
(source: syntax/pragma-stmt.html, matrix: context, detail)
If aConstraintUsage[].omit is true, then the constraint is assumed to be fully handled by the virtual table and might not be checked again by the byte code. (source: c3ref/index_info.html, matrix: context, detail)
Each SQL index, whether explicitly declared via a CREATE INDEX statement or implied by a UNIQUE or PRIMARY KEY constraint, corresponds to an index b-tree in the database file. (source: fileformat2.html, matrix: context, detail)
This means that if the changes() SQL function (or similar) is used by the first INSERT, UPDATE or DELETE statement within a trigger, it returns the value as set when the calling statement began executing. (source: c3ref/changes.html, checked-by: tcl/e_changes.test, matrix: context, detail)
SQLITE_DBSTATUS_LOOKASIDE_USED This parameter returns the number of lookaside memory slots currently checked out. (source: c3ref/c_dbstatus_options.html, checked-by: th3/req1/dbstatus01.test, matrix: context, detail)
The filename argument is interpreted as UTF-8 for sqlite3_open() and sqlite3_open_v2() and as UTF-16 in the native byte order for sqlite3_open16(). (source: c3ref/open.html, checked-by: th3/req1/autoext01.test, matrix: context, detail)
(source: syntax/frame-spec.html, matrix: context, detail)
Transactions can be DEFERRED, IMMEDIATE, or EXCLUSIVE. (source: lang_transaction.html, matrix: context, detail)
SQLITE_STATUS_SCRATCH_OVERFLOW No longer used. SQLITE_STATUS_SCRATCH_SIZE No longer used. SQLITE_STATUS_PARSER_STACK The *pHighwater parameter records the deepest parser stack. The *pCurrent value is undefined. The *pHighwater value is only meaningful if SQLite is compiled with YYTRACKMAXSTACKDEPTH. (source: c3ref/c_status_malloc_count.html, matrix: context, detail)
SQLITE_PREPARE_PERSISTENT The SQLITE_PREPARE_PERSISTENT flag is a hint to the query planner that the prepared statement will be retained for a long time and probably reused many times. (source: c3ref/c_prepare_normalize.html, matrix: context, detail)
When there are attached databases and no database is specified in the pragma, all databases have their secure-delete setting altered. (source: pragma.html, checked-by: th3/cov1/pragma20.test, th3/cov1/pragma21.test, matrix: context, detail)
The main and temp databases cannot be attached or detached. (source: lang_attach.html, checked-by: th3/req1/attach01.test, matrix: context, detail)
The likely(X) function is a no-op that the code generator optimizes away so that it consumes no CPU cycles at run-time (that is, during calls to sqlite3_step()). (source: lang_corefunc.html, checked-by: tcl/func3.test, matrix: context, detail)
SQLite avoids reading or writing freelist leaf pages in order to reduce disk I/O. (source: fileformat2.html, matrix: context, detail)
In this mode the VACUUM command can be used to rebuild the entire database file and thus reclaim unused disk space. (source: pragma.html, checked-by: th3/req1/pragma07.test, matrix: context, detail)
Similarly, index columns will not normally be used (for indexing purposes) if they are to the right of a column that is constrained only by inequalities. (source: optoverview.html, matrix: context, detail)
The MEMORY journaling mode stores the rollback journal in volatile RAM. (source: pragma.html, checked-by: th3/req1/pragma25.test, matrix: context, detail)
If the right-hand side is a parameter that is bound to a string, then this optimization is only attempted if the prepared statement containing the expression was compiled with sqlite3_prepare_v2() or sqlite3_prepare16_v2(). (source: optoverview.html, matrix: context, detail)
Casting a value to a type-name with no affinity causes the value to be converted into a BLOB. (source: lang_expr.html, checked-by: tcl/e_expr.test, matrix: context, detail)
A SELECT statement enclosed in parentheses is a subquery. (source: lang_expr.html, checked-by: tcl/e_expr.test, matrix: context, detail)
The sqlite3_mutex_free() routine deallocates a previously allocated dynamic mutex. (source: c3ref/mutex_alloc.html, matrix: context, detail)
The application wants to prevent other processes from accessing the database file. (source: pragma.html, checked-by: th3/req1/pragma04.test, matrix: context, detail)
Only an effective call to sqlite3_shutdown() does any deinitialization. All other valid calls to sqlite3_shutdown() are harmless no-ops. (source: c3ref/initialize.html, matrix: context, detail)
Generated columns may not be used as part of the PRIMARY KEY. (source: gencol.html, matrix: context, detail)
By default, URI handling is globally disabled. The default value may be changed by compiling with the SQLITE_USE_URI symbol defined. (source: c3ref/c_config_covering_index_scan.html, checked-by: src/global.c, matrix: context, detail)
The checksum is an unsigned 32-bit integer computed as follows: Initialize the checksum to the checksum nonce value found in the journal header at offset 12. Initialize index X to be N-200 (where N is the size of a database page in bytes. Interpret the byte at offset X into the page as an 8-bit unsigned integer and add the value of that integer to the checksum. Subtract 200 from X. If X is greater than or equal to zero, go back to step 3. (source: fileformat2.html, matrix: context, detail)
SQLITE_DBSTATUS_CACHE_SPILL This parameter returns the number of dirty cache entries that have been written to disk in the middle of a transaction due to the page cache overflowing. Transactions are more efficient if they are written to disk all at once. When pages spill mid-transaction, that introduces additional overhead. This parameter can be used help identify inefficiencies that can be resolved by increasing the cache size. SQLITE_DBSTATUS_DEFERRED_FKS This parameter returns zero for the current value if and only if all foreign key constraints (deferred or immediate) have been resolved. (source: c3ref/c_dbstatus_options.html, matrix: context, detail)
If the expression is the alias of a table or subquery in the FROM clause followed by ".*" then all columns from the named table or subquery are substituted for the single expression. (source: lang_select.html, checked-by: tcl/e_select.test, matrix: context, detail)
If a term of the form "6=b" appears in the index, it will never match anything. (source: partialindex.html, checked-by: th3/cov1/index01.test, matrix: context, detail)
The sqlite_sequence table is created and initialized automatically whenever a normal table that contains an AUTOINCREMENT column is created. (source: autoinc.html, checked-by: th3/req1/autoinc01.test, matrix: context, detail)
The xMutexEnd method defined by this structure is invoked as part of system shutdown by the sqlite3_shutdown() function. (source: c3ref/mutex_methods.html, matrix: context, detail)
Every valid SQLite database file begins with the following 16 bytes (in hex): 53 51 4c 69 74 65 20 66 6f 72 6d 61 74 20 33 00. (source: fileformat2.html, checked-by: src/btree.c, matrix: context, detail)
For an index, the tbl_name is the name of the table that is indexed. (source: fileformat2.html, matrix: context, detail)
The SQLITE_TRACE_PROFILE callback is invoked when the statement finishes. (source: c3ref/c_trace.html, checked-by: th3/cov1/trace01.test, matrix: context, detail)
In NORMAL locking-mode (the default unless overridden at compile-time using SQLITE_DEFAULT_LOCKING_MODE), a database connection unlocks the database file at the conclusion of each read or write transaction. (source: pragma.html, checked-by: th3/req1/pragma04.test, matrix: context, detail)
(source: syntax/sql-stmt.html, matrix: context, detail)
The purpose of the unlikely(X) function is to provide a hint to the query planner that the argument X is a boolean value that is usually not true. (source: lang_corefunc.html, checked-by: th3/cov1/where42.test, matrix: context, detail)
The schema cookie is a 4-byte big-endian integer at offset 40 that is incremented whenever the database schema changes. (source: fileformat2.html, matrix: context, detail)
If idx is out of range - less than zero or greater than or equal to the total number of loops used to implement the statement - a non-zero value is returned and the variable that pOut points to is unchanged. (source: c3ref/stmt_scanstatus.html, checked-by: th3/cov1/status02.test, matrix: context, detail)
Attaching a "REFERENCES
when sqlite3_reset() or sqlite3_finalize() is called for the SQL statement (source: c3ref/get_auxdata.html, matrix: context, detail)
When coercing a string value in the format of a hexadecimal integer into an integer value, the conversion process stops when the 'x' character is seen so the resulting integer value is always zero. (source: lang_expr.html, checked-by: th3/req1/expr01.test, matrix: context, detail)
SQLITE_LIMIT_COLUMN The maximum number of columns in a table definition or in the result set of a SELECT or the maximum number of columns in an index or in an ORDER BY or GROUP BY clause. (source: c3ref/c_limit_attached.html, checked-by: tcl/sqllimits1.test, th3/req1/limit02.test, matrix: context, detail)
The mode parameter may be set to either "ro", "rw", "rwc", or "memory". Attempting to set it to any other value is an error (source: c3ref/open.html, checked-by: tcl/e_uri.test, matrix: context, detail)
The P parameter can be a NULL pointer. (source: c3ref/randomness.html, checked-by: th3/cov1/random01.test, matrix: context, detail)
If the SELECT statement is a non-aggregate query, then each expression in the result expression list is evaluated for each row in the dataset filtered by the WHERE clause. (source: lang_select.html, checked-by: tcl/e_select.test, matrix: context, detail)
The subquery has a FROM clause. (source: optoverview.html, matrix: context, detail)
If a DELETE statement has a LIMIT clause, the maximum number of rows that will be deleted is found by evaluating the accompanying expression and casting it to an integer value. (source: lang_delete.html, checked-by: tcl/e_delete.test, matrix: context, detail)
The first parameter is the database connection to which the SQL function is to be added. (source: c3ref/create_function.html, checked-by: th3/req1/createfunc01.test, matrix: context, detail)
Generated columns may not have a default value (they may not use the "DEFAULT" clause). (source: gencol.html, matrix: context, detail)
If an ORDER BY expression is not an integer alias, then SQLite searches the left-most SELECT in the compound for a result column that matches either the second or third rules above. If a match is found, the search stops and the expression is handled as an alias for the result column that it has been matched against. Otherwise, the next SELECT to the right is tried, and so on. (source: lang_select.html, checked-by: tcl/e_select.test, matrix: context, detail)
The value Y in likelihood(X,Y) must be a floating point constant between 0.0 and 1.0, inclusive. (source: lang_corefunc.html, checked-by: tcl/func3.test, matrix: context, detail)
But in the following logically equivalent formulation of the same query, the substitution of "CROSS JOIN" for the "," means that the order of tables must be N1, E, N2. SELECT * FROM node AS n1 CROSS JOIN edge AS e CROSS JOIN node AS n2 WHERE n1.name = 'alice' AND n2.name = 'bob' AND e.orig = n1.id AND e.dest = n2.id; (source: optoverview.html, matrix: context, detail)
This query would result in a full table scan. (source: optoverview.html, matrix: context, detail)
The expression of a CHECK constraint may not contain a subquery. (source: lang_createtable.html, matrix: context, detail)
The returned string is always in UTF-8 encoding even if the named parameter was originally specified as UTF-16 in sqlite3_prepare16(), sqlite3_prepare16_v2(), or sqlite3_prepare16_v3(). (source: c3ref/bind_parameter_name.html, checked-by: th3/req1/bind04.test, matrix: context, detail)
If and only if the previously described conversion of OR to an IN operator does not work, the second OR-clause optimization is attempted. (source: optoverview.html, matrix: context, detail)
If there are no non-NULL input rows then sum() returns NULL but total() returns 0. (source: lang_aggfunc.html, checked-by: th3/req1/aggfunc01.test, matrix: context, detail)
Any existing statements prepared using the legacy sqlite3_prepare() interface may fail with an SQLITE_SCHEMA error after the recursive_triggers setting is changed. (source: pragma.html, matrix: context, detail)
The subquery does not use LIMIT or the outer query is not a join. (source: optoverview.html, matrix: context, detail)
Foreign key constraints are disabled by default (for backwards compatibility), so must be enabled separately for each database connection. (source: foreignkeys.html, checked-by: tcl/e_fkey.test, th3/req1/foreignkeys04.test, matrix: context, detail)
Both key and value may contain %HH escape sequences. (source: uri.html, matrix: context, detail)
If the authority is omitted then the path is required. (source: uri.html, matrix: context, detail)
The third parameter is the name of the database that was written to - either "main" or the name of an ATTACH-ed database. (source: c3ref/wal_hook.html, checked-by: tcl/e_walhook.test, matrix: context, detail)
A transaction savepoint (a non-nested savepoint that was opened while there was not currently an open transaction), on the other hand, is subject to the same restrictions as a COMMIT - attempting to RELEASE it while the database is in such a state will fail. (source: foreignkeys.html, checked-by: tcl/e_fkey.test, th3/req1/foreignkeys15.test, matrix: context, detail)
It is also an error to use a "*" or "alias.*" expression in a simple SELECT query that does not have a FROM clause. (source: lang_select.html, checked-by: tcl/e_select.test, matrix: context, detail)
Note also that the journal_mode cannot be changed while a transaction is active. (source: pragma.html, checked-by: th3/req1/pragma23.test, matrix: context, detail)
The PRAGMA recursive_triggers setting does not affect the operation of foreign key actions. (source: foreignkeys.html, checked-by: tcl/e_fkey.test, th3/req1/foreignkeys24.test, matrix: context, detail)
the expression 'a' LIKE 'A' is TRUE but 'æ' LIKE 'Æ' is FALSE. (source: lang_expr.html, checked-by: tcl/e_expr.test, matrix: context, detail)
The second through fifth forms of this pragma set the encoding that the main database will be created with if it is created by this session. (source: pragma.html, checked-by: th3/req1/pragma16.test, matrix: context, detail)
The || operator is "concatenate" - it joins together the two strings of its operands. (source: lang_expr.html, checked-by: tcl/e_expr.test, matrix: context, detail)
There is a row in the cartesian product dataset formed by combining each unique combination of a row from the left-hand and right-hand datasets. (source: lang_select.html, checked-by: tcl/e_select.test, matrix: context, detail)
If the integer at offset 52 is zero then the integer at offset 64 must also be zero. (source: fileformat2.html, matrix: context, detail)
The pUser and xDelUser members of the sqlite3_rtree_geometry structure are initially set to NULL. (source: rtree.html, matrix: context, detail)
SQLite will never invoke SQLITE_FCNTL_COMMIT_ATOMIC_WRITE without a prior successful call to SQLITE_FCNTL_BEGIN_ATOMIC_WRITE. (source: c3ref/c_fcntl_begin_atomic_write.html, matrix: context, detail)
The sqlite3_stmt_isexplain(S) interface returns 0 if S is an ordinary statement or a NULL pointer. (source: c3ref/stmt_isexplain.html, matrix: context, detail)
The purpose of the likely(X) function is to provide a hint to the query planner that the argument X is a boolean value that is usually true. (source: lang_corefunc.html, checked-by: th3/cov1/where42.test, matrix: context, detail)
If sqlite3_backup_step() has not yet returned SQLITE_DONE, then any active write-transaction on the destination database is rolled back. (source: c3ref/backup_finish.html, matrix: context, detail)
In cases where there exist loops with no available statistics, this function behaves as if the loop did not exist - it returns non-zero and leave the variable that pOut points to unchanged. (source: c3ref/stmt_scanstatus.html, checked-by: th3/cov1/status02.test, matrix: context, detail)
If the most recent evaluation of statement S failed, then sqlite3_finalize(S) returns the appropriate error code or extended error code. (source: c3ref/finalize.html, checked-by: th3/req1/finalize01.test, matrix: context, detail)
SQLite may from time to time reorganize a b-tree page so that there are no freeblocks or fragment bytes, all unused bytes are contained in the unallocated space region, and all cells are packed tightly at the end of the page. (source: fileformat2.html, checked-by: src/btree.c, matrix: context, detail)
The special identifiers only refer to the row key if the CREATE TABLE statement does not define a real column with the same name. (source: lang_expr.html, checked-by: tcl/e_createtable.test, matrix: context, detail)
The contents of the sqlite3_pcache_methods2 structure are copied to an internal buffer by SQLite within the call to sqlite3_config. Hence the application may discard the parameter after the call to sqlite3_config() returns. (source: c3ref/pcache_methods2.html, matrix: context, detail)
The PERSIST journaling mode prevents the rollback journal from being deleted at the end of each transaction. Instead, the header of the journal is overwritten with zeros. (source: pragma.html, checked-by: th3/req1/pragma24.test, matrix: context, detail)
However, some application may prefer a breadth-first search, which can be accomplished by setting rScore to mxLevel-iLevel. (source: rtree.html, matrix: context, detail)
The INDEXED BY clause does not give the optimizer hints about which index to use; it gives the optimizer a requirement of which index to use. (source: lang_indexedby.html, checked-by: tcl/indexedby.test, matrix: context, detail)
This mode works the same way as SQLITE_CHECKPOINT_RESTART with the addition that it also truncates the log file to zero bytes just prior to a successful return. (source: c3ref/wal_checkpoint_v2.html, checked-by: src/wal.c, tcl/e_walckpt.test, th3/req1/checkpoint01.test, matrix: context, detail)
Generated columns may have NOT NULL, CHECK, and UNIQUE constraints, and foreign key constraints, just like ordinary columns. (source: gencol.html, matrix: context, detail)
SQLite will use the implementation that most closely matches the way in which the SQL function is used. (source: c3ref/create_function.html, checked-by: th3/req1/createfunc04.test, matrix: context, detail)
The third parameter to the preupdate callback is one of the constants SQLITE_INSERT, SQLITE_DELETE, or SQLITE_UPDATE to identify the kind of update operation that is about to occur. (source: c3ref/preupdate_count.html, matrix: context, detail)
*ppStmt is left pointing to a compiled prepared statement that can be executed using sqlite3_step(). (source: c3ref/prepare.html, checked-by: th3/req1/prepare01.test, matrix: context, detail)
No reads or writes occur except within a transaction. (source: lang_transaction.html, matrix: context, detail)
Executing any other type of SQL statement does not modify the value returned by this function. (source: c3ref/changes.html, checked-by: tcl/e_changes.test, matrix: context, detail)
Value is an 8-bit twos-complement integer. (source: fileformat2.html, checked-by: src/vdbeaux.c, th3/req1/fileformat02.test, matrix: context, detail)
The output is the same as for PRAGMA table_info except that hidden columns are shown rather than being omitted. (source: pragma.html, matrix: context, detail)
The database connection returned by sqlite3_db_handle is the same database connection that was the first argument to the sqlite3_prepare_v2() call (or its variants) that was used to create the statement in the first place. (source: c3ref/db_handle.html, checked-by: th3/req1/dbhandle01.test, matrix: context, detail)
Universal Coordinated Time (UTC) is used. (source: lang_datefunc.html, checked-by: th3/req1/date01.test, matrix: context, detail)
Rows are first sorted based on the results of evaluating the left-most expression in the ORDER BY list, then ties are broken by evaluating the second left-most expression and so on. (source: lang_select.html, checked-by: tcl/e_select.test, matrix: context, detail)
SQLite invokes the xShrink() method when it wants the page cache to free up as much of heap memory as possible. (source: c3ref/pcache_methods2.html, matrix: context, detail)
SQLite prohibits applications from creating objects whose names begin with "sqlite_". (source: fileformat2.html, matrix: context, detail)
The first argument to these interfaces is a prepared statement. (source: c3ref/column_database_name.html, matrix: context, detail)
Autocommit mode is disabled by a BEGIN statement. (source: c3ref/get_autocommit.html, matrix: context, detail)
The following are examples of non-deterministic functions: random() changes() last_insert_rowid() sqlite3_version() (source: deterministic.html, matrix: context, detail)
The sqlite3_release_memory() interface attempts to free N bytes of heap memory by deallocating non-essential memory allocations held by the database library. (source: c3ref/release_memory.html, checked-by: th3/req1/releasemem01.test, matrix: context, detail)
When sqlite3_prepare_v2() is used to prepare a statement, the statement might be re-prepared during sqlite3_step() due to a schema change. (source: c3ref/set_authorizer.html, matrix: context, detail)
If the outer query is part of a compound select, then the subquery may not have a LIMIT clause. (source: optoverview.html, matrix: context, detail)
As an example of the result table format, suppose a query result is as follows: Name | Age ----------------------- Alice | 43 Bob | 28 Cindy | 21 There are two columns (M==2) and three rows (N==3). Thus the result table has 8 entries. Suppose the result table is stored in an array named azResult. Then azResult holds this content: azResult[0] = "Name"; azResult[1] = "Age"; azResult[2] = "Alice"; azResult[3] = "43"; azResult[4] = "Bob"; azResult[5] = "28"; azResult[6] = "Cindy"; azResult[7] = "21"; (source: c3ref/free_table.html, checked-by: th3/req1/gettable01.test, matrix: context, detail)
when the corresponding function parameter changes (source: c3ref/get_auxdata.html, matrix: context, detail)
If two or more such blocked connections have specified the same callback function, then instead of invoking the callback function multiple times, it is invoked once with the set of void* context pointers specified by the blocked connections bundled together into an array. (source: c3ref/unlock_notify.html, matrix: context, detail)
When an applicable constraint violation occurs, the FAIL resolution algorithm aborts the current SQL statement with an SQLITE_CONSTRAINT error. (source: lang_conflict.html, checked-by: th3/req1/conflict01.test, matrix: context, detail)
Each subterm is analyzed as if it were itself the entire WHERE clause in order to see if the subterm is indexable by itself. (source: optoverview.html, matrix: context, detail)
The RELEASE of an inner transaction does not cause any changes to be written to the database file; it merely removes savepoints from the transaction stack such that it is no longer possible to ROLLBACK TO those savepoints. (source: lang_savepoint.html, matrix: context, detail)
This mode is the same as calling the sqlite3_wal_checkpoint() C interface. (source: pragma.html, checked-by: th3/req1/checkpoint01.test, matrix: context, detail)
However if the trigger actions reference other tables, the trigger is not dropped or modified if those other tables are dropped or modified. (source: lang_createtrigger.html, matrix: context, detail)
If a WHEN clause is supplied, the SQL statements specified are only executed if the WHEN clause is true. (source: lang_createtrigger.html, matrix: context, detail)
The extended result codes are disabled by default for historical compatibility. (source: c3ref/extended_result_codes.html, checked-by: th3/cov1/main06.test, matrix: context, detail)
If the expression is not a column and has no COLLATE clause, then the BINARY collating sequence is used. (source: datatype3.html, checked-by: th3/req1/datatype3_10.test, matrix: context, detail)
The SQLITE_FCNTL_VFS_POINTER opcode finds a pointer to the top-level VFSes currently in use. (source: c3ref/c_fcntl_begin_atomic_write.html, matrix: context, detail)
This error code is not remembered and will not be recalled by sqlite3_errcode() or sqlite3_errmsg(). (source: c3ref/file_control.html, matrix: context, detail)
When database is omitted, the "main" database is queried. (source: pragma.html, checked-by: th3/req1/pragma23.test, matrix: context, detail)
If any xEntryPoint() returns an error, the sqlite3_open(), sqlite3_open16(), or sqlite3_open_v2() call that provoked the xEntryPoint() will fail. (source: c3ref/auto_extension.html, checked-by: th3/req1/autoext01.test, matrix: context, detail)
The sqlite3_result_value() interface sets the result of the application-defined function to be a copy of the unprotected sqlite3_value object specified by the 2nd parameter. (source: c3ref/result_blob.html, checked-by: th3/req1/result03.test, matrix: context, detail)
If the sqlite_sequence.seq value for an AUTOINCREMENT table is manually set to something other than an integer and there is a subsequent attempt to insert the or update the AUTOINCREMENT table, then the behavior is undefined. (source: fileformat2.html, matrix: context, detail)
A call to sqlite3_snapshot_open() will fail to open if the specified snapshot has been overwritten by a checkpoint. (source: c3ref/snapshot_open.html, matrix: context, detail)
Changes written into a BLOB prior to the BLOB expiring are not rolled back by the expiration of the BLOB. Such changes will eventually commit if the transaction continues to completion. (source: c3ref/blob_open.html, checked-by: tcl/e_blobopen.test, matrix: context, detail)
If there is only a single table or subquery in the FROM clause, then the input data used by the SELECT statement is the contents of the named table. (source: lang_select.html, checked-by: tcl/e_select.test, matrix: context, detail)
Modifiers are applied from left to right; order is important. (source: lang_datefunc.html, checked-by: th3/req1/date01.test, matrix: context, detail)
If the third parameter to sqlite3_bind_text() is not NULL, then it should be a pointer to well-formed UTF8 text. (source: c3ref/bind_blob.html, matrix: context, detail)
ORDER BY and LIMIT clauses may only occur at the end of the entire compound SELECT, and then only if the final element of the compound is not a VALUES clause. (source: lang_select.html, checked-by: tcl/e_select.test, matrix: context, detail)
A single WAL can and usually does record multiple transactions. (source: fileformat2.html, matrix: context, detail)
If the database schema contains foreign key errors that require looking at more than one table definition to identify, then those errors are not detected when the tables are created. (source: foreignkeys.html, checked-by: tcl/e_fkey.test, th3/req1/foreignkeys07.test, matrix: context, detail)
A CHECK constraint may be attached to a column definition or specified as a table constraint. In practice it makes no difference. (source: lang_createtable.html, checked-by: tcl/e_createtable.test, matrix: context, detail)
The CREATE, TABLE, VIEW, TRIGGER, and INDEX keywords at the beginning of the statement are converted to all upper case letters. (source: fileformat2.html, matrix: context, detail)
To prevent older versions of SQLite (prior to version 3.7.0, 2010-07-22) from trying to recover a WAL-mode database (and making matters worse) the database file format version numbers (bytes 18 and 19 in the database header) are increased from 1 to 2 in WAL mode. (source: wal.html, checked-by: tcl/e_wal.test, matrix: context, detail)
If the optional schema name is omitted, "main" is assumed. (source: pragma.html, checked-by: th3/req1/pragma01.test, matrix: context, detail)
If it does, then SQLite requires every entry in the index to be unique. (source: partialindex.html, checked-by: th3/cov1/index01.test, matrix: context, detail)
If the sqlite3_create_function() interface is used to override the glob(X,Y) function with an alternative implementation then the GLOB operator will invoke the alternative implementation. (source: lang_corefunc.html, checked-by: th3/req1/func02.test, matrix: context, detail)
Note also that sqlite3_snprintf() returns a pointer to its buffer instead of the number of characters actually written into the buffer. (source: c3ref/mprintf.html, checked-by: th3/req1/malloc01.test, matrix: context, detail)
There are four columns in each result row. (source: pragma.html, checked-by: tcl/fkey5.test, th3/cov1/fkey23.test, matrix: context, detail)
The column may not have a PRIMARY KEY or UNIQUE constraint. (source: lang_altertable.html, checked-by: th3/req1/altertable01.test, matrix: context, detail)
The suppression of redundant columns in the key suffix of an index entry only occurs in WITHOUT ROWID tables. (source: fileformat2.html, checked-by: th3/req1/fileformat04.test, matrix: context, detail)
The INTERSECT operator returns the intersection of the results of the left and right SELECTs. (source: lang_select.html, checked-by: tcl/e_select.test, matrix: context, detail)
The exclusive lock is not released until either sqlite3_backup_finish() is called or the backup operation is complete and sqlite3_backup_step() returns SQLITE_DONE. (source: c3ref/backup_finish.html, matrix: context, detail)
A correlated subquery is reevaluated each time its result is required. (source: lang_expr.html, checked-by: th3/req1/select01.test, matrix: context, detail)
On success, sqlite3_blob_write() returns SQLITE_OK. Otherwise, an error code or an extended error code is returned. (source: c3ref/blob_write.html, checked-by: tcl/e_blobwrite.test, matrix: context, detail)
If the REINDEX keyword is followed by a collation-sequence name, then all indices in all attached databases that use the named collation sequences are recreated. (source: lang_reindex.html, checked-by: tcl/e_reindex.test, matrix: context, detail)
SQL parameters of the form "?NNN" or ":AAA" or "@AAA" or "$AAA" have a name which is the string "?NNN" or ":AAA" or "@AAA" or "$AAA" respectively. In other words, the initial ":" or "$" or "@" or "?" is included as part of the name. (source: c3ref/bind_parameter_name.html, checked-by: th3/req1/bind04.test, matrix: context, detail)
The second form changes the journaling mode for "database" or for all attached databases if "database" is omitted. (source: pragma.html, checked-by: th3/req1/pragma23.test, matrix: context, detail)
The database, table and column on which the blob handle is open remain the same. (source: c3ref/blob_reopen.html, checked-by: th3/req1/blob01.test, matrix: context, detail)
The default setting can be overridden by each database connection using either the PRAGMA mmap_size command, or by using the SQLITE_FCNTL_MMAP_SIZE file control. (source: c3ref/c_config_covering_index_scan.html, matrix: context, detail)
The randomblob(N) function return an N-byte blob containing pseudo-random bytes. (source: lang_corefunc.html, checked-by: th3/req1/func03.test, matrix: context, detail)
if the declaration of a column with declared type "INTEGER" includes an "PRIMARY KEY DESC" clause, it does not become an alias for the rowid and is not classified as an integer primary key. (source: lang_createtable.html, checked-by: tcl/e_createtable.test, matrix: context, detail)
Unlike this index_info pragma, this pragma returns information about every column in the index, not just the key columns. (source: pragma.html, checked-by: tcl/pragma.test, th3/req1/pragma15x.test, matrix: context, detail)
The fragment component of a URI, if present, is ignored. (source: c3ref/open.html, checked-by: tcl/e_uri.test, matrix: context, detail)
The sqlite3_progress_handler(D,N,X,P) interface causes the callback function X to be invoked periodically during long running calls to sqlite3_exec(), sqlite3_step() and sqlite3_get_table() for database connection D. (source: c3ref/progress_handler.html, checked-by: th3/req1/progress01.test, matrix: context, detail)
The sqlite_stat3.nEq column holds the approximate number of entries in the index whose left-most column exactly matches the sample. (source: fileformat2.html, matrix: context, detail)
The rowid can be used anywhere a regular column can be used. (source: lang_expr.html, matrix: context, detail)
If the expression evaluates to a NULL value or any other value that cannot be losslessly converted to an integer, an error is returned. (source: lang_select.html, checked-by: tcl/e_select.test, matrix: context, detail)
sqlite> CREATE INDEX i2 ON t1(a, b); sqlite> EXPLAIN QUERY PLAN SELECT a, b FROM t1 WHERE a=1; QUERY PLAN `--SEARCH TABLE t1 USING COVERING INDEX i2 (a=?) (source: eqp.html, matrix: context, detail)
This means that the underlying VFS must support the "version 2" shared-memory. (source: wal.html, checked-by: tcl/e_wal.test, th3/req1/pragma05.test, matrix: context, detail)
SQLite guarantees that the second argument to xRealloc is always a value returned by a prior call to xRoundup. (source: c3ref/mem_methods.html, checked-by: src/malloc.c, src/mem1.c, src/mem2.c, src/mem5.c, matrix: context, detail)
International character sets are case sensitive in SQLite unless an application-defined collating sequence and like() SQL function are provided that take non-ASCII characters into account. (source: optoverview.html, checked-by: th3/cov1/pragma02.test, matrix: context, detail)
If the path does not begin with a '/' (meaning that the authority section is omitted from the URI) then the path is interpreted as a relative path. (source: c3ref/open.html, checked-by: tcl/e_uri.test, matrix: context, detail)
There is no difference between the "INNER JOIN", "JOIN" and "," join operators. (source: lang_select.html, checked-by: tcl/e_select.test, tcl/e_select2.test, matrix: context, detail)
The UPDATE, DELETE, and INSERT statements within triggers do not support the full syntax for UPDATE, DELETE, and INSERT statements. (source: lang_createtrigger.html, matrix: context, detail)
(source: syntax/with-clause.html, matrix: context, detail)
The file named by the INTO clause must not previously exist, or else it must be an empty file, or the VACUUM INTO command will fail with an error. (source: lang_vacuum.html, checked-by: th3/cov1/vacuum10.test, matrix: context, detail)
This interface allows the size of various constructs to be limited on a connection by connection basis. The first parameter is the database connection whose limit is to be set or queried. The second parameter is one of the limit categories that define a class of constructs to be size limited. The third parameter is the new limit for that construct. (source: c3ref/limit.html, checked-by: th3/req1/limit01.test, th3/req1/limit02.test, matrix: context, detail)
The second parameter is the column number. (source: c3ref/column_name.html, matrix: context, detail)
The checksum values are always stored in the frame header in a big-endian format regardless of which byte order is used to compute the checksum. (source: fileformat2.html, matrix: context, detail)
Or, if X and Y are both BLOBs, then instr(X,Y) returns one more than the number bytes prior to the first occurrence of Y, or 0 if Y does not occur anywhere within X. (source: lang_corefunc.html, checked-by: tcl/instr.test, matrix: context, detail)
A partial index definition may include the UNIQUE keyword. (source: partialindex.html, checked-by: th3/cov1/index01.test, matrix: context, detail)
The expression "a BETWEEN b AND c" is treated as two separate binary comparisons "a >= b AND a <= c", even if that means different affinities are applied to 'a' in each of the comparisons. (source: datatype3.html, checked-by: th3/req1/datatype3_05.test, matrix: context, detail)
The memory-mapped file is in the same directory as the database and has the same name as the database with a "-shm" suffix appended. (source: fileformat2.html, matrix: context, detail)
To delete an existing SQL function or aggregate, pass NULL pointers for all three function callbacks. (source: c3ref/create_function.html, checked-by: th3/req1/createfunc03.test, matrix: context, detail)
The SQLITE_FCNTL_WIN32_AV_RETRY opcode is used to configure automatic retry counts and intervals for certain disk I/O operations for the windows VFS in order to provide robustness in the presence of anti-virus programs. (source: c3ref/c_fcntl_begin_atomic_write.html, matrix: context, detail)
Note that min() is a simple function when it has 2 or more arguments but operates as an aggregate function if given only a single argument. (source: lang_corefunc.html, checked-by: th3/req1/func05.test, matrix: context, detail)
When an error occurs, sqlite3_step() will return one of the detailed error codes or extended error codes. (source: c3ref/prepare.html, checked-by: th3/req1/prepare03.test, matrix: context, detail)
The first column is always a 64-bit signed integer primary key. (source: rtree.html, matrix: context, detail)
Some parameters do not record the highest value. For those parameters nothing is written into *pHighwater and the resetFlag is ignored. (source: c3ref/status.html, matrix: context, detail)
It is not possible to enable or disable foreign key constraints in the middle of a multi-statement transaction (when SQLite is not in autocommit mode). Attempting to do so does not return an error; it simply has no effect. (source: foreignkeys.html, checked-by: tcl/e_fkey.test, th3/req1/foreignkeys06.test, matrix: context, detail)
The sqlite3_version[] string constant contains the text of SQLITE_VERSION macro. (source: c3ref/libversion.html, checked-by: src/main.c, matrix: context, detail)
When not in shared cache mode, it is possible to have the same database file attached multiple times using different names, and detaching one connection to a file will leave the others intact. (source: lang_detach.html, checked-by: th3/req1/attach01.test, matrix: context, detail)
If no database name qualifier precedes the "locking_mode" keyword then the locking mode is applied to all databases, including any new databases added by subsequent ATTACH commands. (source: pragma.html, checked-by: th3/req1/pragma04.test, matrix: context, detail)
Databases created by the ATTACH command always use the same encoding as the main database. (source: pragma.html, checked-by: th3/req1/pragma16.test, matrix: context, detail)
Let M be ((U-12)*32/255)-23 and let K be M+((P-M)%(U-4)). If P is greater than X then the number of bytes stored on the index b-tree page is K if K is less than or equal to X or M otherwise. (source: fileformat2.html, matrix: context, detail)
The schema-name is the name of an ATTACH-ed database or "main" or "temp" for the main and the TEMP databases. (source: pragma.html, checked-by: th3/req1/pragma01.test, matrix: context, detail)
For the purposes of determining duplicate rows for the results of compound SELECT operators, NULL values are considered equal to other NULL values and distinct from all non-NULL values. (source: lang_select.html, checked-by: tcl/e_select.test, matrix: context, detail)
This is the number of virtual machine operations executed by the prepared statement if that number is less than or equal to 2147483647. (source: c3ref/c_stmtstatus_counter.html, matrix: context, detail)
SQLITE_STATUS_PAGECACHE_OVERFLOW This parameter returns the number of bytes of page cache allocation which could not be satisfied by the SQLITE_CONFIG_PAGECACHE buffer and where forced to overflow to sqlite3_malloc(). The returned value includes allocations that overflowed because they where too large (they were larger than the "sz" parameter to SQLITE_CONFIG_PAGECACHE) and allocations that overflowed because no space was left in the page cache. (source: c3ref/c_status_malloc_count.html, matrix: context, detail)
The sqlite3_context_db_handle() interface returns a copy of the pointer to the database connection (the 1st parameter) of the sqlite3_create_function() and sqlite3_create_function16() routines that originally registered the application defined function. (source: c3ref/context_db_handle.html, checked-by: src/vdbeapi.c, th3/req1/value01.test, matrix: context, detail)
The current value of the requested parameter is written into *pCur and the highest instantaneous value is written into *pHiwtr. (source: c3ref/db_status.html, checked-by: th3/req1/dbstatus01.test, matrix: context, detail)
The sqlite3_strlike(P,X,E) interface returns zero if and only if string X matches the LIKE pattern P with escape character E. (source: c3ref/strlike.html, matrix: context, detail)
Any attempt to use AUTOINCREMENT on a WITHOUT ROWID table or on a column other than the INTEGER PRIMARY KEY column results in an error. (source: autoinc.html, checked-by: th3/req1/autoinc01.test, matrix: context, detail)
DEFERRED means that the transaction does not actually start until the database is first accessed. (source: lang_transaction.html, matrix: context, detail)
If an INSERT occurs within a trigger then this routine will return the rowid of the inserted row as long as the trigger is running. Once the trigger program ends, the value returned by this routine reverts to what it was before the trigger was fired. (source: c3ref/last_insert_rowid.html, matrix: context, detail)
Objects of this type are created by sqlite3_blob_open() and destroyed by sqlite3_blob_close(). (source: c3ref/blob.html, checked-by: th3/cov1/vdbeblob01.test, matrix: context, detail)
(source: syntax/comment-syntax.html, matrix: context, detail)
Instead, executing an INSERT, DELETE or UPDATE on the view causes the associated triggers to fire. (source: lang_createtrigger.html, matrix: context, detail)
A database connection handle is usually returned in *ppDb, even if an error occurs. The only exception is that if SQLite is unable to allocate memory to hold the sqlite3 object, a NULL will be written into *ppDb instead of a pointer to the sqlite3 object. (source: c3ref/open.html, matrix: context, detail)
Input text that looks like floating point (there is a decimal point and/or an exponent) and the text describes a value that can be losslessly converted back and forth between IEEE 754 64-bit float and a 51-bit signed integer, then the result is INTEGER. (source: lang_expr.html, checked-by: tcl/e_expr.test, th3/cov1/cast01.test, matrix: context, detail)
If an "ALTER TABLE ... RENAME TO" command is used to rename a table that is the parent table of one or more foreign key constraints, the definitions of the foreign key constraints are modified to refer to the parent table by its new name (source: foreignkeys.html, checked-by: tcl/e_fkey.test, th3/req1/foreignkeys21.test, matrix: context, detail)
PRAGMA cell_size_check PRAGMA cell_size_check = boolean; The cell_size_check pragma enables or disables additional sanity checking on database b-tree pages as they are initially read from disk. (source: pragma.html, matrix: context, detail)
The sqlite3_backup object may be used with the sqlite3_backup_step() and sqlite3_backup_finish() functions to perform the specified backup operation. (source: c3ref/backup_finish.html, checked-by: th3/req1/backup02.test, matrix: context, detail)
Cautious programmers might include assert() statements in their application to verify that values returned by these interfaces match the macros in the header, and thus ensure that the application is compiled with matching library and header files. assert( sqlite3_libversion_number()==SQLITE_VERSION_NUMBER ); assert( strncmp(sqlite3_sourceid(),SQLITE_SOURCE_ID,80)==0 ); assert( strcmp(sqlite3_libversion(),SQLITE_VERSION)==0 ); (source: c3ref/libversion.html, checked-by: th3/th3main.c, matrix: context, detail)
The "start of" modifiers (7 through 9) shift the date backwards to the beginning of the current month, year or day. (source: lang_datefunc.html, checked-by: th3/req1/date01.test, matrix: context, detail)
The sqlite3_value returned is a protected sqlite3_value object even if the input is not. (source: c3ref/value_dup.html, matrix: context, detail)
This method can be used, for example, to add whitespace indentation. (source: c3ref/str_append.html, matrix: context, detail)
Invoking this pragma with an argument is equivalent to calling the sqlite3_wal_checkpoint_v2() C interface with a 3rd parameter corresponding to the argument: (source: pragma.html, checked-by: th3/req1/checkpoint01.test, matrix: context, detail)
The phrase "VALUES(expr-list-1),...,(expr-list-N)" means the same thing as "SELECT expr-list-1 UNION ALL ... UNION ALL SELECT expr-list-N". (source: lang_select.html, checked-by: th3/cov1/select30.test, th3/req1/select02.test, matrix: context, detail)
And the automatically generated ROWIDs are guaranteed to be monotonically increasing. (source: autoinc.html, checked-by: th3/req1/autoinc01.test, matrix: context, detail)
The sqlite3_result_pointer(C,P,T,D) interface sets the result to an SQL NULL value, just like sqlite3_result_null(C), except that it also associates the host-language pointer P or type T with that NULL value such that the pointer can be retrieved within an application-defined SQL function using sqlite3_value_pointer(). (source: c3ref/result_blob.html, checked-by: th3/cov1/bindptr01.test, th3/cov1/carray01.test, matrix: context, detail)
The sqlite3_last_insert_rowid() function does not work for WITHOUT ROWID tables. (source: withoutrowid.html, checked-by: tcl/lastinsert.test, th3/cov1/withoutrowid01.test, matrix: context, detail)
When an applicable constraint violation occurs, the ABORT resolution algorithm aborts the current SQL statement with an SQLITE_CONSTRAINT error and backs out any changes made by the current SQL statement; but changes caused by prior SQL statements within the same transaction are preserved and the transaction remains active. (source: lang_conflict.html, checked-by: th3/req1/conflict01.test, matrix: context, detail)
The parameter N is the approximate number of virtual machine instructions that are evaluated between successive invocations of the callback X. (source: c3ref/progress_handler.html, checked-by: th3/req1/progress01.test, matrix: context, detail)
Smaller scores are processed first. (source: rtree.html, matrix: context, detail)
Like SQLITE_CHECKPOINT_FULL, this mode blocks new database writer attempts while it is pending, but does not impede readers. (source: c3ref/wal_checkpoint_v2.html, checked-by: tcl/e_walckpt.test, matrix: context, detail)
String variables that contain text formatted like hexadecimal integers are not interpreted as hexadecimal integers when coercing the string value into an integer due to a CAST expression or for a column affinity transformation or prior to performing a numeric operation or for any other run-time conversions. (source: lang_expr.html, checked-by: th3/req1/expr01.test, matrix: context, detail)
No entry point will be called more than once for each database connection that is opened. (source: c3ref/auto_extension.html, checked-by: th3/req1/autoext01.test, matrix: context, detail)
The ifnull() function is equivalent to coalesce() with two arguments. (source: lang_corefunc.html, checked-by: th3/cov1/func01.test, matrix: context, detail)
The column is identified by the second, third and fourth parameters to this function. (source: c3ref/table_column_metadata.html, checked-by: th3/cov1/metadata01.test, matrix: context, detail)
The sqlite3_data_count(P) routine returns 0 if the previous call to sqlite3_step(P) returned SQLITE_DONE. (source: c3ref/data_count.html, matrix: context, detail)
If the REINDEX keyword is not followed by a collation-sequence or database object identifier, then all indices in all attached databases are rebuilt. (source: lang_reindex.html, checked-by: tcl/e_reindex.test, matrix: context, detail)
If the option is unknown or SQLite is unable to set the option then this routine returns a non-zero error code. (source: c3ref/config.html, matrix: context, detail)
Unlike regular SQLite tables which can store data in a variety of datatypes and formats, the R*Tree rigidly enforce these storage types. (source: rtree.html, matrix: context, detail)
The like() function is used to implement the "Y LIKE X [ESCAPE Z]" expression. (source: lang_corefunc.html, checked-by: th3/req1/func02.test, matrix: context, detail)
If none of the arguments to min() define a collating function, then the BINARY collating function is used. (source: lang_corefunc.html, checked-by: th3/req1/func03.test, matrix: context, detail)
The header of the rollback journal can be overwritten with invalid header text (for example, all zeros). (source: fileformat2.html, matrix: context, detail)
At most one preupdate hook may be registered at a time on a single database connection; each call to sqlite3_preupdate_hook() overrides the previous setting. (source: c3ref/preupdate_count.html, matrix: context, detail)
If any input to sum() is neither an integer or a NULL then sum() returns a floating point value which might be an approximation to the true sum. (source: lang_aggfunc.html, checked-by: th3/req1/aggfunc01.test, matrix: context, detail)
The "PRAGMA data_version" value is unchanged for commits made on the same database connection. (source: pragma.html, checked-by: tcl/pragma3.test, th3/cov1/pragma26.test, matrix: context, detail)
An individual database connection D can reduce its maximum parameter number below the compile-time maximum using the sqlite3_limit(D, SQLITE_LIMIT_VARIABLE_NUMBER,...) interface. (source: lang_expr.html, checked-by: th3/req1/bind01.test, matrix: context, detail)
A time string can be in any of the following formats: YYYY-MM-DD YYYY-MM-DD HH:MM YYYY-MM-DD HH:MM:SS YYYY-MM-DD HH:MM:SS.SSS YYYY-MM-DDTHH:MM YYYY-MM-DDTHH:MM:SS YYYY-MM-DDTHH:MM:SS.SSS HH:MM HH:MM:SS HH:MM:SS.SSS now DDDDDDDDDD (source: lang_datefunc.html, checked-by: th3/req1/date01.test, matrix: context, detail)
Or, if none of the WHEN expressions evaluate to a value equal to the base expression, the result of evaluating the ELSE expression, if any. (source: lang_expr.html, checked-by: tcl/e_expr.test, matrix: context, detail)
An SQLITE_TRACE_PROFILE callback provides approximately the same information as is provided by the sqlite3_profile() callback. (source: c3ref/c_trace.html, checked-by: th3/cov1/trace01.test, matrix: context, detail)
Any other value for the b-tree page type is an error. (source: fileformat2.html, checked-by: src/btree.c, matrix: context, detail)
When casting a TEXT value to INTEGER, the longest possible prefix of the value that can be interpreted as an integer number is extracted from the TEXT value and the remainder ignored. (source: lang_expr.html, checked-by: tcl/e_expr.test, th3/cov1/cast01.test, matrix: context, detail)
To perform a backup operation: sqlite3_backup_init() is called once to initialize the backup, sqlite3_backup_step() is called one or more times to transfer the data between the two databases, and finally sqlite3_backup_finish() is called to release all resources associated with the backup operation. (source: c3ref/backup_finish.html, checked-by: th3/req1/backup01.test, matrix: context, detail)
When a database is in WAL mode, all connections to that database must use the WAL. (source: fileformat2.html, matrix: context, detail)
The query string is divided into key/value pairs. (source: uri.html, matrix: context, detail)
The usual rules apply for selecting a collation sequence to compare text values. (source: lang_select.html, checked-by: tcl/e_select.test, matrix: context, detail)
Recognized integer codes are of the form SQLITE_STATUS_.... (source: c3ref/status.html, matrix: context, detail)
If the main database has not already been created, then the value returned is the text encoding that will be used to create the main database, if it is created by this session. (source: pragma.html, checked-by: th3/req1/pragma16.test, matrix: context, detail)
If the busy callback is not NULL, then the callback might be invoked with two arguments. (source: c3ref/busy_handler.html, checked-by: th3/req1/busy01.test, matrix: context, detail)
The right-most column that is used can employ inequalities. (source: optoverview.html, matrix: context, detail)
The 's' character at the end of the modifier names is optional. (source: lang_datefunc.html, checked-by: th3/req1/date01.test, matrix: context, detail)
The parent and sub-query may contain WHERE clauses. (source: optoverview.html, matrix: context, detail)
The second argument is the size of each lookaside buffer slot. (source: c3ref/c_dbconfig_defensive.html, checked-by: src/main.c, th3/req1/dbconfig01.test, matrix: context, detail)
With one exception noted below, if a rowid table has a primary key that consists of a single column and the declared type of that column is "INTEGER" in any mixture of upper and lower case, then the column becomes an alias for the rowid. (source: lang_createtable.html, checked-by: tcl/e_createtable.test, matrix: context, detail)
For example, the max() function with a single argument is an aggregate and the max() function with two or more arguments is a simple function. (source: lang_expr.html, checked-by: th3/req1/func05.test, matrix: context, detail)
Or, more generally: SELECT rowid FROM
It is not possible to use the "ALTER TABLE ... ADD COLUMN" syntax to add a column that includes a REFERENCES clause, unless the default value of the new column is NULL. Attempting to do so returns an error. (source: foreignkeys.html, checked-by: tcl/e_fkey.test, th3/req1/foreignkeys21.test, matrix: context, detail)
In an RTREE virtual table, the first column always has a type affinity of INTEGER and all other data columns have a type affinity of NUMERIC. (source: rtree.html, matrix: context, detail)
sqlite> EXPLAIN QUERY PLAN SELECT a FROM t1 UNION SELECT c FROM t2; QUERY PLAN `--COMPOUND QUERY |--LEFT-MOST SUBQUERY | `--SCAN TABLE t1 USING COVERING INDEX i1 `--UNION USING TEMP B-TREE `--SCAN TABLE t2 USING COVERING INDEX i4 (source: eqp.html, matrix: context, detail)
Strings are surrounded by single-quotes with escapes on interior quotes as needed. (source: lang_corefunc.html, checked-by: th3/cov1/func02.test, matrix: context, detail)
Any triggers attached to the table are dropped from the database schema before the implicit DELETE FROM is executed, so this cannot cause any triggers to fire. (source: lang_droptable.html, checked-by: th3/req1/droptable01.test, matrix: context, detail)
The busy-handler is also invoked while waiting for database readers as described above. (source: c3ref/wal_checkpoint_v2.html, checked-by: tcl/e_walckpt.test, matrix: context, detail)
To convert the results of an SQL expression to a boolean value, SQLite first casts the result to a NUMERIC value in the same way as a CAST expression. A numeric zero value (integer value 0 or real value 0.0) is considered to be false. A NULL value is still NULL. All other values are considered true. (source: lang_expr.html, checked-by: th3/req1/expr03.test, matrix: context, detail)
A single foreign key constraint may have different actions configured for ON DELETE and ON UPDATE. (source: foreignkeys.html, checked-by: tcl/e_fkey.test, th3/req1/pragma02.test, matrix: context, detail)
The content of the statistics tables can be queried using SELECT and can be changed using the DELETE, INSERT, and UPDATE commands. (source: lang_analyze.html, checked-by: th3/req1/analyze01.test, matrix: context, detail)
If the DELETE statement has an ORDER BY clause, then all rows that would be deleted in the absence of the LIMIT clause are sorted according to the ORDER BY. The first M rows, where M is the value found by evaluating the OFFSET clause expression, are skipped, and the following N, where N is the value of the LIMIT expression, are deleted. (source: lang_delete.html, checked-by: tcl/e_delete.test, matrix: context, detail)
A rollback journal is only considered to be valid if it exists and contains a valid header. (source: fileformat2.html, matrix: context, detail)
(source: syntax/table-or-subquery.html, matrix: context, detail)
Instead, the built-in Date And Time Functions of SQLite are capable of storing dates and times as TEXT, REAL, or INTEGER values: TEXT as ISO8601 strings ("YYYY-MM-DD HH:MM:SS.SSS"). REAL as Julian day numbers, the number of days since noon in Greenwich on November 24, 4714 B.C. according to the proleptic Gregorian calendar. INTEGER as Unix Time, the number of seconds since 1970-01-01 00:00:00 UTC. (source: datatype3.html, checked-by: th3/req1/datatype3_01.test, matrix: context, detail)
The default suggested cache size can be altered using the SQLITE_DEFAULT_CACHE_SIZE compile-time options. (source: pragma.html, checked-by: src/sqliteLimit.h, matrix: context, detail)
The special behaviors associated "INTEGER PRIMARY KEY" do not apply on WITHOUT ROWID tables. (source: withoutrowid.html, checked-by: tcl/without_rowid5.test, th3/cov1/withoutrowid01.test, matrix: context, detail)
A filename that is not a well-formed URI is interpreted as an ordinary filename. (source: uri.html, matrix: context, detail)
This option is used to enable or disable the fts3_tokenizer() function which is part of the FTS3 full-text search engine extension. (source: c3ref/c_dbconfig_defensive.html, matrix: context, detail)
Foreign key ON DELETE and ON UPDATE clauses are used to configure actions that take place when deleting rows from the parent table (ON DELETE), or modifying the parent key values of existing rows (ON UPDATE). (source: foreignkeys.html, checked-by: tcl/e_fkey.test, th3/req1/pragma02.test, matrix: context, detail)
The four-byte page number at offset 8 is the right-most pointer. This value appears in the header of interior b-tree pages only and is omitted from all other pages. (source: fileformat2.html, matrix: context, detail)
The cache size reverts to the default value when the database is closed and reopened. (source: pragma.html, checked-by: th3/req1/pragma09.test, matrix: context, detail)
Overflow pages form a linked list. (source: fileformat2.html, matrix: context, detail)
The page cache implementation may choose to evict unpinned pages at any time. (source: c3ref/pcache_methods2.html, matrix: context, detail)
(source: syntax/common-table-expression.html, matrix: context, detail)
(source: syntax/window-defn.html, matrix: context, detail)
Coalesce() must have at least 2 arguments. (source: lang_corefunc.html, checked-by: th3/cov1/func01.test, matrix: context, detail)
Specifying an unknown VFS is an error. (source: c3ref/open.html, checked-by: tcl/e_uri.test, matrix: context, detail)
Calls to sqlite3_blob_read() and sqlite3_blob_write() for an expired BLOB handle fail with a return code of SQLITE_ABORT. (source: c3ref/blob_open.html, checked-by: tcl/e_blobopen.test, matrix: context, detail)
Instead, such errors prevent the application from preparing SQL statements that modify the content of the child or parent tables in ways that use the foreign keys. (source: foreignkeys.html, checked-by: tcl/e_fkey.test, th3/req1/foreignkeys07.test, matrix: context, detail)
The "localtime" modifier (12) assumes the time string to its left is in Universal Coordinated Time (UTC) and adjusts the time string so that it displays localtime. (source: lang_datefunc.html, checked-by: th3/req1/date01.test, matrix: context, detail)
SQLITE_DONE means that the statement has finished executing successfully. (source: c3ref/step.html, matrix: context, detail)
The priority assigned to each node in the search is the lowest priority returned by any of the MATCH operators. (source: rtree.html, matrix: context, detail)
The sqlite3_expanded_sql() interface returns NULL if insufficient memory is available to hold the result, or if the result would exceed the the maximum string length determined by the SQLITE_LIMIT_LENGTH. (source: c3ref/expanded_sql.html, matrix: context, detail)
When there are multiple VFS shims in the stack, this opcode finds the upper-most shim only. (source: c3ref/c_fcntl_begin_atomic_write.html, matrix: context, detail)
When in write-ahead log mode, only the auto_vacuum support property can be changed using VACUUM. (source: lang_vacuum.html, checked-by: tcl/e_vacuum.test, matrix: context, detail)
Page 1 of a database file is the root page of a table b-tree that holds a special table named "sqlite_master" (or "sqlite_temp_master" in the case of a TEMP database) which stores the complete database schema. (source: fileformat2.html, matrix: context, detail)
The fifth parameter to the preupdate callback is the name of the table that is being modified. (source: c3ref/preupdate_count.html, matrix: context, detail)
If nByte is zero, then no prepared statement is generated. (source: c3ref/prepare.html, checked-by: th3/cov1/prepare07.test, matrix: context, detail)
This pragma only operates on the single database specified prior to the pragma name (or on the "main" database if no database is specified. (source: pragma.html, checked-by: th3/req1/pragma26.test, matrix: context, detail)
For example, if an UPDATE statement encountered a constraint violation on the 100th row that it attempts to update, then the first 99 row changes are preserved but changes to rows 100 and beyond never occur. (source: lang_conflict.html, checked-by: th3/req1/conflict01.test, matrix: context, detail)
The COLLATE clause optionally following each column name or expression defines a collating sequence used for text entries in that column. (source: lang_createindex.html, checked-by: th3/req1/createidx01.test, matrix: context, detail)
The 4-byte big-endian integer at offset 96 stores the SQLITE_VERSION_NUMBER value for the SQLite library that most recently modified the database file. (source: fileformat2.html, matrix: context, detail)
The first six modifiers (1 through 6) simply add the specified amount of time to the date and time specified by the preceding timestring and modifiers. (source: lang_datefunc.html, checked-by: th3/req1/date01.test, matrix: context, detail)
This routine enables or disables the sharing of the database cache and schema data structures between connections to the same database. Sharing is enabled if the argument is true and disabled if the argument is false. (source: c3ref/enable_shared_cache.html, matrix: context, detail)
This function is an SQL wrapper around the sqlite3_libversion() C-interface. (source: lang_corefunc.html, checked-by: src/func.c, th3/req1/func04.test, matrix: context, detail)
The COMMIT command commits all outstanding transactions and leaves the transaction stack empty. (source: lang_savepoint.html, matrix: context, detail)
If it is globally disabled, filenames are only interpreted as URIs if the SQLITE_OPEN_URI flag is set when the database connection is opened. (source: c3ref/c_config_covering_index_scan.html, checked-by: src/main.c, matrix: context, detail)
Setting the auto-checkpoint size to zero or a negative value turns auto-checkpointing off. (source: pragma.html, matrix: context, detail)
If the prefix integer is greater than +9223372036854775807 then the result of the cast is exactly +9223372036854775807. (source: lang_expr.html, checked-by: tcl/cast.test, th3/cov1/cast01.test, matrix: context, detail)
The affinity of a column is determined by the declared type of the column, according to the following rules in the order shown: (source: datatype3.html, checked-by: th3/req1/datatype3_01.test, matrix: context, detail)
SQLITE_LIMIT_VDBE_OP The maximum number of instructions in a virtual machine program used to implement an SQL statement. If sqlite3_prepare_v2() or the equivalent tries to allocate space for more than this many opcodes in a single prepared statement, an SQLITE_NOMEM error is returned. (source: c3ref/c_limit_attached.html, checked-by: th3/cov1/vdbe43.test, th3/req1/limit02.test, matrix: context, detail)
A rollback journal header is padded with zeros out to the size of a single sector (as defined by the sector size integer at offset 20). (source: fileformat2.html, matrix: context, detail)
When INSERT OR REPLACE encounters a constraint violation, it does not fail. The INSERT continues to completion after deleting rows that caused the constraint problem so INSERT OR REPLACE will always change the return value of this interface. (source: c3ref/last_insert_rowid.html, matrix: context, detail)
SQLite passes the module arguments directly to the xCreate and xConnect methods of the module implementation without any interpretation. (source: lang_createvtab.html, matrix: context, detail)
If the fullfsync flag is set, then the F_FULLFSYNC syncing method is used for all sync operations and the checkpoint_fullfsync setting is irrelevant. (source: pragma.html, checked-by: th3/req1/pragma11.test, matrix: context, detail)
When the auto_vacuum pragma is invoked with no arguments, it returns the current auto_vacuum mode. (source: pragma.html, checked-by: th3/req1/pragma07.test, matrix: context, detail)
If the input text looks like an integer (there is no decimal point nor exponent) and the value is small enough to fit in a 64-bit signed integer, then the result will be INTEGER. (source: lang_expr.html, checked-by: tcl/e_expr.test, th3/cov1/cast01.test, matrix: context, detail)
PRAGMA schema.max_page_count; PRAGMA schema.max_page_count = N; Query or set the maximum number of pages in the database file. (source: pragma.html, checked-by: th3/req1/pragma12.test, matrix: context, detail)
When overwriting the original, a rollback journal or write-ahead log WAL file is used just as it would be for any other database transaction. (source: lang_vacuum.html, matrix: context, detail)
This interface returns a pointer the sqlite3_mutex object that serializes access to the database connection given in the argument when the threading mode is Serialized. (source: c3ref/db_mutex.html, checked-by: th3/req1/dbmutex01.test, matrix: context, detail)
If sqlite3_close_v2() is called with unfinalized prepared statements, unclosed BLOB handlers, and/or unfinished sqlite3_backups, it returns SQLITE_OK regardless, but instead of deallocating the database connection immediately, it marks the database connection as an unusable "zombie" and makes arrangements to automatically deallocate the database connection after all prepared statements are finalized, all BLOB handles are closed, and all backups have finished. (source: c3ref/close.html, checked-by: th3/cov1/main39.test, matrix: context, detail)
SQLite will use the xCurrentTimeInt64() method to get the current date and time if that method is available (if iVersion is 2 or greater and the function pointer is not NULL) and will fall back to xCurrentTime() if xCurrentTimeInt64() is unavailable. (source: c3ref/vfs.html, checked-by: src/os.c, matrix: context, detail)
The sqlite3_free() routine is a no-op if is called with a NULL pointer. (source: c3ref/free.html, checked-by: src/malloc.c, th3/req1/malloc02.test, matrix: context, detail)
For UTF16 input text to the sqlite3_result_text16(), sqlite3_result_text16be(), sqlite3_result_text16le(), and sqlite3_result_text64() routines, if the text contains invalid UTF16 characters, the invalid characters might be converted into the unicode replacement character, U+FFFD. (source: c3ref/result_blob.html, matrix: context, detail)
you cannot create indices or triggers on a virtual table. (source: lang_createvtab.html, matrix: context, detail)
SQLite further guarantees that the string will be valid and unchanged until xClose() is called. (source: c3ref/vfs.html, checked-by: th3/th3testvfs.c, matrix: context, detail)
The second column is "main" for the main database file, "temp" for the database file used to store TEMP objects, or the name of the ATTACHed database for other database files. (source: pragma.html, checked-by: th3/req1/pragma14.test, matrix: context, detail)
If the busy-handler returns 0 before the writer lock is obtained or while waiting for database readers, the checkpoint operation proceeds from that point in the same way as SQLITE_CHECKPOINT_PASSIVE - checkpointing as many frames as possible without blocking any further. (source: c3ref/wal_checkpoint_v2.html, checked-by: tcl/e_walckpt.test, matrix: context, detail)
By contrast, if a statement modifies the contents of the database such that a deferred foreign key constraint is violated, the violation is not reported immediately. (source: foreignkeys.html, checked-by: tcl/e_fkey.test, th3/req1/foreignkeys12.test, matrix: context, detail)
SQLITE_ERROR means that a run-time error (such as a constraint violation) has occurred. (source: c3ref/step.html, matrix: context, detail)
A trace callback has four arguments: xCallback(T,C,P,X). (source: c3ref/c_trace.html, checked-by: th3/cov1/trace01.test, matrix: context, detail)
The sqlite3_str_new(D) interface always returns a pointer to a valid sqlite3_str object, though in the event of an out-of-memory error the returned object might be a special singleton that will silently reject new text, always return SQLITE_NOMEM from sqlite3_str_errcode(), always return 0 for sqlite3_str_length(), and always return NULL from sqlite3_str_finish(X). (source: c3ref/str_new.html, matrix: context, detail)
At the start of the first new write transaction, the WAL header salt-1 value is incremented and the salt-2 value is randomized. (source: fileformat2.html, matrix: context, detail)
The schema for the sqlite_sequence table is: CREATE TABLE sqlite_sequence(name,seq); (source: fileformat2.html, matrix: context, detail)
And auto_vacuum does not compact partially filled pages of the database as VACUUM does. (source: lang_vacuum.html, matrix: context, detail)
If N is greater than zero, then the analysis limit is set to N and subsequent ANALYZE commands will breaks off processing each index after it has examined approximately N rows. (source: pragma.html, matrix: context, detail)
The second argument is the index of the SQL parameter to be set. (source: c3ref/bind_blob.html, checked-by: th3/req1/bind01.test, matrix: context, detail)
Triggers are database operations that are automatically performed when a specified database event occurs. (source: lang_createtrigger.html, matrix: context, detail)
If the left and right-hand input datasets feature no common column names, then the NATURAL keyword has no effect on the results of the join. (source: lang_select.html, checked-by: tcl/e_select.test, matrix: context, detail)
Or, if the argument attached to the REINDEX identifies a specific database table, then all indices attached to the database table are rebuilt. (source: lang_reindex.html, checked-by: tcl/e_reindex.test, matrix: context, detail)
(source: syntax/update-stmt-limited.html, matrix: context, detail)
Note that you must use the keyword "CROSS" in order to disable the table reordering optimization; INNER JOIN, NATURAL JOIN, JOIN, and other similar combinations work just like a comma join in that the optimizer is free to reorder tables as it sees fit. (source: optoverview.html, matrix: context, detail)
If this variable is a NULL pointer, then SQLite assumes that all database files specified with a relative pathname are relative to the current directory for the process. (source: c3ref/data_directory.html, matrix: context, detail)
PRAGMA optimize; PRAGMA optimize(MASK); PRAGMA schema.optimize; PRAGMA schema.optimize(MASK); Attempt to optimize the database. (source: pragma.html, matrix: context, detail)
If sqlite3_backup_step(B,N) successfully copies N pages and there are still more pages to be copied, then the function returns SQLITE_OK. (source: c3ref/backup_finish.html, checked-by: th3/req1/backup03.test, matrix: context, detail)
Return the number of columns in the result set returned by the prepared statement. (source: c3ref/column_count.html, checked-by: th3/req1/datacnt01.test, th3/th3util.c, matrix: context, detail)
Unless deadlock is detected (see below), sqlite3_unlock_notify() always returns SQLITE_OK. (source: c3ref/unlock_notify.html, matrix: context, detail)
Hence, to find the current value of a limit without changing it, simply invoke this interface with the third parameter set to -1. (source: c3ref/limit.html, checked-by: th3/req1/limit01.test, matrix: context, detail)
None of the xSavepoint(), xRelease(), or xRollbackTo() methods will ever be called except in between calls to xBegin() and either xCommit() or xRollback(). (source: vtab.html, matrix: context, detail)
Thus with SQLite, there is no computational advantage to use the newer SQL92 join syntax over the older SQL89 comma-join syntax. They both end up accomplishing exactly the same thing on inner joins. (source: optoverview.html, matrix: context, detail)
An "at" sign works exactly like a colon, except that the name of the parameter created is @AAAA. (source: lang_expr.html, checked-by: tcl/e_expr.test, matrix: context, detail)
The sqlite3_wal_checkpoint_v2(D,X,M,L,C) interface runs a checkpoint operation on database X of database connection D in mode M. Status information is written back into integers pointed to by L and C. (source: c3ref/wal_checkpoint_v2.html, checked-by: tcl/e_walckpt.test, matrix: context, detail)
For an inner join, the two queries above would be identical. (source: optoverview.html, matrix: context, detail)
Setting the cache parameter to "private" is equivalent to setting the SQLITE_OPEN_PRIVATECACHE bit. (source: c3ref/open.html, checked-by: tcl/e_uri.test, matrix: context, detail)
Value is a big-endian 16-bit twos-complement integer. (source: fileformat2.html, checked-by: src/vdbeaux.c, th3/req1/fileformat02.test, matrix: context, detail)
(source: syntax/conflict-clause.html, matrix: context, detail)
If the argument is a table name, then only that table and the indices associated with that table are analyzed. (source: lang_analyze.html, checked-by: th3/req1/analyze01.test, matrix: context, detail)
When this flag is on, the ALTER TABLE RENAME command (for changing the name of a table) works as it did in SQLite 3.24.0 (2018-06-04) and earlier. (source: pragma.html, matrix: context, detail)
If a column-name list follows the view-name, then that list determines the names of the columns for the view. (source: lang_createview.html, matrix: context, detail)
If the join-operator is "CROSS JOIN", "INNER JOIN", "JOIN" or a comma (",") and there is no ON or USING clause, then the result of the join is simply the cartesian product of the left and right-hand datasets. (source: lang_select.html, checked-by: tcl/e_select.test, tcl/e_select2.test, matrix: context, detail)
SQLite makes a copy of the content of the sqlite3_mutex_methods structure before the call to sqlite3_config() returns. (source: c3ref/c_config_covering_index_scan.html, checked-by: th3/th3main.c, matrix: context, detail)
If the first pointer (the memory pointer) is NULL, then SQLite reverts to using its default memory allocator (the system malloc() implementation), undoing any prior invocation of SQLITE_CONFIG_MALLOC. (source: c3ref/c_config_covering_index_scan.html, checked-by: src/main.c, th3/th3oom.c, matrix: context, detail)
Otherwise, the BINARY collation sequence is used. (source: lang_select.html, checked-by: tcl/e_select.test, matrix: context, detail)
After each call to sqlite3_set_auxdata(C,N,P,X) where X is not NULL, SQLite will invoke the destructor function X with parameter P exactly once, when the metadata is discarded. (source: c3ref/get_auxdata.html, matrix: context, detail)
If there is a USING clause then each of the column names specified must exist in the datasets to both the left and right of the join-operator. (source: lang_select.html, checked-by: tcl/e_select.test, matrix: context, detail)
A protected sqlite3_value object may always be used where an unprotected sqlite3_value object is required, so either kind of sqlite3_value object can be used with this interface. (source: c3ref/result_blob.html, checked-by: th3/req1/result03.test, matrix: context, detail)
The xMutexInit method defined by this structure is invoked as part of system initialization by the sqlite3_initialize() function. (source: c3ref/mutex_methods.html, matrix: context, detail)
There is normally one row per index, with the index identified by the name in the sqlite_stat1.idx column. (source: fileformat2.html, matrix: context, detail)
A keyword in double-quotes is an identifier. (source: lang_keywords.html, checked-by: th3/req1/keyword01.test, matrix: context, detail)
The definition of GLOB pattern matching used in sqlite3_strglob(P,X) is the same as for the "X GLOB P" operator in the SQL dialect understood by SQLite. (source: c3ref/strglob.html, checked-by: th3/cov1/glob01.test, matrix: context, detail)
Both routines return a NULL pointer if sqlite3_malloc64() is unable to allocate enough memory to hold the resulting string. (source: c3ref/mprintf.html, matrix: context, detail)
The second argument is an integer constant, taken from the set of SQLITE_DBSTATUS options, that determines the parameter to interrogate. (source: c3ref/db_status.html, checked-by: th3/req1/dbstatus01.test, matrix: context, detail)
Hexadecimal integer literals follow the C-language notation of "0x" or "0X" followed by hexadecimal digits. (source: lang_expr.html, checked-by: th3/req1/expr01.test, matrix: context, detail)
Foreign key constraints are enabled, column zColumn is part of a child key definition and the blob is being opened for read/write access (source: c3ref/blob_open.html, checked-by: tcl/e_blobopen.test, th3/cov1/vdbeblob06.test, matrix: context, detail)
The legacy_file_format pragma can be used to change set the specific behavior for any version of SQLite. (source: lang_createindex.html, matrix: context, detail)
sqlite3_initialize() will invoke sqlite3_os_init(). (source: c3ref/initialize.html, matrix: context, detail)
The right-hand side of the LIKE or GLOB must be either a string literal or a parameter bound to a string literal that does not begin with a wildcard character. (source: optoverview.html, matrix: context, detail)
The result of an IN or NOT IN operator is determined by the following matrix: Left operand is NULL Right operand contains NULL Right operand is an empty set Left operand found within right operand Result of IN operator Result of NOT IN operator no no no no false true does not matter no yes no false true no does not matter no yes true false no yes no no NULL NULL yes does not matter no does not matter NULL NULL (source: lang_expr.html, checked-by: tcl/tkt-80e031a00f.test, matrix: context, detail)
The descending index schema format (4) takes index sort order into account. (source: lang_createindex.html, checked-by: th3/req1/createidx02.test, matrix: context, detail)
(source: syntax/column-name-list.html, matrix: context, detail)
Without this flag, sqlite3_prepare_v3() and sqlite3_prepare16_v3() assume that the prepared statement will be used just once or at most a few times and then destroyed using sqlite3_finalize() relatively soon. (source: c3ref/c_prepare_normalize.html, matrix: context, detail)
Once removed, the trigger definition is no longer present in the sqlite_master (or sqlite_temp_master) table and is not fired by any subsequent INSERT, UPDATE or DELETE statements. (source: lang_droptrigger.html, checked-by: tcl/e_droptrigger.test, matrix: context, detail)
The subquery may not be a recursive CTE. (source: optoverview.html, matrix: context, detail)
Thus if the BETWEEN term ends up being used as an index constraint no tests are ever performed on that term. (source: optoverview.html, matrix: context, detail)
When an applicable constraint violation occurs, the IGNORE resolution algorithm skips the one row that contains the constraint violation and continues processing subsequent rows of the SQL statement as if nothing went wrong. (source: lang_conflict.html, checked-by: th3/req1/conflict01.test, matrix: context, detail)
Any text input that describes a value outside the range of a 64-bit signed integer yields a REAL result. (source: lang_expr.html, checked-by: tcl/e_expr.test, th3/cov1/cast01.test, matrix: context, detail)
When an SQL table includes an INTEGER PRIMARY KEY column (which aliases the rowid) then that column appears in the record as a NULL value. (source: fileformat2.html, matrix: context, detail)
Value is a big-endian 48-bit twos-complement integer. (source: fileformat2.html, checked-by: src/vdbeaux.c, th3/req1/fileformat02.test, matrix: context, detail)
The list of query parameters appended to the xOpen filename is terminated by a single zero-length key. (source: uri.html, matrix: context, detail)
The first argument is a pointer to an sqlite3_rtree_geometry structure which provides information about how the SQL function was invoked. (source: rtree.html, matrix: context, detail)
For nested transactions, use the SAVEPOINT and RELEASE commands. (source: lang_transaction.html, matrix: context, detail)
Invoking sqlite3_soft_heap_limit64(0) when the hard heap limit is enabled makes the soft heap limit equal to the hard heap limit. (source: c3ref/hard_heap_limit64.html, matrix: context, detail)
The sqlite3_strglob(P,X) function is case sensitive. (source: c3ref/strglob.html, checked-by: th3/cov1/glob01.test, matrix: context, detail)
The first time the sqlite3_aggregate_context(C,N) routine is called for a particular aggregate function, SQLite allocates N bytes of memory, zeroes out that memory, and returns a pointer to the new memory. (source: c3ref/aggregate_context.html, checked-by: th3/req1/aggcntx01.test, matrix: context, detail)
It is harmless, apart from the wasted memory, for the sz parameter to be larger than necessary. (source: c3ref/c_config_covering_index_scan.html, checked-by: th3/cov1/main42.test, matrix: context, detail)
If the row that a BLOB handle points to is modified by an UPDATE, DELETE, or by ON CONFLICT side-effects then the BLOB handle is marked as "expired". This is true if any column of the row is changed, even a column other than the one the BLOB handle is open on. (source: c3ref/blob_open.html, checked-by: tcl/e_blobopen.test, matrix: context, detail)
In any database file that contains ptrmap pages, all b-tree root pages must come before any non-root b-tree page, cell payload overflow page, or freelist page. (source: fileformat2.html, matrix: context, detail)
SQLITE_NOMEM is returned if malloc() fails. (source: c3ref/bind_blob.html, checked-by: th3/req1/bind01.test, matrix: context, detail)
The default setting for auto-vacuum is 0 or "none", unless the SQLITE_DEFAULT_AUTOVACUUM compile-time option is used. (source: pragma.html, checked-by: th3/req1/pragma07.test, matrix: context, detail)
The sqlite3_preupdate_hook() interface registers a callback function that is invoked prior to each INSERT, UPDATE, and DELETE operation on a database table. (source: c3ref/preupdate_count.html, matrix: context, detail)
Database locks obtained by a connection in EXCLUSIVE mode may be released either by closing the database connection, or by setting the locking-mode back to NORMAL using this pragma and then accessing the database file (for read or write). (source: pragma.html, checked-by: th3/req1/pragma04.test, matrix: context, detail)
The value will be valid until the database N is DETACH-ed or until the database connection closes. (source: c3ref/db_filename.html, matrix: context, detail)
The trim(X,Y) function returns a string formed by removing any and all characters that appear in Y from both ends of X. (source: lang_corefunc.html, checked-by: th3/req1/func03.test, matrix: context, detail)
One is the usual increment. (source: autoinc.html, checked-by: th3/req1/autoinc01.test, matrix: context, detail)
The callback can compute the same text that would have been returned by the legacy sqlite3_trace() interface by using the X argument when X begins with "--" and invoking sqlite3_expanded_sql(P) otherwise. (source: c3ref/c_trace.html, checked-by: src/vdbe.c, matrix: context, detail)
If Y is an empty string then return X unchanged. (source: lang_corefunc.html, checked-by: th3/req1/func03.test, matrix: context, detail)
In WAL mode when synchronous is NORMAL (1), the WAL file is synchronized before each checkpoint and the database file is synchronized after each completed checkpoint and the WAL file header is synchronized when a WAL file begins to be reused after a checkpoint, but no sync operations occur during most transactions. (source: pragma.html, matrix: context, detail)
If the SQL statement being executed returns any data, then SQLITE_ROW is returned each time a new row of data is ready for processing by the caller. (source: c3ref/step.html, matrix: context, detail)
Aggregate max() returns NULL if and only if there are no non-NULL values in the group. (source: lang_aggfunc.html, checked-by: th3/req1/aggfunc01.test, matrix: context, detail)
Regardless of the compile-time or start-time settings, URI filenames can be enabled for individual database connections by including the SQLITE_OPEN_URI bit in the set of bits passed as the F parameter to sqlite3_open_v2(N,P,F,V). (source: uri.html, checked-by: th3/th3script.c, th3/th3scriptDemo.c, matrix: context, detail)
The sqlite3_backup_finish() interfaces releases all resources associated with the sqlite3_backup object. (source: c3ref/backup_finish.html, matrix: context, detail)
Return the index of an SQL parameter given its name. (source: c3ref/bind_parameter_index.html, checked-by: th3/req1/bind03.test, matrix: context, detail)
The sqlite3_realloc(X,N) interface attempts to resize a prior memory allocation X to be at least N bytes. (source: c3ref/free.html, checked-by: th3/req1/malloc02.test, matrix: context, detail)
If the flags parameter is non-zero, then the BLOB is opened for read and write access. (source: c3ref/blob_open.html, checked-by: tcl/e_blobopen.test, th3/cov1/vdbeblob01.test, matrix: context, detail)
Frequent inserts, updates, and deletes can cause the database file to become fragmented - where data for a single table or index is scattered around the database file. (source: lang_vacuum.html, checked-by: tcl/e_vacuum.test, matrix: context, detail)
The sqlite3_preupdate_depth(D) interface returns 0 if the preupdate callback was invoked as a result of a direct insert, update, or delete operation; or 1 for inserts, updates, or deletes invoked by top-level triggers; or 2 for changes resulting from triggers called by top-level triggers; and so forth. (source: c3ref/preupdate_count.html, matrix: context, detail)
The julianday() function returns the Julian day - the number of days since noon in Greenwich on November 24, 4714 B.C. (Proleptic Gregorian calendar). (source: lang_datefunc.html, checked-by: th3/req1/date01.test, matrix: context, detail)
If sqlite3_malloc() fails during the processing of either routine (for example during a conversion from UTF-8 to UTF-16) then a NULL pointer is returned. (source: c3ref/column_name.html, matrix: context, detail)
The results of an ANALYZE command are only available to database connections that are opened after the ANALYZE command completes. (source: optoverview.html, matrix: context, detail)
The foreign key declared as part of table child4 is an error because even though the parent key column is indexed, the index is not UNIQUE. (source: foreignkeys.html, checked-by: tcl/e_fkey.test, th3/req1/foreignkeys07.test, matrix: context, detail)
The sqlite3_bind_parameter_name(P,N) interface returns the name of the N-th SQL parameter in the prepared statement P. (source: c3ref/bind_parameter_name.html, checked-by: th3/req1/bind04.test, matrix: context, detail)
To specify a ROWID manually, just include it in the list of values to be inserted. For example: CREATE TABLE test1(a INT, b TEXT); INSERT INTO test1(rowid, a, b) VALUES(123, 5, 'hello'); (source: autoinc.html, checked-by: th3/req1/autoinc01.test, matrix: context, detail)
The fragment is optional. If present, it is ignored. (source: uri.html, matrix: context, detail)
The SQLITE_CONFIG_GETMUTEX option takes a single argument which is a pointer to an instance of the sqlite3_mutex_methods structure. The sqlite3_mutex_methods structure is filled with the currently defined mutex routines. (source: c3ref/c_config_covering_index_scan.html, checked-by: th3/th3main.c, matrix: context, detail)
In a well-formed database, all children of an interior b-tree have the same depth. (source: fileformat2.html, matrix: context, detail)
The last transaction started will be the first transaction committed or rolled back. (source: lang_savepoint.html, matrix: context, detail)
The sqlite3_result_int() interface sets the return value of the application-defined function to be the 32-bit signed integer value given in the 2nd argument. (source: c3ref/result_blob.html, checked-by: th3/req1/result01.test, matrix: context, detail)
The SQLITE_CONFIG_GETMALLOC option takes a single argument which is a pointer to an instance of the sqlite3_mem_methods structure. The sqlite3_mem_methods structure is filled with the currently defined memory allocation routines. (source: c3ref/c_config_covering_index_scan.html, checked-by: src/main.c, th3/th3oom.c, matrix: context, detail)
The collation sequence used to compare two text values is determined as if the columns of the left and right-hand SELECT statements were the left and right-hand operands of the equals (=) operator, except that greater precedence is not assigned to a collation sequence specified with the postfix COLLATE operator. (source: lang_select.html, checked-by: tcl/e_select.test, matrix: context, detail)
Otherwise, the BINARY collating function is used for comparison. (source: datatype3.html, checked-by: th3/req1/datatype3_09.test, matrix: context, detail)
The subquery is not DISTINCT. (source: optoverview.html, matrix: context, detail)
For example, given the database schema: CREATE TABLE t1(c1 VARIANT); and the following statement to be compiled: SELECT c1 + 1, c1 FROM t1; this routine would return the string "VARIANT" for the second result column (i==1), and a NULL pointer for the first result column (i==0). (source: c3ref/column_decltype.html, matrix: context, detail)
SQLite interprets the error message string from sqlite3_result_error() as UTF-8. (source: c3ref/result_blob.html, checked-by: th3/req1/result01.test, matrix: context, detail)
PRAGMA schema.synchronous; PRAGMA schema.synchronous = 0 | OFF | 1 | NORMAL | 2 | FULL | 3 | EXTRA; Query or change the setting of the "synchronous" flag. (source: pragma.html, matrix: context, detail)
Zero or more escape sequences of the form "%HH" (where H represents any hexadecimal digit) can occur in the path, query string, or fragment. (source: uri.html, matrix: context, detail)
This technique allows multiple concurrent readers to view different versions of the database content simultaneously. (source: fileformat2.html, matrix: context, detail)
If the default VFS is unregistered, another VFS is chosen as the default. The choice for the new VFS is arbitrary. (source: c3ref/vfs_find.html, checked-by: th3/req1/vfs01.test, matrix: context, detail)
The infix LIKE operator is implemented by calling the application-defined SQL functions like(Y,X) or like(Y,X,Z). (source: lang_expr.html, checked-by: tcl/e_expr.test, matrix: context, detail)
If the integer at offset 52 is zero then pointer-map (ptrmap) pages are omitted from the database file and neither auto_vacuum nor incremental_vacuum are supported. (source: fileformat2.html, matrix: context, detail)
Except for WITHOUT ROWID tables, all rows within SQLite tables have a 64-bit signed integer key that uniquely identifies the row within its table. (source: lang_createtable.html, checked-by: src/resolve.c, matrix: context, detail)
Within a single database connection X, a SELECT statement always sees all changes to the database that are completed prior to the start of the SELECT statement, whether committed or uncommitted. (source: isolation.html, matrix: context, detail)
The return value of the sqlite3_threadsafe() function shows only the compile-time setting of thread safety, not any run-time changes to that setting made by sqlite3_config(). In other words, the return value from sqlite3_threadsafe() is unchanged by calls to sqlite3_config(). (source: c3ref/threadsafe.html, checked-by: th3/th3main.c, matrix: context, detail)
Attempts to increase a limit above its hard upper bound are silently truncated to the hard upper bound. (source: c3ref/limit.html, checked-by: src/main.c, th3/req1/limit01.test, matrix: context, detail)
Unless SQLite is running in "auto_vacuum=FULL" mode, when a large amount of data is deleted from the database file it leaves behind empty space, or "free" database pages. (source: lang_vacuum.html, checked-by: tcl/e_vacuum.test, matrix: context, detail)
The last_insert_rowid() SQL function is a wrapper around the sqlite3_last_insert_rowid() C/C++ interface function. (source: lang_corefunc.html, checked-by: src/func.c, matrix: context, detail)
If a REAL is greater than the greatest possible signed integer (+9223372036854775807) then the result is the greatest possible signed integer and if the REAL is less than the least possible signed integer (-9223372036854775808) then the result is the least possible signed integer. (source: lang_expr.html, checked-by: tcl/e_expr.test, matrix: context, detail)
The blocked connections unlock-notify callback may also be canceled by closing the blocked connection using sqlite3_close(). (source: c3ref/unlock_notify.html, matrix: context, detail)
However, if SQLite is compiled with the SQLITE_OMIT_AUTOINIT compile-time option, then the automatic calls to sqlite3_initialize() are omitted and the application must call sqlite3_initialize() directly prior to using any other SQLite interface. (source: c3ref/initialize.html, matrix: context, detail)
If URI handling is globally enabled, all filenames passed to sqlite3_open(), sqlite3_open_v2(), sqlite3_open16() or specified as part of ATTACH commands are interpreted as URIs, regardless of whether or not the SQLITE_OPEN_URI flag is set when the database connection is opened. (source: c3ref/c_config_covering_index_scan.html, checked-by: src/main.c, matrix: context, detail)
The sqlite3_value objects that are passed as parameters into the implementation of application-defined SQL functions are protected. (source: c3ref/value.html, checked-by: th3/req1/value01.test, matrix: context, detail)
When grouping values with the GROUP BY clause values with different storage classes are considered distinct, except for INTEGER and REAL values which are considered equal if they are numerically equal. (source: datatype3.html, checked-by: th3/req1/datatype3_07.test, matrix: context, detail)
This routine can be used to find the number of SQL parameters in a prepared statement. (source: c3ref/bind_parameter_count.html, checked-by: th3/req1/bindparamcnt01.test, matrix: context, detail)
This mode blocks new database writers while it is pending, but new database readers are allowed to continue unimpeded. (source: c3ref/wal_checkpoint_v2.html, checked-by: tcl/e_walckpt.test, matrix: context, detail)
The page size for a database file is determined by the 2-byte integer located at an offset of 16 bytes from the beginning of the database file. (source: fileformat2.html, checked-by: src/btree.c, matrix: context, detail)
If the fourth parameter is a NULL pointer then the default sqlite3_vfs object is used. (source: c3ref/open.html, matrix: context, detail)
If an sqlite3 object is destroyed while a transaction is open, the transaction is automatically rolled back. (source: c3ref/close.html, checked-by: th3/cov1/main23.test, matrix: context, detail)
If the Y argument is omitted, it is assumed to be 0. (source: lang_corefunc.html, checked-by: th3/cov1/func02.test, matrix: context, detail)
A value of 3 means UTF-16be. (source: fileformat2.html, checked-by: th3/req1/fileformat03.test, matrix: context, detail)
The single row of result-set data created by evaluating the aggregate and non-aggregate expressions in the result-set forms the result of an aggregate query without a GROUP BY clause. (source: lang_select.html, checked-by: tcl/e_select.test, matrix: context, detail)
When the same named SQL parameter is used more than once, second and subsequent occurrences have the same index as the first occurrence. (source: c3ref/bind_blob.html, checked-by: th3/req1/bind01.test, matrix: context, detail)
The difference between this pragma and cache_size is that the value set here persists across database connections. (source: pragma.html, checked-by: th3/req1/pragma09.test, matrix: context, detail)
Then valid content of the WAL is transferred into the database file. (source: fileformat2.html, matrix: context, detail)
WAL databases can be accessed in EXCLUSIVE mode without the use of shared memory. (source: pragma.html, checked-by: th3/req1/pragma05.test, matrix: context, detail)
The GLOB operator is similar to LIKE but uses the Unix file globbing syntax for its wildcards. (source: lang_expr.html, checked-by: tcl/e_expr.test, matrix: context, detail)
Compute the time since the unix epoch in seconds (like strftime('%s','now') except includes fractional part): SELECT (julianday('now') - 2440587.5)*86400.0; (source: lang_datefunc.html, checked-by: th3/req1/date01.test, matrix: context, detail)
Disable the authorizer by installing a NULL callback. (source: c3ref/set_authorizer.html, checked-by: tcl/auth.test, th3/cov1/auth01.test, matrix: context, detail)
Otherwise the two pragmas are the same. (source: pragma.html, matrix: context, detail)
The database file is truncated by the same amount. (source: pragma.html, checked-by: th3/req1/pragma21.test, matrix: context, detail)
A new entry is inserted into the table for each row of data returned by executing the SELECT statement. (source: lang_insert.html, checked-by: tcl/e_insert.test, matrix: context, detail)
The REINDEX command is used to delete and recreate indices from scratch. (source: lang_reindex.html, checked-by: tcl/e_reindex.test, matrix: context, detail)
When temp_store is MEMORY (2) temporary tables and indices are kept in as if they were pure in-memory databases memory. (source: pragma.html, matrix: context, detail)
The "const char *" variable pointed to by the V parameter will be set to a zero-terminated UTF-8 string containing the EXPLAIN QUERY PLAN description for the X-th loop. (source: c3ref/c_scanstat_est.html, checked-by: th3/cov1/status02.test, matrix: context, detail)
The update hook is not invoked when internal system tables are modified (i.e. sqlite_master and sqlite_sequence). (source: c3ref/update_hook.html, checked-by: tcl/hook.test, matrix: context, detail)
At this time SQLite supports only FOR EACH ROW triggers, not FOR EACH STATEMENT triggers. (source: lang_createtrigger.html, matrix: context, detail)
When the right operand is an empty set, the result of IN is false and the result of NOT IN is true, regardless of the left operand and even if the left operand is NULL. (source: lang_expr.html, checked-by: tcl/tkt-80e031a00f.test, matrix: context, detail)
If this option is set to an empty string the default VFS object is used. (source: c3ref/open.html, checked-by: tcl/e_uri.test, matrix: context, detail)
If the resetFlg is true, then the counter is reset to zero after this interface call returns. (source: c3ref/stmt_status.html, matrix: context, detail)
The value of a subquery expression is NULL if the enclosed SELECT statement returns no rows. (source: lang_expr.html, checked-by: tcl/e_expr.test, matrix: context, detail)
The integrity_check pragma looks for out-of-order records, missing pages, malformed records, missing index entries, and UNIQUE, CHECK, and NOT NULL constraint errors. (source: pragma.html, matrix: context, detail)
Each table in SQLite may have at most one PRIMARY KEY. (source: lang_createtable.html, checked-by: tcl/e_createtable.test, matrix: context, detail)
This optimization is completely invisible at the SQL level and can only be detected by examining the raw bits of the database file. (source: datatype3.html, checked-by: th3/req1/datatype3_12.test, matrix: context, detail)
If the new limit is a negative number, the limit is unchanged. (source: c3ref/limit.html, checked-by: src/main.c, th3/req1/limit01.test, matrix: context, detail)
If the sqlite_sequence row for an AUTOINCREMENT table does not exist when the AUTOINCREMENT table is updated, then a new sqlite_sequence row is created. (source: fileformat2.html, matrix: context, detail)
Expressed in SQL, this means that for every row in the track table, the following expression evaluates to true: trackartist IS NULL OR EXISTS(SELECT 1 FROM artist WHERE artistid=trackartist) (source: foreignkeys.html, checked-by: tcl/e_fkey.test, th3/req1/foreignkeys01.test, matrix: context, detail)
SQLITE_DBSTATUS_CACHE_WRITE This parameter returns the number of dirty cache entries that have been written to disk. Specifically, the number of pages written to the wal file in wal mode databases, or the number of pages written to the database file in rollback mode databases. Any pages written as part of transaction rollback or database recovery operations are not included. If an IO or other error occurs while writing a page to disk, the effect on subsequent SQLITE_DBSTATUS_CACHE_WRITE requests is undefined. (source: c3ref/c_dbstatus_options.html, matrix: context, detail)
If a suffix is added to the zFilename parameter, it will consist of a single "-" character followed by no more than 11 alphanumeric and/or "-" characters. (source: c3ref/vfs.html, checked-by: th3/th3testvfs.c, matrix: context, detail)
So to insert some data into our sample R*Tree index, we can do something like this: INSERT INTO demo_index VALUES( 1, -- Primary key -- SQLite.org headquarters -80.7749, -80.7747, -- Longitude range 35.3776, 35.3778 -- Latitude range ); INSERT INTO demo_index VALUES( 2, -- NC 12th Congressional District in 2010 -81.0, -79.6, 35.0, 36.2 ); The entries above might represent (for example) a bounding box around the main office for SQLite.org and bounding box around the 12th Congressional District of North Carolina (prior to the 2011 redistricting) in which SQLite.org was located. 3.3. Querying An R*Tree Index Any valid query will work against an R*Tree index. But the R*Tree implementation is designed to make two kinds of queries especially efficient. First, queries against the primary key are efficient: SELECT * FROM demo_index WHERE id=1; Of course, an ordinary SQLite table will also do a query against its integer primary key efficiently, so the previous is no big deal. The real reason for using an R*Tree is so that you can efficiently do inequality queries against the coordinate ranges. To find all elements of the index that are contained within the vicinity of Charlotte, North Carolina, one might do: SELECT id FROM demo_index WHERE minX>=-81.08 AND maxX<=-80.58 AND minY>=35.00 AND maxY<=35.44; The query above would very quickly locate the id of 1 even if the R*Tree contained millions of entries. The previous is an example of a "contained-within" query. The R*Tree also supports "overlapping" queries. For example, to find all bounding boxes that overlap the Charlotte area: SELECT id FROM demo_index WHERE maxX>=-81.08 AND minX<=-80.58 AND maxY>=35.00 AND minY<=35.44; This second query would find both entry 1 (the SQLite.org office) which is entirely contained within the query box and also the 12th Congressional District which extends well outside the query box but still overlaps the query box. (source: rtree.html, matrix: context, detail)
For the purposes of determining the uniqueness of primary key values, NULL values are considered distinct from all other values, including other NULLs. (source: lang_createtable.html, checked-by: tcl/e_createtable.test, matrix: context, detail)
The rowid value can be accessed using one of the special case-independent names "rowid", "oid", or "_rowid_" in place of a column name. (source: lang_createtable.html, checked-by: tcl/e_createtable.test, matrix: context, detail)
The max() aggregate function returns the maximum value of all values in the group. (source: lang_aggfunc.html, checked-by: th3/req1/aggfunc01.test, matrix: context, detail)
The first parameter passed to the callback function when it is invoked is a copy of the third parameter passed to sqlite3_wal_hook() when registering the callback. (source: c3ref/wal_hook.html, checked-by: tcl/e_walhook.test, matrix: context, detail)
All terms of the WHERE clause are analyzed to see if they can be satisfied using indices. (source: optoverview.html, matrix: context, detail)
These functions only work for dates between 0000-01-01 00:00:00 and 9999-12-31 23:59:59 (julian day numbers 1721059.5 through 5373484.5). (source: lang_datefunc.html, checked-by: th3/req1/date01.test, matrix: context, detail)
The default transaction behavior is DEFERRED. (source: lang_transaction.html, matrix: context, detail)
The first parameter is the prepared statement that implements the SELECT statement. (source: c3ref/column_name.html, matrix: context, detail)
The third parameter is a pointer to the implementation of the virtual table module. (source: c3ref/create_module.html, matrix: context, detail)
In some cases, VACUUM may also reduce the number of partially filled pages in the database, reducing the size of the database file further. (source: lang_vacuum.html, matrix: context, detail)
This function is a wrapper around the sqlite3_total_changes() C/C++ interface. (source: lang_corefunc.html, checked-by: src/func.c, matrix: context, detail)
Before the path or query components of a URI filename are interpreted, they are encoded using UTF-8 and all hexadecimal escape sequences replaced by a single byte containing the corresponding octet. (source: c3ref/open.html, checked-by: tcl/e_uri.test, matrix: context, detail)
SQLite defines three built-in collating functions: (source: fileformat2.html, checked-by: src/main.c, matrix: context, detail)
N is zero for the left-most function argument. (source: c3ref/get_auxdata.html, matrix: context, detail)
A URI filename can optionally be followed by a query string. (source: uri.html, matrix: context, detail)
The soft heap limit may not be greater than the hard heap limit. (source: c3ref/hard_heap_limit64.html, matrix: context, detail)
For rows that define views, triggers, and virtual tables, the rootpage column is 0 or NULL. (source: fileformat2.html, matrix: context, detail)
If the locking mode is NORMAL when first entering WAL journal mode, then the locking mode can be changed between NORMAL and EXCLUSIVE and back again at any time and without needing to exit WAL journal mode. (source: pragma.html, checked-by: th3/req1/pragma05.test, matrix: context, detail)
The highwater mark associated with SQLITE_DBSTATUS_SCHEMA_USED is always 0. (source: c3ref/c_dbstatus_options.html, checked-by: th3/req1/dbstatus01.test, th3/req1/dbstatus02.test, matrix: context, detail)
This routine registers an authorizer callback with a particular database connection, supplied in the first argument. (source: c3ref/set_authorizer.html, checked-by: th3/cov1/auth01.test, matrix: context, detail)
Names are case sensitive. (source: c3ref/vfs_find.html, checked-by: th3/req1/vfs01.test, matrix: context, detail)
SQLITE_DBSTATUS_LOOKASIDE_MISS_FULL This parameter returns the number malloc attempts that might have been satisfied using lookaside memory but failed due to all lookaside memory already being in use. Only the high-water value is meaningful; the current value is always zero. (source: c3ref/c_dbstatus_options.html, matrix: context, detail)
The following is a complete list of valid strftime() substitutions: %d day of month: 00 %f fractional seconds: SS.SSS %H hour: 00-24 %j day of year: 001-366 %J Julian day number %m month: 01-12 %M minute: 00-59 %s seconds since 1970-01-01 %S seconds: 00-59 %w day of week 0-6 with Sunday==0 %W week of year: 00-53 %Y year: 0000-9999 %% % (source: lang_datefunc.html, checked-by: th3/req1/date01.test, matrix: context, detail)
When synchronous is FULL (2), the SQLite database engine will use the xSync method of the VFS to ensure that all content is safely written to the disk surface prior to continuing. (source: pragma.html, matrix: context, detail)
D is either a NULL pointer or a pointer to a destructor function for P. (source: c3ref/bind_blob.html, checked-by: th3/cov1/carray01.test, matrix: context, detail)
The sqlite3_create_module() interface is equivalent to sqlite3_create_module_v2() with a NULL destructor. (source: c3ref/create_module.html, matrix: context, detail)
SQLITE_DBSTATUS_SCHEMA_USED This parameter returns the approximate number of bytes of heap memory used to store the schema for all databases associated with the connection - main, temp, and any ATTACH-ed databases. (source: c3ref/c_dbstatus_options.html, checked-by: th3/req1/dbstatus02.test, matrix: context, detail)
An error is raised if the "AUTOINCREMENT" keyword is used in the CREATE TABLE statement for a WITHOUT ROWID table. (source: withoutrowid.html, checked-by: tcl/without_rowid5.test, th3/cov1/withoutrowid01.test, matrix: context, detail)
The incremental blob I/O routines can only read or overwriting existing blob content; they cannot change the size of a blob. (source: c3ref/blob_bytes.html, checked-by: tcl/e_blobbytes.test, th3/cov1/vdbeblob01.test, matrix: context, detail)
A special SQL function RAISE() may be used within a trigger-program, (source: lang_createtrigger.html, matrix: context, detail)
SQLite will never invoke SQLITE_FCNTL_ROLLBACK_ATOMIC_WRITE without a prior successful call to SQLITE_FCNTL_BEGIN_ATOMIC_WRITE. (source: c3ref/c_fcntl_begin_atomic_write.html, matrix: context, detail)
If sqlite3_backup_step(B,N) successfully finishes copying all pages from source to destination, then it returns SQLITE_DONE. (source: c3ref/backup_finish.html, checked-by: th3/req1/backup03.test, matrix: context, detail)
The content of each SQL table row is stored in the database file by first combining the values in the various columns into a byte array in the record format, then storing that byte array as the payload in an entry in the table b-tree. (source: fileformat2.html, matrix: context, detail)
sqlite> EXPLAIN QUERY PLAN SELECT a FROM t1 EXCEPT SELECT d FROM t2 ORDER BY 1; QUERY PLAN `--MERGE (EXCEPT) |--LEFT | `--SCAN TABLE t1 USING COVERING INDEX i1 `--RIGHT |--SCAN TABLE t2 `--USE TEMP B-TREE FOR ORDER BY (source: eqp.html, matrix: context, detail)
The fourth parameter, eTextRep, specifies what text encoding this SQL function prefers for its parameters. (source: c3ref/create_function.html, checked-by: th3/req1/createfunc04.test, matrix: context, detail)
If it is used by the second or subsequent such statement within a trigger program, the value returned reflects the number of rows modified by the previous INSERT, UPDATE or DELETE statement within the same trigger. (source: c3ref/changes.html, checked-by: tcl/e_changes.test, matrix: context, detail)
(source: syntax/rollback-stmt.html, matrix: context, detail)
If the Nth column returned by the statement is an expression or subquery and is not a column value, then all of these functions return NULL. (source: c3ref/column_database_name.html, matrix: context, detail)
Virtual terms are used for analysis only and do not cause any byte-code to be generated. (source: optoverview.html, matrix: context, detail)
For the index above and WHERE clause like this: ... WHERE a=5 AND b IN (1,2,3) AND c>12 AND d='hello' Only columns a, b, and c of the index would be usable. The d column would not be usable because it occurs to the right of c and c is constrained only by inequalities. (source: optoverview.html, matrix: context, detail)
Regardless of whether or not the limit was changed, the sqlite3_limit() interface returns the prior value of the limit. (source: c3ref/limit.html, checked-by: src/main.c, th3/req1/limit01.test, matrix: context, detail)
CREATE TABLE t1( x INTEGER PRIMARY KEY, a, /* collating sequence BINARY */ b COLLATE BINARY, /* collating sequence BINARY */ c COLLATE RTRIM, /* collating sequence RTRIM */ d COLLATE NOCASE /* collating sequence NOCASE */ ); /* x a b c d */ INSERT INTO t1 VALUES(1,'abc','abc', 'abc ','abc'); INSERT INTO t1 VALUES(2,'abc','abc', 'abc', 'ABC'); INSERT INTO t1 VALUES(3,'abc','abc', 'abc ', 'Abc'); INSERT INTO t1 VALUES(4,'abc','abc ','ABC', 'abc'); /* Text comparison a=b is performed using the BINARY collating sequence. */ SELECT x FROM t1 WHERE a = b ORDER BY x; --result 1 2 3 /* Text comparison a=b is performed using the RTRIM collating sequence. */ SELECT x FROM t1 WHERE a = b COLLATE RTRIM ORDER BY x; --result 1 2 3 4 /* Text comparison d=a is performed using the NOCASE collating sequence. */ SELECT x FROM t1 WHERE d = a ORDER BY x; --result 1 2 3 4 /* Text comparison a=d is performed using the BINARY collating sequence. */ SELECT x FROM t1 WHERE a = d ORDER BY x; --result 1 4 /* Text comparison 'abc'=c is performed using the RTRIM collating sequence. */ SELECT x FROM t1 WHERE 'abc' = c ORDER BY x; --result 1 2 3 /* Text comparison c='abc' is performed using the RTRIM collating sequence. */ SELECT x FROM t1 WHERE c = 'abc' ORDER BY x; --result 1 2 3 /* Grouping is performed using the NOCASE collating sequence (Values ** 'abc', 'ABC', and 'Abc' are placed in the same group). */ SELECT count(*) FROM t1 GROUP BY d ORDER BY 1; --result 4 /* Grouping is performed using the BINARY collating sequence. 'abc' and ** 'ABC' and 'Abc' form different groups */ SELECT count(*) FROM t1 GROUP BY (d || '') ORDER BY 1; --result 1 1 2 /* Sorting or column c is performed using the RTRIM collating sequence. */ SELECT x FROM t1 ORDER BY c, x; --result 4 1 2 3 /* Sorting of (c||'') is performed using the BINARY collating sequence. */ SELECT x FROM t1 ORDER BY (c||''), x; --result 4 2 3 1 /* Sorting of column c is performed using the NOCASE collating sequence. */ SELECT x FROM t1 ORDER BY c COLLATE NOCASE, x; --result 2 4 3 1 (source: datatype3.html, checked-by: th3/req1/datatype3_08.test, matrix: context, detail)
PRAGMA schema.locking_mode; PRAGMA schema.locking_mode = NORMAL | EXCLUSIVE (source: pragma.html, checked-by: th3/req1/pragma04.test, matrix: context, detail)
If either argument to this option is negative, then that argument is changed to its compile-time default. (source: c3ref/c_config_covering_index_scan.html, checked-by: src/main.c, matrix: context, detail)
An expression of the form "CAST(expr AS type)" has an affinity that is the same as a column with a declared type of "type". (source: datatype3.html, checked-by: th3/req1/datatype3_05.test, matrix: context, detail)
If this variable is a NULL pointer, then SQLite performs a search for an appropriate temporary file directory. (source: c3ref/temp_directory.html, matrix: context, detail)
The likely(X) function is equivalent to likelihood(X,0.9375). (source: lang_corefunc.html, checked-by: src/resolve.c, matrix: context, detail)
If the Nth column of the result set is an expression or subquery, then a NULL pointer is returned. (source: c3ref/column_decltype.html, matrix: context, detail)
The flags argument to xAccess() may be SQLITE_ACCESS_EXISTS to test for the existence of a file, or SQLITE_ACCESS_READWRITE to test whether a file is readable and writable, or SQLITE_ACCESS_READ to test whether a file is at least readable. (source: c3ref/vfs.html, checked-by: th3/th3testvfs.c, matrix: context, detail)
A 4-dimensional R*Tree has 9 columns. (source: rtree.html, matrix: context, detail)
The lookaside memory configuration for a database connection can only be changed when that connection is not currently using lookaside memory, or in other words when the "current value" returned by sqlite3_db_status(D,SQLITE_CONFIG_LOOKASIDE,...) is zero. Any attempt to change the lookaside memory configuration when lookaside memory is in use leaves the configuration unchanged and returns SQLITE_BUSY. (source: c3ref/c_dbconfig_defensive.html, checked-by: th3/req1/dbconfig01.test, matrix: context, detail)
The sqlite3_backup_step() might return SQLITE_READONLY if the destination database was opened read-only, or the destination database is using write-ahead-log journaling and the destination and source page sizes differ, or the destination database is an in-memory database and the destination and source page sizes differ. (source: c3ref/backup_finish.html, matrix: context, detail)
BINARY - Compares string data using memcmp(), regardless of text encoding. (source: datatype3.html, checked-by: th3/req1/datatype3_09.test, matrix: context, detail)
The sqlite3_libversion() function returns a pointer to the to the sqlite3_version[] string constant. (source: c3ref/libversion.html, checked-by: src/main.c, matrix: context, detail)
This pragma is a no-op within a transaction; foreign key constraint enforcement may only be enabled or disabled when there is no pending BEGIN or SAVEPOINT. (source: pragma.html, checked-by: th3/req1/pragma18.test, matrix: context, detail)
The values returned by these functions are only updated by sqlite3_backup_step(). If the source database is modified in a way that changes the size of the source database or the number of pages remaining, those changes are not reflected in the output of sqlite3_backup_pagecount() and sqlite3_backup_remaining() until after the next sqlite3_backup_step(). (source: c3ref/backup_finish.html, matrix: context, detail)
The unary operator + is a no-op. (source: lang_expr.html, checked-by: tcl/e_expr.test, matrix: context, detail)
If X comes from an SQL literal value, or a table column, or an expression, then sqlite3_value_frombind(X) returns zero. (source: c3ref/value_blob.html, matrix: context, detail)
The string value returned by this routine is owned and managed by the database connection. (source: c3ref/db_filename.html, matrix: context, detail)
If the expression is an aggregate expression, it is evaluated across all rows in the group. (source: lang_select.html, checked-by: tcl/e_select.test, matrix: context, detail)
If this global variable is made to point to a string which is the name of a folder (a.k.a. directory), then all temporary files created by SQLite when using a built-in VFS will be placed in that directory. (source: c3ref/temp_directory.html, matrix: context, detail)
The new row must meet the same criteria as for sqlite3_blob_open() - it must exist and there must be either a blob or text value stored in the nominated column. (source: c3ref/blob_reopen.html, checked-by: th3/req1/blob01.test, matrix: context, detail)
The exact same sqlite3_rtree_geometry structure is used for every callback for same MATCH operator in the same query. (source: rtree.html, matrix: context, detail)
The argument N is the maximum number of bytes of the database file that will be accessed using memory-mapped I/O. (source: pragma.html, matrix: context, detail)
Even if there is a busy-handler configured, it will not be invoked in this case. (source: c3ref/wal_checkpoint_v2.html, checked-by: src/wal.c, tcl/e_walckpt.test, matrix: context, detail)
It not necessary to put generated columns at the end of the list of columns in the table definition, as is shown in the examples above. (source: gencol.html, matrix: context, detail)
SQLite will invoke the xMutexEnd() method when sqlite3_shutdown() is called, but only if the prior call to xMutexInit returned SQLITE_OK. (source: c3ref/mutex_methods.html, matrix: context, detail)
If there is more than one non-aggregate expression in the result-set, then all such expressions are evaluated for the same row. (source: lang_select.html, checked-by: tcl/e_select.test, matrix: context, detail)
The sqlite3_hard_heap_limit64(N) interface sets a hard upper bound of N bytes on the amount of memory that will be allocated. (source: c3ref/hard_heap_limit64.html, matrix: context, detail)
Only changes made directly by the INSERT, UPDATE or DELETE statement are considered - auxiliary changes caused by triggers, foreign key actions or REPLACE constraint resolution are not counted. (source: c3ref/changes.html, checked-by: tcl/e_changes.test, matrix: context, detail)
These routines return information about a single column of the current result row of a query. (source: c3ref/column_blob.html, checked-by: th3/req1/column01.test, th3/req1/column02.test, th3/req1/column03.test, matrix: context, detail)
Configuring an ON UPDATE or ON DELETE action does not mean that the foreign key constraint does not need to be satisfied. (source: foreignkeys.html, checked-by: tcl/e_fkey.test, th3/req1/foreignkeys18.test, matrix: context, detail)
The 4-byte big-endian integer at offset 60 is the user version which is set and queried by the user_version pragma. (source: fileformat2.html, checked-by: th3/req1/fileformat03.test, matrix: context, detail)
If the authority section is omitted, then the path is an absolute pathname if it begins with the "/" character (ASCII code 0x2f) and is a relative pathname otherwise. (source: uri.html, matrix: context, detail)
The minimum key value is 1. (source: c3ref/pcache_methods2.html, checked-by: th3/th3pcache.c, matrix: context, detail)
If the 3rd parameter to the sqlite3_result_text* interfaces is negative, then SQLite takes result text from the 2nd parameter through the first zero character. (source: c3ref/result_blob.html, checked-by: th3/req1/result02.test, matrix: context, detail)
The soft heap limit is "soft" because even though SQLite strives to stay below the limit, it will exceed the limit rather than generate an SQLITE_NOMEM error. (source: c3ref/hard_heap_limit64.html, checked-by: th3/req1/softheaplimit02.test, matrix: context, detail)
SQLITE_DBSTATUS_LOOKASIDE_MISS_SIZE This parameter returns the number malloc attempts that might have been satisfied using lookaside memory but failed due to the amount of memory requested being larger than the lookaside slot size. Only the high-water value is meaningful; the current value is always zero. (source: c3ref/c_dbstatus_options.html, matrix: context, detail)
When comparing values as a result of a USING clause, the normal rules for handling affinities, collation sequences and NULL values in comparisons apply. (source: lang_select.html, checked-by: tcl/e_select.test, matrix: context, detail)
An operand of a comparison is considered to have an explicit collating function assignment (rule 1 above) if any subexpression of the operand uses the postfix COLLATE operator. (source: datatype3.html, checked-by: th3/req1/datatype3_09.test, matrix: context, detail)
(source: syntax/foreign-key-clause.html, matrix: context, detail)
The highwater mark associated with SQLITE_DBSTATUS_CACHE_MISS is always 0. (source: c3ref/c_dbstatus_options.html, checked-by: src/status.c, matrix: context, detail)
Changing the foreign_keys setting affects the execution of all statements prepared using the database connection, including those prepared before the setting was changed. (source: pragma.html, checked-by: th3/req1/pragma18.test, matrix: context, detail)
The sixth, seventh, eighth and ninth parameters (xStep, xFinal, xValue and xInverse) passed to sqlite3_create_window_function are pointers to C-language callbacks that implement the new function. (source: c3ref/create_function.html, matrix: context, detail)
The properties of the DROP TABLE and ALTER TABLE commands described above only apply if foreign keys are enabled. (source: foreignkeys.html, checked-by: tcl/e_fkey.test, th3/req1/foreignkeys22.test, matrix: context, detail)
The sqlite3_snapshot_free(P) interface destroys sqlite3_snapshot P. (source: c3ref/snapshot_free.html, matrix: context, detail)
The NNN value must be between 1 and the sqlite3_limit() parameter SQLITE_LIMIT_VARIABLE_NUMBER (default value: 32766). (source: c3ref/bind_blob.html, matrix: context, detail)
The sqlite3_str_value(X) method returns a pointer to the current content of the dynamic string under construction in X. (source: c3ref/str_errcode.html, matrix: context, detail)
When a new row is inserted into an SQLite table, the ROWID can either be specified as part of the INSERT statement or it can be assigned automatically by the database engine. (source: autoinc.html, checked-by: th3/req1/autoinc01.test, matrix: context, detail)
If N is negative, all remaining source pages are copied. (source: c3ref/backup_finish.html, checked-by: th3/req1/backup03.test, matrix: context, detail)
These routines might also return NULL if a memory allocation error occurs. (source: c3ref/column_database_name.html, matrix: context, detail)
This pragma uses sqlite3_create_function() to overload the LIKE and GLOB functions, which may override previous implementations of LIKE and GLOB registered by the application. (source: pragma.html, checked-by: th3/req1/pragma10.test, matrix: context, detail)
If numerical data is inserted into a column with TEXT affinity it is converted into text form before being stored. (source: datatype3.html, checked-by: th3/req1/datatype3_01.test, matrix: context, detail)
The sqlite3_str_appendall(X,S) method appends the complete content of zero-terminated string S onto the end of sqlite3_str object X. (source: c3ref/str_append.html, matrix: context, detail)
If SQLite is compiled with the SQLITE_THREADSAFE=0 compile-time option then it is not possible to change the threading mode from its default value of Single-thread and so sqlite3_config() will return SQLITE_ERROR if called with the SQLITE_CONFIG_SINGLETHREAD configuration option. (source: c3ref/c_config_covering_index_scan.html, checked-by: src/main.c, matrix: context, detail)
(source: syntax/drop-view-stmt.html, matrix: context, detail)
The sqlite3_soft_heap_limit64() interface sets and/or queries the soft limit on the amount of heap memory that may be allocated by SQLite. (source: c3ref/hard_heap_limit64.html, checked-by: th3/req1/softheaplimit01.test, matrix: context, detail)
The behavior of "PRAGMA data_version" is the same for all database connections, including database connections in separate processes and shared cache database connections. (source: pragma.html, checked-by: tcl/pragma3.test, matrix: context, detail)
Compute the date and time given a unix timestamp 1092941466. SELECT datetime(1092941466, 'unixepoch'); (source: lang_datefunc.html, checked-by: th3/req1/date01.test, matrix: context, detail)
This function does not set the database handle error code or message returned by the sqlite3_errcode() and sqlite3_errmsg() functions. (source: c3ref/db_cacheflush.html, matrix: context, detail)
If the fifth argument is the special value SQLITE_STATIC, then SQLite assumes that the information is in static, unmanaged space and does not need to be freed. (source: c3ref/bind_blob.html, checked-by: th3/req1/bind01.test, matrix: context, detail)
The expression following the WHERE clause may contain operators, literal values, and names of columns in the table being indexed. (source: partialindex.html, checked-by: th3/cov1/index01.test, matrix: context, detail)
The rules for determining which collating function to use for a binary comparison operator (=, <, >, <=, >=, !=, IS, and IS NOT) are as follows: (source: datatype3.html, checked-by: th3/req1/datatype3_09.test, matrix: context, detail)
(source: syntax/vacuum-stmt.html, matrix: context, detail)
The ifnull() function returns a copy of its first non-NULL argument, or NULL if both arguments are NULL. (source: lang_corefunc.html, checked-by: th3/cov1/func01.test, matrix: context, detail)
When a UNIQUE or PRIMARY KEY constraint violation occurs, the REPLACE algorithm deletes pre-existing rows that are causing the constraint violation prior to inserting or updating the current row and the command continues executing normally. (source: lang_conflict.html, checked-by: th3/req1/conflict02.test, matrix: context, detail)
If there is no ELSE expression and none of the WHEN expressions produce a result equal to the base expression, the overall result is NULL. (source: lang_expr.html, checked-by: tcl/e_expr.test, matrix: context, detail)
The cell pointers are arranged in key order with left-most cell (the cell with the smallest key) first and the right-most cell (the cell with the largest key) last. (source: fileformat2.html, matrix: context, detail)
The PRIMARY KEY is optional for ordinary tables but is required for WITHOUT ROWID tables. (source: lang_createtable.html, checked-by: tcl/e_createtable.test, matrix: context, detail)
The datetime() function returns "YYYY-MM-DD HH:MM:SS". (source: lang_datefunc.html, checked-by: th3/req1/date01.test, matrix: context, detail)
The DROP TABLE command works on statistics tables as of SQLite version 3.7.9. (source: lang_analyze.html, checked-by: th3/req1/analyze01.test, matrix: context, detail)
A trace callback is invoked with four arguments: callback(T,C,P,X). (source: c3ref/trace_v2.html, checked-by: th3/cov1/trace01.test, matrix: context, detail)
Changes to a view that are intercepted by INSTEAD OF triggers are not counted. (source: c3ref/total_changes.html, checked-by: tcl/e_totalchanges.test, matrix: context, detail)
When casting a TEXT value to REAL, the longest possible prefix of the value that can be interpreted as a real number is extracted from the TEXT value and the remainder ignored. (source: lang_expr.html, checked-by: tcl/e_expr.test, matrix: context, detail)
This is the number of times that the prepare statement has been automatically regenerated due to schema changes or changes to bound parameters that might affect the query plan. (source: c3ref/c_stmtstatus_counter.html, matrix: context, detail)
The checksum algorithm is as follows: s0 = s1 = 0 for i from 0 to n-1 step 2: s0 += x(i) + s1; s1 += x(i+1) + s0; endfor # result in s0 and s1 (source: fileformat2.html, matrix: context, detail)
If zVfsName is NULL then the default VFS is returned. (source: c3ref/vfs_find.html, checked-by: th3/req1/vfs01.test, matrix: context, detail)
In a normal index, there is a one-to-one mapping between rows in a table and entries in each index associated with that table. (source: fileformat2.html, matrix: context, detail)
Or, if the SELECT statement would return less than N rows without a LIMIT clause, then the entire result set is returned. (source: lang_select.html, checked-by: tcl/e_select.test, matrix: context, detail)
"SCAN" is used for a full-table scan, including cases where SQLite iterates through all records in a table in an order defined by an index. (source: eqp.html, matrix: context, detail)
If any databases are skipped because locks cannot be obtained, but no other error occurs, this function returns SQLITE_BUSY. (source: c3ref/db_cacheflush.html, matrix: context, detail)
The xCachesize() method may be called at any time by SQLite to set the suggested maximum cache-size (number of pages stored by) the cache instance passed as the first argument. This is the value configured using the SQLite "PRAGMA cache_size" command. (source: c3ref/pcache_methods2.html, matrix: context, detail)
The identifier name in this case can include one or more occurrences of "::" and a suffix enclosed in "(...)" containing any text at all. (source: lang_expr.html, checked-by: tcl/e_expr.test, matrix: context, detail)
In the example above, if column *x* has TEXT affinity then the comparison "x=5" will be done as text. But the *+* operator removes the affinity. So the comparison "+x=5" will compare the text in column *x* with the numeric value 5 and will always be false. (source: optoverview.html, matrix: context, detail)
The COLLATE clause specifies the name of a collating sequence to use as the default collation sequence for the column. (source: lang_createtable.html, checked-by: tcl/e_createtable.test, matrix: context, detail)
The default conflict resolution algorithm is ABORT. (source: lang_conflict.html, checked-by: th3/req1/conflict03.test, matrix: context, detail)
As with PRIMARY KEYs, a UNIQUE table-constraint clause must contain only column names — the use of expressions in an indexed-column of a UNIQUE table-constraint is not supported. (source: lang_createtable.html, matrix: context, detail)
Casting a TEXT or BLOB value into NUMERIC yields either an INTEGER or a REAL result. (source: lang_expr.html, checked-by: tcl/cast.test, tcl/e_expr.test, th3/cov1/cast01.test, matrix: context, detail)
If the argument N is omitted, then the analysis limit is unchanged. (source: pragma.html, matrix: context, detail)
By default, VACUUM only works only on the main database. (source: lang_vacuum.html, checked-by: tcl/e_vacuum.test, matrix: context, detail)
The sqlite3_table_column_metadata() interface returns SQLITE_ERROR if the specified column does not exist. (source: c3ref/table_column_metadata.html, checked-by: th3/cov1/metadata01.test, matrix: context, detail)
For the purposes of unique indices, all NULL values are considered different from all other NULL values and are thus unique. (source: lang_createindex.html, checked-by: th3/req1/createidx01.test, matrix: context, detail)
An alternative to using the VACUUM command to reclaim space after data has been deleted is auto-vacuum mode, enabled using the auto_vacuum pragma. (source: lang_vacuum.html, checked-by: tcl/e_vacuum.test, matrix: context, detail)
For as long as the user has an open transaction, the database is allowed to exist in a state that violates any number of deferred foreign key constraints. (source: foreignkeys.html, checked-by: tcl/e_fkey.test, th3/req1/foreignkeys12.test, th3/req1/foreignkeys14.test, matrix: context, detail)
The sqlite3_initialize() routine is called internally by many other SQLite interfaces so that an application usually does not need to invoke sqlite3_initialize() directly. (source: c3ref/initialize.html, matrix: context, detail)
There are some contexts in SQLite that do not allow the use of non-deterministic functions: In the expression of a CHECK constraint. In the WHERE clause of a partial index. In an expression used as part of an expression index. In the expression of a generated column. (source: deterministic.html, matrix: context, detail)
Any command that accesses the database (basically, any SQL command, except a few PRAGMA statements) will automatically start a transaction if one is not already in effect. (source: lang_transaction.html, matrix: context, detail)
The localtime_r() C function normally only works for years between 1970 and 2037. For dates outside this range, SQLite attempts to map the year into an equivalent year within this range, do the calculation, then map the year back. (source: lang_datefunc.html, checked-by: src/date.c, matrix: context, detail)
The first integer in this list is the approximate number of rows in the index. (source: fileformat2.html, matrix: context, detail)
The SQLITE_VERSION_NUMBER C preprocessor macro resolves to an integer with the value (X*1000000 + Y*1000 + Z) where X, Y, and Z are the same numbers used in SQLITE_VERSION. (source: c3ref/c_source_id.html, checked-by: th3/req1/version01.test, matrix: context, detail)
If the VFS does not support shared-memory methods, then the attempt to open a database that is already in WAL mode, or the attempt convert a database into WAL mode, will fail. (source: wal.html, checked-by: tcl/e_wal.test, th3/req1/pragma05.test, matrix: context, detail)
A single row of a table cannot store more than SQLITE_MAX_LENGTH bytes of data. (source: lang_createtable.html, matrix: context, detail)
The number of columns in the result can be determined using sqlite3_column_count(). (source: c3ref/column_blob.html, checked-by: th3/req1/column01.test, matrix: context, detail)
IMMEDIATE cause the database connection to start a new write immediately, without waiting for a write statement. (source: lang_transaction.html, matrix: context, detail)
If the third parameter to sqlite3_bind_text() or sqlite3_bind_text16() or sqlite3_bind_blob() is a NULL pointer then the fourth parameter is ignored and the end result is the same as sqlite3_bind_null(). (source: c3ref/bind_blob.html, checked-by: th3/req1/bind01.test, matrix: context, detail)
Setting parameter X to NULL disables the progress handler. (source: c3ref/progress_handler.html, checked-by: th3/req1/progress01.test, matrix: context, detail)
The HAVING expression may refer to values, even aggregate functions, that are not in the result. (source: lang_select.html, checked-by: tcl/e_select.test, matrix: context, detail)
A percent symbol ("%") in the LIKE pattern matches any sequence of zero or more characters in the string. (source: lang_expr.html, checked-by: tcl/e_expr.test, matrix: context, detail)
The declared type of each column is determined by the expression affinity of the corresponding expression in the result set of the SELECT statement, as follows: Expression Affinity Column Declared Type TEXT "TEXT" NUMERIC "NUM" INTEGER "INT" REAL "REAL" BLOB (a.k.a "NONE") "" (empty string) (source: lang_createtable.html, checked-by: tcl/e_createtable.test, matrix: context, detail)
Changing the recursive_triggers setting affects the execution of all statements prepared using the database connection, including those prepared before the setting was changed. (source: pragma.html, matrix: context, detail)
(source: syntax/result-column.html, matrix: context, detail)
Each time a new row is inserted into the table or an existing row is updated, the expression associated with each CHECK constraint is evaluated and cast to a NUMERIC value in the same way as a CAST expression. If the result is zero (integer value 0 or real value 0.0), then a constraint violation has occurred. (source: lang_createtable.html, checked-by: tcl/e_createtable.test, matrix: context, detail)
The same VFS can be registered multiple times without injury. (source: c3ref/vfs_find.html, checked-by: th3/req1/vfs01.test, matrix: context, detail)
If there is a blocking connection, then the extended error code is set to SQLITE_LOCKED_SHAREDCACHE. Otherwise, in the special "DROP TABLE/INDEX" case, the extended error code is just SQLITE_LOCKED. (source: c3ref/unlock_notify.html, matrix: context, detail)
The char(X1,X2,...,XN) function returns a string composed of characters having the unicode code point values of integers X1 through XN, respectively. (source: lang_corefunc.html, checked-by: tcl/func.test, matrix: context, detail)
In a well-formed b-tree page, there will always be at least one cell before the first freeblock. (source: fileformat2.html, checked-by: src/btree.c, matrix: context, detail)
Values 1, 1.0, 0.1, -0.1 and '1english' are considered to be true. (source: lang_expr.html, checked-by: tcl/e_expr.test, matrix: context, detail)
The compile-time setting for URI filenames can be changed at start-time using the sqlite3_config(SQLITE_CONFIG_URI,1) or sqlite3_config(SQLITE_CONFIG_URI,0) configuration calls. (source: uri.html, checked-by: src/main.c, th3/th3main.c, matrix: context, detail)
The SQLITE_CONFIG_MALLOC option takes a single argument which is a pointer to an instance of the sqlite3_mem_methods structure. The argument specifies alternative low-level memory allocation routines to be used in place of the memory allocation routines built into SQLite. (source: c3ref/c_config_covering_index_scan.html, checked-by: src/main.c, th3/th3oom.c, matrix: context, detail)
The strftime() function also takes a format string as its first argument. (source: lang_datefunc.html, checked-by: th3/req1/date01.test, matrix: context, detail)
If the RELEASE command causes the transaction stack to become empty (if the RELEASE command releases the outermost transaction from the stack) then the transaction commits. (source: lang_savepoint.html, matrix: context, detail)
If two or more tables in different databases have the same name and the schema-name prefix is not used on a table reference, then the table chosen is the one in the database that was least recently attached. (source: lang_attach.html, checked-by: th3/req1/attach01.test, matrix: context, detail)
The sqlite3_reset(S) interface does not change the values of any bindings on the prepared statement S. (source: c3ref/reset.html, checked-by: th3/req1/clearbind01.test, matrix: context, detail)
The first column is the name of the table that contains the REFERENCES clause. (source: pragma.html, checked-by: tcl/fkey5.test, th3/cov1/fkey23.test, matrix: context, detail)
The memory high-water mark is reset to the current value of sqlite3_memory_used() if and only if the parameter to sqlite3_memory_highwater() is true. (source: c3ref/memory_highwater.html, matrix: context, detail)
(source: syntax/release-stmt.html, matrix: context, detail)
When COMMIT fails in this way, the transaction remains active and the COMMIT can be retried later after the reader has had a chance to clear. (source: lang_transaction.html, matrix: context, detail)
If the callback function of the 3rd argument to sqlite3_exec() is not NULL, then it is invoked for each result row coming out of the evaluated SQL statements. (source: c3ref/exec.html, checked-by: th3/req1/exec01.test, matrix: context, detail)
In most cases, UNIQUE and PRIMARY KEY constraints are implemented by creating a unique index in the database. (source: lang_createtable.html, checked-by: tcl/e_createtable.test, matrix: context, detail)
The pUser variable may be set by the callback implementation to any arbitrary value that may be useful to subsequent invocations of the callback within the same query (for example, a pointer to a complicated data structure used to test for region intersection). (source: rtree.html, matrix: context, detail)
The ON and USING clauses of an inner join are converted into additional terms of the WHERE clause prior to WHERE clause analysis described above in paragraph 1. (source: optoverview.html, matrix: context, detail)
If the UPDATE statement does not have a WHERE clause, all rows in the table are modified by the UPDATE. (source: lang_update.html, checked-by: tcl/e_update.test, matrix: context, detail)
Extension loading is off by default. (source: c3ref/enable_load_extension.html, matrix: context, detail)
The idxNum and idxPtr values are recorded and passed into the xFilter method. (source: c3ref/index_info.html, matrix: context, detail)
If the new row is not present in the table, or if it does not contain a blob or text value, or if another error occurs, an SQLite error code is returned and the blob handle is considered aborted. (source: c3ref/blob_reopen.html, checked-by: th3/req1/blob01.test, matrix: context, detail)
If an index is created using a statement like this: CREATE INDEX idx_ex1 ON ex1(a,b,c,d,e,...,y,z); Then the index might be used if the initial columns of the index (columns a, b, and so forth) appear in WHERE clause terms. (source: optoverview.html, matrix: context, detail)
To overcome this problem, a separate data structure called the wal-index is maintained to expedite the search for frames of a particular page. (source: fileformat2.html, matrix: context, detail)
The foreign key constraint is satisfied if for each row in the child table either one or more of the child key columns are NULL, or there exists a row in the parent table for which each parent key column contains a value equal to the value in its associated child key column. (source: foreignkeys.html, checked-by: tcl/e_fkey.test, th3/req1/foreignkeys03.test, matrix: context, detail)
If the third parameter (the pointer to the sqlite3_module object) is NULL then no new module is create and any existing modules with the same name are dropped. (source: c3ref/create_module.html, matrix: context, detail)
The %p format is an alias for %X. (source: lang_corefunc.html, checked-by: tcl/printf2.test, th3/cov1/printf08.test, matrix: context, detail)
The source and destination database connections (parameters S and D) must be different or else sqlite3_backup_init(D,N,S,M) will fail with an error. (source: c3ref/backup_finish.html, checked-by: th3/req1/backup02.test, matrix: context, detail)
The group_concat() function returns a string which is the concatenation of all non-NULL values of X. (source: lang_aggfunc.html, checked-by: th3/req1/aggfunc01.test, matrix: context, detail)
the following three table declarations all cause the column "x" to be an alias for the rowid (an integer primary key): CREATE TABLE t(x INTEGER PRIMARY KEY ASC, y, z); CREATE TABLE t(x INTEGER, y, z, PRIMARY KEY(x ASC)); CREATE TABLE t(x INTEGER, y, z, PRIMARY KEY(x DESC)); (source: lang_createtable.html, checked-by: tcl/e_createtable.test, matrix: context, detail)
For the purposes of the previous sentence, a column name preceded by one or more unary "+" operators and/or CAST operators is still considered a column name. (source: datatype3.html, checked-by: th3/req1/datatype3_09.test, matrix: context, detail)
This is the only difference between a USING clause and its equivalent ON constraint. (source: lang_select.html, checked-by: tcl/e_select.test, matrix: context, detail)
PRAGMA schema.index_xinfo(index-name); This pragma returns information about every column in an index. (source: pragma.html, checked-by: tcl/pragma.test, th3/req1/pragma15x.test, matrix: context, detail)
The aConstraint[] array records WHERE clause constraints of the form: column OP expr where OP is =, <, <=, >, or >=. (source: c3ref/index_info.html, matrix: context, detail)
(source: syntax/select-core.html, matrix: context, detail)
If this routine returns 0, that means the prepared statement returns no data (for example an UPDATE). (source: c3ref/column_count.html, matrix: context, detail)
The string 'UTF-16' is interpreted as "UTF-16 encoding using native machine byte-ordering". (source: pragma.html, checked-by: th3/req1/pragma16.test, matrix: context, detail)
Compute the current date. SELECT date('now'); (source: lang_datefunc.html, checked-by: th3/req1/date01.test, matrix: context, detail)
The C argument is a copy of the context pointer. (source: c3ref/trace_v2.html, checked-by: th3/cov1/trace01.test, matrix: context, detail)
In the "v2" interface, the more specific error code is returned directly by sqlite3_step(). (source: c3ref/step.html, matrix: context, detail)
Both forms of the CASE expression use lazy, or short-circuit, evaluation. (source: lang_expr.html, checked-by: tcl/e_expr.test, matrix: context, detail)
All types of SELECT statement, including aggregate and compound SELECT queries (queries with keywords like UNION or EXCEPT) are allowed as scalar subqueries. (source: lang_expr.html, checked-by: tcl/e_expr.test, matrix: context, detail)
The iif(X,Y,Z) function is logically equivalent to and generates the same bytecode as the CASE expression "CASE WHEN X THEN Y ELSE Z END". (source: lang_corefunc.html, matrix: context, detail)
Column zColumn does not exist (source: c3ref/blob_open.html, checked-by: tcl/e_blobopen.test, matrix: context, detail)
However, in a partial index, the index b-tree only contains entries corresponding to table rows for which the WHERE clause expression on the CREATE INDEX statement is true. (source: fileformat2.html, matrix: context, detail)
The first parameter is an operation code that determines the number, meaning, and operation of all subsequent parameters. (source: c3ref/test_control.html, checked-by: th3/req1/checkpoint01.test, matrix: context, detail)
Within the xUpdate method of a virtual table, the sqlite3_value_nochange(X) interface returns true if and only if the column corresponding to X is unchanged by the UPDATE operation that the xUpdate method call was invoked to implement and if and the prior xColumn method call that was invoked to extracted the value for that column returned without setting a result (probably because it queried sqlite3_vtab_nochange() and found that the column was unchanging). (source: c3ref/value_blob.html, matrix: context, detail)
When the write-ahead log is enabled (via the journal_mode pragma) a checkpoint will be run automatically whenever the write-ahead log equals or exceeds N pages in length. (source: pragma.html, matrix: context, detail)
The second parameter to the callback is an integer action code that specifies the particular action to be authorized. (source: c3ref/set_authorizer.html, checked-by: src/tclsqlite.c, th3/th3util.c, matrix: context, detail)
an implicit DELETE FROM does cause any configured foreign key actions to take place. (source: lang_droptable.html, checked-by: th3/req1/droptable01.test, matrix: context, detail)
The default encoding for databases created using sqlite3_open16() will be UTF-16 in the native byte order. (source: c3ref/open.html, checked-by: th3/cov1/main12.test, matrix: context, detail)
If the optional ESCAPE clause is present, then the expression following the ESCAPE keyword must evaluate to a string consisting of a single character. (source: lang_expr.html, checked-by: tcl/e_expr.test, matrix: context, detail)
If sqlite3_malloc() is unable to obtain sufficient free memory, it returns a NULL pointer. (source: c3ref/free.html, checked-by: th3/req1/malloc02.test, matrix: context, detail)
The conversion from STRING or BLOB into REAL or INTEGER is performed even if it is lossy and irreversible. (source: datatype3.html, checked-by: th3/req1/datatype3_06.test, matrix: context, detail)
PRAGMA writable_schema = boolean; When this pragma is on, and the SQLITE_DBCONFIG_DEFENSIVE flag is off, then the sqlite_master table can be changed using ordinary UPDATE, INSERT, and DELETE statements. (source: pragma.html, checked-by: th3/req1/pragma30.test, matrix: context, detail)
Note that "monotonically increasing" does not imply that the ROWID always increases by exactly one. (source: autoinc.html, checked-by: th3/req1/autoinc01.test, matrix: context, detail)
If the argument is an index name, then only that one index is analyzed. (source: lang_analyze.html, checked-by: th3/req1/analyze01.test, matrix: context, detail)
If the current statement is not inside an explicit transaction (a BEGIN/COMMIT/ROLLBACK block), then an implicit transaction is committed as soon as the statement has finished executing. In this case deferred constraints behave the same as immediate constraints. (source: foreignkeys.html, checked-by: tcl/e_fkey.test, th3/req1/foreignkeys12.test, matrix: context, detail)
sqlite3_prepare_v3() differs from sqlite3_prepare_v2() only in having the extra prepFlags parameter, which is a bit array consisting of zero or more of the SQLITE_PREPARE_* flags. (source: c3ref/prepare.html, checked-by: src/prepare.c, matrix: context, detail)
(source: syntax/upsert-clause.html, matrix: context, detail)
Use this routine to reset all host parameters to NULL. (source: c3ref/clear_bindings.html, checked-by: th3/req1/clearbind01.test, matrix: context, detail)
In a WITHOUT ROWID table, there is no sqlite_master entry for the PRIMARY KEY, but the "sqlite_autoindex_TABLE_N" name is set aside for the PRIMARY KEY as if the sqlite_master entry did exist. This will affect the numbering of subsequent UNIQUE constraints. (source: fileformat2.html, matrix: context, detail)
The reverse_unordered_selects pragma works for most SELECT statements, however the query planner may sometimes choose an algorithm that is not easily reversed, in which case the output will appear in the same order regardless of the reverse_unordered_selects setting. (source: pragma.html, checked-by: th3/req1/pragma27.test, matrix: context, detail)
The module takes zero or more comma-separated arguments. (source: lang_createvtab.html, matrix: context, detail)
The sqlite3_str_appendf(X,F,. (source: c3ref/str_append.html, matrix: context, detail)
A trigger normally exists in the same database as the table named after the "ON" keyword in the CREATE TRIGGER statement. Except, it is possible to create a TEMP TRIGGER on a table in another database. (source: lang_createtrigger.html, matrix: context, detail)
The sqlite_sequence row for an AUTOINCREMENT table is automatically deleted when the table is dropped. (source: fileformat2.html, matrix: context, detail)
Attempt to return the underlying operating system error code or error number that caused the most recent I/O error or failure to open a file. (source: c3ref/system_errno.html, matrix: context, detail)
The CREATE INDEX command consists of the keywords "CREATE INDEX" followed by the name of the new index, the keyword "ON", the name of a previously created table that is to be indexed, and a parenthesized list of table column names and/or expressions that are used for the index key. (source: lang_createindex.html, checked-by: th3/req1/createidx01.test, matrix: context, detail)
For each pair of columns identified by a USING clause, the column from the right-hand dataset is omitted from the joined dataset. (source: lang_select.html, checked-by: tcl/e_select.test, matrix: context, detail)
TEMP triggers are not subject to the same-database rule. A TEMP trigger is allowed to query or modify any table in any ATTACH-ed database. (source: lang_createtrigger.html, matrix: context, detail)
A keyword enclosed in grave accents (ASCII code 96) is an identifier. (source: lang_keywords.html, checked-by: th3/req1/keyword01.test, matrix: context, detail)
The optional IF EXISTS clause suppresses the error that would normally result if the table does not exist. (source: lang_droptable.html, checked-by: th3/req1/droptable01.test, matrix: context, detail)
The hex() function interprets its argument as a BLOB and returns a string which is the upper-case hexadecimal rendering of the content of that blob. (source: lang_corefunc.html, checked-by: th3/cov1/func01.test, matrix: context, detail)
For a K-column index, there will be K+1 integers in the stat column. (source: fileformat2.html, matrix: context, detail)
If a term of the WHERE clause is of the following form: expr1 BETWEEN expr2 AND expr3 Then two "virtual" terms are added as follows: expr1 >= expr2 AND expr1 <= expr3 (source: optoverview.html, matrix: context, detail)
If the D parameter is not NULL, then it is a pointer to a destructor for the P parameter. (source: c3ref/result_blob.html, checked-by: th3/cov1/bindptr01.test, matrix: context, detail)
When a column is indexed, the same collating function specified in the CREATE TABLE statement is used for the column in the index, by default, though this can be overridden using a COLLATE clause in the CREATE INDEX statement. (source: fileformat2.html, checked-by: th3/req1/fileformat05.test, matrix: context, detail)
SQLITE_OPEN_NOFOLLOW The database filename is not allowed to be a symbolic link (source: c3ref/open.html, matrix: context, detail)
The default behavior of the LIKE operator is to ignore case for ASCII characters. Hence, by default 'a' LIKE 'A' is true. (source: pragma.html, checked-by: th3/req1/pragma10.test, matrix: context, detail)
Invoking sqlite3_finalize() on a NULL pointer is a harmless no-op. (source: c3ref/finalize.html, checked-by: src/vdbeapi.c, th3/req1/finalize01.test, matrix: context, detail)
If NORMAL locking mode is in effect for the first WAL-mode database access, then the shared-memory wal-index is created. (source: wal.html, checked-by: tcl/e_wal.test, th3/req1/pragma05.test, matrix: context, detail)
Any "foreign key mismatch" errors encountered as part of an implicit DELETE are ignored. (source: foreignkeys.html, checked-by: tcl/e_fkey.test, th3/req1/foreignkeys22.test, matrix: context, detail)
However, depending on the statement being evaluated and the point at which the error occurs, it might be necessary for SQLite to rollback and cancel the entire transaction. (source: lang_transaction.html, matrix: context, detail)
SQLITE_OPEN_NOMUTEX The new database connection will use the "multi-thread" threading mode. (source: c3ref/open.html, checked-by: th3/cov1/main12.test, matrix: context, detail)
"1" if the index is UNIQUE and "0" if not. (source: pragma.html, checked-by: tcl/pragma.test, th3/req1/pragma15.test, matrix: context, detail)
If URI filenames are recognized when the database connection is originally opened, then URI filenames will also be recognized on ATTACH statements. (source: uri.html, matrix: context, detail)
Value is a big-endian IEEE 754-2008 64-bit floating point number. (source: fileformat2.html, checked-by: src/vdbeaux.c, th3/req1/fileformat02.test, matrix: context, detail)
PRAGMA schema.mmap_size; PRAGMA schema.mmap_size=N Query or change the maximum number of bytes that are set aside for memory-mapped I/O on a single database. (source: pragma.html, matrix: context, detail)
The LIMIT and ORDER BY clauses for UPDATE are unsupported within triggers, regardless of the compilation options used to build SQLite. (source: lang_update.html, checked-by: tcl/e_update.test, matrix: context, detail)
If a keyword in double quotes (ex: "key" or "glob") is used in a context where it cannot be resolved to an identifier but where a string literal is allowed, then the token is understood to be a string literal instead of an identifier. (source: lang_keywords.html, checked-by: th3/req1/keyword01.test, matrix: context, detail)
If the index is unique, then the last integer will be 1. (source: fileformat2.html, matrix: context, detail)
Thus, if a COLLATE operator is used anywhere in a comparision expression, the collating function defined by that operator is used for string comparison regardless of what table columns might be a part of that expression. (source: datatype3.html, checked-by: th3/req1/datatype3_09.test, matrix: context, detail)
The same page may not appear more than once within a single rollback journal. (source: fileformat2.html, matrix: context, detail)
Note that the sqlite3_wal_autocheckpoint() interface and the wal_autocheckpoint pragma both invoke sqlite3_wal_hook() and will overwrite any prior sqlite3_wal_hook() settings. (source: c3ref/wal_hook.html, checked-by: tcl/e_walhook.test, matrix: context, detail)
PRAGMA database_list; This pragma works like a query to return one row for each database attached to the current database connection. (source: pragma.html, checked-by: th3/req1/pragma14.test, matrix: context, detail)
These functions (collectively known as "function creation routines") are used to add SQL functions or aggregates or to redefine the behavior of existing SQL functions or aggregates. (source: c3ref/create_function.html, checked-by: th3/req1/createfunc01.test, matrix: context, detail)
There are two fundamental forms of the CASE expression: those with a base expression and those without. (source: lang_expr.html, checked-by: tcl/e_expr.test, matrix: context, detail)
If the specific value bound to a host parameter in the WHERE clause might influence the choice of query plan for a statement, then the statement will be automatically recompiled, as if there had been a schema change, on the first sqlite3_step() call following any change to the bindings of that parameter. (source: c3ref/prepare.html, checked-by: src/vdbeapi.c, th3/req1/prepare04.test, matrix: context, detail)
In all cases, the value returned is the new analysis limit used for subsequent ANALYZE commands. (source: pragma.html, matrix: context, detail)
The return value from both sqlite3_soft_heap_limit64() and sqlite3_hard_heap_limit64() is the size of the heap limit prior to the call, or negative in the case of an error. (source: c3ref/hard_heap_limit64.html, checked-by: th3/req1/softheaplimit01.test, matrix: context, detail)
If the SELECT statement is an aggregate query without a GROUP BY clause, then each aggregate expression in the result-set is evaluated once across the entire dataset. (source: lang_select.html, checked-by: tcl/e_select.test, matrix: context, detail)
The filename of the database follows the same semantics as the filename argument to sqlite3_open() and sqlite3_open_v2(); the special name ":memory:" results in an in-memory database and an empty string results in a new temporary database. (source: lang_attach.html, checked-by: th3/req1/attach03.test, matrix: context, detail)
An ON CONFLICT clause may be specified as part of an UPDATE or INSERT action within the body of the trigger. (source: lang_createtrigger.html, matrix: context, detail)
(source: syntax/column-constraint.html, matrix: context, detail)
In the above paragraph, the term "equal" means equal when values are compared using the rules specified here. (source: foreignkeys.html, checked-by: tcl/e_fkey.test, th3/req1/foreignkeys03.test, matrix: context, detail)
With AUTOINCREMENT, rows with automatically selected ROWIDs are guaranteed to have ROWIDs that have never been used before by the same table in the same database. (source: autoinc.html, checked-by: th3/req1/autoinc01.test, matrix: context, detail)
Note, however, that auto-vacuum only truncates the freelist pages from the file. Auto-vacuum does not defragment the database nor repack individual database pages the way that the VACUUM command does. (source: pragma.html, checked-by: th3/req1/pragma07.test, matrix: context, detail)
All of the result in the example are the same if the comparisons are commuted - if expressions of the form "a<40" are rewritten as "40>a". (source: datatype3.html, checked-by: th3/req1/datatype3_05.test, matrix: context, detail)
The default collating sequence is the collating sequence defined for that column in the CREATE TABLE statement. (source: lang_createindex.html, checked-by: th3/req1/createidx01.test, matrix: context, detail)
The scheme of the URI must be "file:". Any other scheme results in the input being treated as an ordinary filename. (source: uri.html, checked-by: src/main.c, matrix: context, detail)
The expression "x IN (SELECT y ...)" is handled in the same way as the expression "x = y" for the purposes of determining the collating sequence. (source: datatype3.html, checked-by: th3/req1/datatype3_10.test, matrix: context, detail)
The SAVEPOINT command starts a new transaction with a name. (source: lang_savepoint.html, matrix: context, detail)
The SQLITE_FCNTL_PERSIST_WAL opcode is used to set or query the persistent Write Ahead Log setting. (source: c3ref/c_fcntl_begin_atomic_write.html, matrix: context, detail)
The two-byte integer at offset 5 designates the start of the cell content area. A zero value for this integer is interpreted as 65536. (source: fileformat2.html, checked-by: src/btree.c, matrix: context, detail)
An error is raised if a CREATE TABLE statement with the WITHOUT ROWID clause lacks a PRIMARY KEY. (source: withoutrowid.html, checked-by: tcl/without_rowid5.test, th3/cov1/withoutrowid01.test, matrix: context, detail)
The fourth parameter may also optionally include the SQLITE_DIRECTONLY flag, which if present prevents the function from being invoked from within VIEWs, TRIGGERs, CHECK constraints, generated column expressions, index expressions, or the WHERE clause of partial indexes. (source: c3ref/create_function.html, matrix: context, detail)
SQLITE_CONFIG_MMAP_SIZE takes two 64-bit integer (sqlite3_int64) values that are the default mmap size limit (the default setting for PRAGMA mmap_size) and the maximum allowed mmap size limit. (source: c3ref/c_config_covering_index_scan.html, checked-by: src/main.c, th3/th3main.c, matrix: context, detail)
Note that the sqlite3_changes() and sqlite3_total_changes() interfaces do not count INSTEAD OF trigger firings, but the count_changes pragma does count INSTEAD OF trigger firing. (source: lang_createtrigger.html, matrix: context, detail)
If the table has a column of type INTEGER PRIMARY KEY then that column is another alias for the rowid. (source: c3ref/last_insert_rowid.html, matrix: context, detail)
Otherwise, the UPDATE affects only those rows for which the WHERE clause boolean expression is true. (source: lang_update.html, checked-by: tcl/e_update.test, matrix: context, detail)
The "SQLITE_" prefix is omitted from the returned option names. (source: pragma.html, checked-by: th3/req1/pragma13.test, matrix: context, detail)
It is not an error if the WHERE clause does not evaluate to true for any row in the table - this just means that the UPDATE statement affects zero rows. (source: lang_update.html, checked-by: tcl/e_update.test, matrix: context, detail)
A keyword in single quotes is a string literal. (source: lang_keywords.html, checked-by: th3/req1/keyword01.test, matrix: context, detail)
The nolock parameter is a boolean query parameter which if set disables file locking in rollback journal modes. (source: c3ref/open.html, checked-by: th3/cov1/nolock01.test, matrix: context, detail)
The first 2 bytes of a freeblock are a big-endian integer which is the offset in the b-tree page of the next freeblock in the chain, or zero if the freeblock is the last on the chain. (source: fileformat2.html, checked-by: src/btree.c, matrix: context, detail)
The "INDEXED BY index-name" phrase specifies that the named index must be used in order to look up values on the preceding table. (source: lang_indexedby.html, checked-by: tcl/indexedby.test, matrix: context, detail)
The sum() and total() aggregate functions return sum of all non-NULL values in the group. (source: lang_aggfunc.html, checked-by: th3/req1/aggfunc01.test, matrix: context, detail)
Each time a transaction is committed or a WAL file resets, SQLite compares the size of the rollback journal file or WAL file left in the file-system to the size limit set by this pragma and if the journal or WAL file is larger it is truncated to the limit. (source: pragma.html, checked-by: th3/req1/pragma26.test, matrix: context, detail)
WAL databases can be created, read, and written even if shared memory is unavailable as long as the locking_mode is set to EXCLUSIVE before the first attempted access. (source: wal.html, checked-by: tcl/e_wal.test, th3/req1/pragma05.test, matrix: context, detail)
If the Y argument is omitted, rtrim(X) removes spaces from the right side of X. (source: lang_corefunc.html, checked-by: th3/req1/func03.test, matrix: context, detail)
Thus, by default, the following expression is true: 'a' LIKE 'A' (source: optoverview.html, matrix: context, detail)
This pragma does an integrity check of the entire database. (source: pragma.html, matrix: context, detail)
The changes() function returns the number of database rows that were changed or inserted or deleted by the most recently completed INSERT, DELETE, or UPDATE statement, exclusive of statements in lower-level triggers. (source: lang_corefunc.html, checked-by: th3/req1/func01.test, matrix: context, detail)
Specifying a new page size does not change the page size immediately. Instead, the new page size is remembered and is used to set the page size when the database is first created, if it does not already exist when the page_size pragma is issued, or at the next VACUUM command that is run on the same database connection while not in WAL mode. (source: pragma.html, matrix: context, detail)
If the Y argument is omitted, ltrim(X) removes spaces from the left side of X. (source: lang_corefunc.html, checked-by: th3/cov1/func02.test, matrix: context, detail)
The page size must be a power of two between 512 and 65536 inclusive. (source: pragma.html, matrix: context, detail)
If OMIT_FOREIGN_KEY is defined, then foreign key definitions cannot even be parsed (attempting to specify a foreign key definition is a syntax error). (source: foreignkeys.html, checked-by: tcl/e_fkey.test, th3/req1/foreignkeys05.test, matrix: context, detail)
The COMMIT command and the ROLLBACK command without the TO clause work the same on SAVEPOINT transactions as they do with transactions started by BEGIN. (source: lang_transaction.html, matrix: context, detail)
sqlite> CREATE INDEX i1 ON t1(a); sqlite> EXPLAIN QUERY PLAN SELECT a, b FROM t1 WHERE a=1; QUERY PLAN `--SEARCH TABLE t1 USING INDEX i1 (a=?) (source: eqp.html, matrix: context, detail)
The random() function is obviously non-deterministic because it gives a different answer every time it is invoked. (source: deterministic.html, matrix: context, detail)
If executing the SELECT statement specified as the right-hand operand of the EXISTS operator would return one or more rows, then the EXISTS operator evaluates to 1. (source: lang_expr.html, checked-by: tcl/e_expr.test, matrix: context, detail)
The default value of the checkpoint_fullfsync flag is off. (source: pragma.html, checked-by: th3/req1/pragma11.test, matrix: context, detail)
If N or iOffset are less than zero SQLITE_ERROR is returned and no data is written. (source: c3ref/blob_write.html, checked-by: tcl/e_blobwrite.test, matrix: context, detail)
One might, for example, want to query all objects that overlap with the 35th parallel: SELECT id FROM demo_index WHERE maxY>=35.0 AND minY<=35.0; But, generally speaking, the more constraints that the R*Tree module has to work with, and the smaller the bounding box, the faster the results will come back. 3.4. Roundoff Error By default, coordinates are stored in an R*Tree using 32-bit floating point values. When a coordinate cannot be exactly represented by a 32-bit floating point number, the lower-bound coordinates are rounded down and the upper-bound coordinates are rounded up. Thus, bounding boxes might be slightly larger than specified, but will never be any smaller. This is exactly what is desired for doing the more common "overlapping" queries where the application wants to find every entry in the R*Tree that overlaps a query bounding box. Rounding the entry bounding boxes outward might cause a few extra entries to appears in an overlapping query if the edge of the entry bounding box corresponds to an edge of the query bounding box. But the overlapping query will never miss a valid table entry. However, for a "contained-within" style query, rounding the bounding boxes outward might cause some entries to be excluded from the result set if the edge of the entry bounding box corresponds to the edge of the query bounding box. To guard against this, applications should expand their contained-within query boxes slightly (by 0.000012%) by rounding down the lower coordinates and rounding up the top coordinates, in each dimension. 3.5. Reading And Writing At The Same Time It is the nature of the Guttman R-Tree algorithm that any write might radically restructure the tree, and in the process change the scan order of the nodes. For this reason, it is not generally possible to modify the R-Tree in the middle of a query of the R-Tree. Attempts to do so will fail with a SQLITE_LOCKED "database table is locked" error. So, for example, suppose an application runs one query against an R-Tree like this: SELECT id FROM demo_index WHERE maxY>=35.0 AND minY<=35.0; Then for each "id" value returned, suppose the application creates an UPDATE statement like the following and binds the "id" value returned against the "?1" parameter: UPDATE demo_index SET maxY=maxY+0.5 WHERE id=?1; Then the UPDATE might fail with an SQLITE_LOCKED error. The reason is that the initial query has not run to completion. It is remembering its place in the middle of a scan of the R-Tree. So an update to the R-Tree cannot be tolerated as this would disrupt the scan. It is also possible to express this kind of simultaneous read and write on an R-Tree within a single query, for example if an UPDATE statement tries to change the value of one row of the R-Tree based on a complicated query from another row of the same R-Tree, perhaps something like this: UPDATE demo_index SET maxY = (SELECT max(maxX) FROM demo_index AS x2 WHERE x2.maxY>demo_index.x2) WHERE maxY>=35.0 AND minY<=35.0; This is a limitation of the R-Tree extension only. Ordinary tables in SQLite are able to read and write at the same time. Other virtual tables might (or might not) also that capability. And R-Tree can appear to read and write at the same time in some circumstances, if it can figure out how to reliably run the query to completion before starting the update. But you shouldn't count on that for every query. Generally speaking, it is best to avoid running queries and updates to the same R-Tree at the same time. If you really need to update an R-Tree based on complex queries against the same R-Tree, it is best to run the complex queries first and store the results in a temporary table, then update the R-Tree based on the values stored in the temporary table. 4. Using R*Trees Effectively For SQLite versions prior to 3.24.0 (2018-06-04), the only information that an R*Tree index stores about an object is its integer ID and its bounding box. Additional information needs to be stored in separate tables and related to the R*Tree index using the primary key. For the example above, one might create an auxiliary table as follows: CREATE TABLE demo_data( id INTEGER PRIMARY KEY, -- primary key objname TEXT, -- name of the object objtype TEXT, -- object type boundary BLOB -- detailed boundary of object ); In this example, the demo_data.boundary field is intended to hold some kind of binary representation of the precise boundaries of the object. The R*Tree index only holds an axis-aligned rectangular boundary for the object. The R*Tree boundary is just an approximation of the true object boundary. So what typically happens is that the R*Tree index is used to narrow a search down to a list of candidate objects and then more detailed and expensive computations are done on each candidate to find if the candidate truly meets the search criteria. Key Point: An R*Tree index does not normally provide the exact answer but merely reduces the set of potential answers from millions to dozens. Suppose the demo_data.boundary field holds some proprietary data description of a complex two-dimensional boundary for an object and suppose that the application has used the sqlite3_create_function() interface to created application-defined functions "contained_in" and "overlaps" accepting two demo_data.boundary objects and return true or false. One may assume that "contained_in" and "overlaps" are relatively slow functions that we do not want to invoke too frequently. Then an efficient way to find the name of all objects located within the North Carolina 12th District, one may be to run a query like this: SELECT objname FROM demo_data, demo_index WHERE demo_data.id=demo_index.id AND contained_in(demo_data.boundary, :boundary) AND minX>=-81.0 AND maxX<=-79.6 AND minY>=35.0 AND maxY<=36.2; In the query above, one would presumably bind the binary BLOB description of the precise boundary of the 12th district to the ":boundary" parameter. Notice how the query above works: The R*Tree index runs in the outer loop to find entries that are contained within the bounding box of longitude -81..-79.6 and latitude 35.0..36.2. For each object identifier found, SQLite looks up the corresponding entry in the demo_data table. It then uses the boundary field from the demo_data table as a parameter to the contained_in() function and if that function returns true, the objname field from the demo_data table is returned as the next row of query result. One would get the same answer without the use of the R*Tree index using the following simpler query: SELECT objname FROM demo_data WHERE contained_in(demo_data.boundary, :boundary); The problem with this latter query is that it must apply the contained_in() function to millions of entries in the demo_data table. The use of the R*Tree in the penultimate query reduces the number of calls to contained_in() function to a small subset of the entire table. The R*Tree index did not find the exact answer itself, it merely limited the search space. 4.1. Auxiliary Columns Beginning with SQLite version 3.24.0 (2018-06-04), r-tree tables can have auxiliary columns that store arbitrary data. Auxiliary columns can be used in place of secondary tables such as "demo_data". Auxiliary columns are marked with a "+" symbol before the column name. Auxiliary columns must come after all of the coordinate boundary columns. There is a limit of no more than 100 auxiliary columns. The following example shows an r-tree table with auxiliary columns that is equivalent to the two tables "demo_index" and "demo_data" above: CREATE VIRTUAL TABLE demo_index2 USING rtree( id, -- Integer primary key minX, maxX, -- Minimum and maximum X coordinate minY, maxY, -- Minimum and maximum Y coordinate +objname TEXT, -- name of the object +objtype TEXT, -- object type +boundary BLOB -- detailed boundary of object ); (source: rtree.html, matrix: context, detail)
RTRIM - The same as binary, except that trailing space characters are ignored. (source: datatype3.html, checked-by: th3/req1/datatype3_09.test, matrix: context, detail)
Similarly, an INSERT statement may provide a value to use as the rowid for each row inserted. (source: lang_createtable.html, checked-by: tcl/e_createtable.test, matrix: context, detail)
SQLITE_DBSTATUS_CACHE_USED This parameter returns the approximate number of bytes of heap memory used by all pager caches associated with the database connection. (source: c3ref/c_dbstatus_options.html, checked-by: th3/req1/dbstatus01.test, matrix: context, detail)
The SQLITE_FCNTL_PRAGMA file control occurs at the beginning of pragma statement analysis and so it is able to override built-in PRAGMA statements. (source: c3ref/c_fcntl_begin_atomic_write.html, checked-by: th3/cov1/pragma24.test, matrix: context, detail)
The collating sequence set by the COLLATE operator overrides the collating sequence determined by the COLLATE clause in a table column definition. (source: lang_expr.html, checked-by: tcl/e_expr.test, matrix: context, detail)
The in-header database size is always valid when the database is only modified using recent versions of SQLite, versions 3.7.0 (2010-07-21) and later. (source: fileformat2.html, matrix: context, detail)
Statistics might not be available for all loops in all statements. (source: c3ref/stmt_scanstatus.html, checked-by: th3/cov1/status02.test, matrix: context, detail)
The xInit() method is called once for each effective call to sqlite3_initialize() (source: c3ref/pcache_methods2.html, checked-by: th3/th3pcache.c, matrix: context, detail)
The sqlite3_bind_zeroblob() and sqlite3_result_zeroblob() interfaces and the built-in zeroblob SQL function may be used to create a zero-filled blob to read or write using the incremental-blob interface. (source: c3ref/blob_open.html, checked-by: tcl/e_blobopen.test, matrix: context, detail)
The sqlite3_db_release_memory(D) interface attempts to free as much heap memory as possible from database connection D. (source: c3ref/db_release_memory.html, checked-by: tcl/shrink.test, matrix: context, detail)
If it identifies a specific database index, then just that index is recreated. (source: lang_reindex.html, checked-by: tcl/e_reindex.test, matrix: context, detail)
SQLite invokes D with P as its only argument when SQLite is finished with P. (source: c3ref/result_blob.html, matrix: context, detail)
The SQLITE_FCNTL_POWERSAFE_OVERWRITE opcode is used to set or query the persistent "powersafe-overwrite" or "PSOW" setting. (source: c3ref/c_fcntl_begin_atomic_write.html, matrix: context, detail)
If the nByte argument is negative, then zSql is read up to the first zero terminator. (source: c3ref/prepare.html, checked-by: th3/req1/prepare01.test, matrix: context, detail)
If an UPDATE statement has a LIMIT clause, the maximum number of rows that will be updated is found by evaluating the accompanying expression and casting it to an integer value. (source: lang_update.html, checked-by: tcl/e_update.test, matrix: context, detail)
Otherwise, if no column-list is specified, the number of columns in the result of the SELECT must be the same as the number of columns in the table. (source: lang_insert.html, checked-by: tcl/e_insert.test, matrix: context, detail)
The structure of the sqlite_master table is as if it had been created using the following SQL: CREATE TABLE sqlite_master( type text, name text, tbl_name text, rootpage integer, sql text ); (source: fileformat2.html, matrix: context, detail)
SQLITE_LIMIT_FUNCTION_ARG The maximum number of arguments on a function. (source: c3ref/c_limit_attached.html, checked-by: tcl/sqllimits1.test, th3/req1/limit02.test, matrix: context, detail)
Any other character matches itself or its lower/upper case equivalent (i.e. case-insensitive matching). (source: lang_expr.html, checked-by: tcl/e_expr.test, matrix: context, detail)
The PRIMARY KEY clause must contain only column names — the use of expressions in an indexed-column of a PRIMARY KEY is not supported. (source: lang_createtable.html, matrix: context, detail)
The columns of the cartesian product dataset are, in order, all the columns of the left-hand dataset followed by all the columns of the right-hand dataset. (source: lang_select.html, checked-by: tcl/e_select.test, matrix: context, detail)
When pMem is not NULL, SQLite will strive to use the memory provided to satisfy page cache needs, falling back to sqlite3_malloc() if a page cache line is larger than sz bytes or if all of the pMem buffer is exhausted. (source: c3ref/c_config_covering_index_scan.html, matrix: context, detail)
The sqlite3_log() interface writes a message into the error log established by the SQLITE_CONFIG_LOG option to sqlite3_config(). (source: c3ref/log.html, checked-by: th3/cov1/log01.test, matrix: context, detail)
Because of this, SQLite is able to plan queries with 50- or 60-way joins in a matter of microseconds Join reordering is automatic and usually works well enough that programmers do not have to think about it, especially if ANALYZE has been used to gather statistics about the available indices. (source: optoverview.html, matrix: context, detail)
Each row in a table with a primary key must have a unique combination of values in its primary key columns. (source: lang_createtable.html, checked-by: tcl/e_createtable.test, matrix: context, detail)
The following table details the conversions that are applied: InternalType RequestedType Conversion NULL INTEGER Result is 0 NULL FLOAT Result is 0.0 NULL TEXT Result is a NULL pointer NULL BLOB Result is a NULL pointer INTEGER FLOAT Convert from integer to float INTEGER TEXT ASCII rendering of the integer INTEGER BLOB Same as INTEGER->TEXT FLOAT INTEGER CAST to INTEGER FLOAT TEXT ASCII rendering of the float FLOAT BLOB CAST to BLOB TEXT INTEGER CAST to INTEGER TEXT FLOAT CAST to REAL TEXT BLOB No change BLOB INTEGER CAST to INTEGER BLOB FLOAT CAST to REAL BLOB TEXT Add a zero terminator if needed (source: c3ref/column_blob.html, checked-by: th3/req1/column02.test, matrix: context, detail)
If the declared type for a column contains any of the strings "REAL", "FLOA", or "DOUB" then the column has REAL affinity. (source: datatype3.html, checked-by: th3/req1/datatype3_01.test, matrix: context, detail)
If a numeric literal has a decimal point or an exponentiation clause or if its magnitude is less than -9223372036854775808 or greater than 9223372036854775807, then it is a floating point literal. Otherwise is it is an integer literal. (source: lang_expr.html, checked-by: th3/req1/expr01.test, matrix: context, detail)
This mode blocks (it invokes the busy-handler callback) until there is no database writer and all readers are reading from the most recent database snapshot. (source: c3ref/wal_checkpoint_v2.html, checked-by: tcl/e_walckpt.test, th3/req1/checkpoint01.test, matrix: context, detail)
If the transaction stack is not empty when the BEGIN command is invoked, then the command fails with an error. (source: lang_savepoint.html, matrix: context, detail)
If the date is already on the desired weekday, the "weekday" modifier leaves the date unchanged. (source: lang_datefunc.html, checked-by: th3/req1/date01.test, matrix: context, detail)
The SQLITE_VERSION C preprocessor macro in the sqlite3.h header evaluates to a string literal that is the SQLite version in the format "X.Y.Z" where X is the major version number (always 3 for SQLite3) and Y is the minor version number and Z is the release number. (source: c3ref/c_source_id.html, checked-by: th3/req1/version01.test, matrix: context, detail)
But if the case_sensitive_like pragma is enabled as follows: PRAGMA case_sensitive_like=ON; Then the LIKE operator pays attention to case and the example above would evaluate to false. (source: optoverview.html, matrix: context, detail)
The sqlite_sequence table is created automatically whenever any ordinary table with an AUTOINCREMENT integer primary key is created. (source: fileformat2.html, matrix: context, detail)
A subquery specified in the table-or-subquery following the FROM clause in a simple SELECT statement is handled as if it was a table containing the data returned by executing the subquery statement. (source: lang_select.html, checked-by: tcl/e_select2.test, matrix: context, detail)
Any callback set by a previous call to this function for the same database connection is overridden. (source: c3ref/update_hook.html, checked-by: th3/cov1/main15.test, matrix: context, detail)
If the L parameter is NULL, then all virtual table modules are removed. (source: c3ref/drop_modules.html, matrix: context, detail)
The new row is identified by the rowid value passed as the second argument. (source: c3ref/blob_reopen.html, checked-by: th3/req1/blob01.test, matrix: context, detail)
If additional page cache memory is needed beyond what is provided by the initial allocation, then SQLite goes to sqlite3_malloc() separately for each additional cache line. (source: c3ref/c_config_covering_index_scan.html, checked-by: th3/cov1/main42.test, matrix: context, detail)
The "reserved space" size in the 1-byte integer at offset 20 is the number of bytes of space at the end of each page to reserve for extensions. (source: fileformat2.html, checked-by: src/btree.c, matrix: context, detail)
It is possible to have an aggregate function with the same name as a simple function, as long as the number of arguments for the two forms of the function are different. (source: lang_expr.html, checked-by: th3/req1/func05.test, matrix: context, detail)
Conversions between UTF-16be and UTF-16le are always done in place and do not invalidate a prior pointer, though of course the content of the buffer that the prior pointer references will have been modified. (source: c3ref/column_blob.html, checked-by: th3/req1/column03.test, matrix: context, detail)
The "weekday" modifier advances the date forward, if necessary, to the next date where the weekday number is N. Sunday is 0, Monday is 1, and so forth. (source: lang_datefunc.html, checked-by: th3/req1/date01.test, matrix: context, detail)
A ROLLBACK will cause a pending read operation to fail only if the schema was changed within the transaction being rolled back. (source: rescode.html, matrix: context, detail)
If prepared statement P does not have results ready to return (via calls to the sqlite3_column() family of interfaces) then sqlite3_data_count(P) returns 0. (source: c3ref/data_count.html, checked-by: th3/req1/datacnt01.test, matrix: context, detail)
If the affinity of a column is REAL and that column contains a value that can be converted to an integer without loss of information (if the value contains no fractional part and is not too large to be represented as an integer) then the column may be stored in the record as an integer. (source: fileformat2.html, matrix: context, detail)
Collating functions are deleted when they are overridden by later calls to the collation creation functions or when the database connection is closed using sqlite3_close(). (source: c3ref/create_collation.html, checked-by: th3/req1/createcoll01.test, matrix: context, detail)
The COLLATE operator is a unary postfix operator that assigns a collating sequence to an expression. (source: lang_expr.html, checked-by: tcl/e_expr.test, matrix: context, detail)
If SQLite is built with the SQLITE_ENABLE_UPDATE_DELETE_LIMIT compile-time option then the syntax of the UPDATE statement is extended with optional ORDER BY and LIMIT clauses (source: lang_update.html, checked-by: tcl/e_update.test, matrix: context, detail)
If SQLite is compiled with the SQLITE_THREADSAFE=0 compile-time option then it is not possible to set the Serialized threading mode and sqlite3_config() will return SQLITE_ERROR if called with the SQLITE_CONFIG_SERIALIZED configuration option. (source: c3ref/c_config_covering_index_scan.html, checked-by: src/main.c, matrix: context, detail)
A value of 10 (0x0a) means the page is a leaf index b-tree page. (source: fileformat2.html, checked-by: src/btree.c, matrix: context, detail)
The name of the collation is a UTF-8 string for sqlite3_create_collation() and sqlite3_create_collation_v2() and a UTF-16 string in native byte order for sqlite3_create_collation16(). (source: c3ref/create_collation.html, checked-by: th3/req1/createcoll01.test, matrix: context, detail)
When that SQL function appears on the right-hand side of the MATCH operator and the left-hand side of the MATCH operator is any column in the R*Tree virtual table, then the callback defined by the third argument (xQueryFunc or xGeom) is invoked to determine if a particular object or subtree overlaps the desired region. (source: rtree.html, matrix: context, detail)
This routine actually returns the index of the largest (rightmost) parameter. For all forms except ?NNN, this will correspond to the number of unique parameters. If parameters of the ?NNN form are used, there may be gaps in the list. (source: c3ref/bind_parameter_count.html, checked-by: th3/req1/bindparamcnt01.test, matrix: context, detail)
The source database is read-locked only while it is being read; it is not locked continuously for the entire backup operation. (source: c3ref/backup_finish.html, checked-by: th3/req1/backup01.test, matrix: context, detail)
The routines sqlite3_prepare_v2(), sqlite3_prepare(), sqlite3_prepare16(), sqlite3_prepare16_v2(), sqlite3_exec(), and sqlite3_get_table() accept an SQL statement list (sql-stmt-list) which is a semicolon-separated list of statements. (source: lang.html, checked-by: th3/req1/lang01.test, matrix: context, detail)
However, application code cannot create the sqlite_sequence table if it does not already exist. (source: fileformat2.html, matrix: context, detail)
(source: syntax/detach-stmt.html, matrix: context, detail)
The soundex(X) function returns a string that is the soundex encoding of the string X. (source: lang_corefunc.html, checked-by: src/func.c, th3/cov1/func07.test, matrix: context, detail)
The SQLITE_CHECKPOINT_FULL, RESTART and TRUNCATE modes also obtain the exclusive "writer" lock on the database file. (source: c3ref/wal_checkpoint_v2.html, checked-by: src/wal.c, tcl/e_walckpt.test, matrix: context, detail)
The optional "schema-name." prefix on the table-name is supported for top-level INSERT statements only. (source: lang_insert.html, checked-by: tcl/e_insert.test, matrix: context, detail)
The 4-byte big-endian integer at offset 32 stores the page number of the first page of the freelist, or zero if the freelist is empty. (source: fileformat2.html, checked-by: src/btree.c, matrix: context, detail)
The name of the module is given by the second parameter. (source: c3ref/create_module.html, matrix: context, detail)
If sqlite3_unlock_notify() is called in a multi-threaded application, there is a chance that the blocking connection will have already concluded its transaction by the time sqlite3_unlock_notify() is invoked. If this happens, then the specified callback is invoked immediately, from within the call to sqlite3_unlock_notify(). (source: c3ref/unlock_notify.html, matrix: context, detail)
If the argument N is negative, then the number of cache pages is adjusted to be a number of pages that would use approximately abs(N*1024) bytes of memory based on the current page size. (source: pragma.html, matrix: context, detail)
The first call to sqlite3_backup_step() obtains an exclusive lock on the destination file. (source: c3ref/backup_finish.html, matrix: context, detail)
If no prepared statement satisfies the conditions of this routine, it returns NULL. (source: c3ref/next_stmt.html, checked-by: th3/cov1/vdbeapi04.test, matrix: context, detail)
If M is the size of the prior allocation, then min(N,M) bytes of the prior allocation are copied into the beginning of buffer returned by sqlite3_realloc(X,N) and the prior allocation is freed. (source: c3ref/free.html, checked-by: th3/req1/malloc02.test, matrix: context, detail)
PRAGMA checkpoint_fullfsync PRAGMA checkpoint_fullfsync = boolean; Query or change the fullfsync flag for checkpoint operations. (source: pragma.html, checked-by: th3/req1/pragma11.test, matrix: context, detail)
Only rows of the table for which the WHERE clause evaluates to true are included in the index. (source: partialindex.html, checked-by: th3/cov1/index01.test, matrix: context, detail)
Even though the function prototype shows that xEntryPoint() takes no arguments and returns void, SQLite invokes xEntryPoint() with three arguments and expects an integer result as if the signature of the entry point where as follows: int xEntryPoint( sqlite3 *db, const char **pzErrMsg, const struct sqlite3_api_routines *pThunk ); (source: c3ref/auto_extension.html, checked-by: th3/req1/autoext01.test, matrix: context, detail)
SQLITE_OPEN_FULLMUTEX The new database connection will use the "serialized" threading mode. (source: c3ref/open.html, checked-by: th3/cov1/main12.test, matrix: context, detail)
Generated columns can be interspersed among ordinary columns. (source: gencol.html, matrix: context, detail)
The rollback callback is not invoked if a transaction is automatically rolled back because the database connection is closed. (source: c3ref/commit_hook.html, matrix: context, detail)
For serial types 0, 8, 9, 12, and 13, the value is zero bytes in length. If all columns are of these types then the body section of the record is empty. (source: fileformat2.html, checked-by: th3/req1/fileformat02.test, matrix: context, detail)
This interface loads an SQLite extension library from the named file. (source: c3ref/load_extension.html, matrix: context, detail)
The multi-argument max() function returns the argument with the maximum value, or return NULL if any argument is NULL. (source: lang_corefunc.html, checked-by: th3/cov1/func02.test, th3/req1/func03.test, matrix: context, detail)
The parent key of a foreign key constraint is not allowed to use the rowid. The parent key must used named columns only. (source: lang_createtable.html, checked-by: th3/req1/foreignkeys03.test, matrix: context, detail)
A NULL operand on a mathematical operator yields a NULL result. (source: datatype3.html, checked-by: th3/req1/datatype3_06.test, matrix: context, detail)
If the most recent call to sqlite3_step(S) for the prepared statement S returned SQLITE_ROW or SQLITE_DONE, or if sqlite3_step(S) has never before been called on S, then sqlite3_reset(S) returns SQLITE_OK. (source: c3ref/reset.html, checked-by: th3/th3util.c, matrix: context, detail)
Deliberately changing out of WAL mode changes the database file format version numbers back to 1 so that older versions of SQLite can once again access the database file. (source: wal.html, checked-by: tcl/e_wal.test, matrix: context, detail)
The handler will sleep multiple times until at least "ms" milliseconds of sleeping have accumulated. (source: c3ref/busy_timeout.html, checked-by: th3/cov1/main21.test, matrix: context, detail)
The contents of the sqlite3_rtree_geometry structure are initialized by SQLite but are not subsequently modified. (source: rtree.html, matrix: context, detail)
When temp_store is FILE (1) temporary tables and indices are stored in a file. (source: pragma.html, matrix: context, detail)
The sqlite3_table_column_metadata(X,D,T,C,....) routine returns information about column C of table T in database D on database connection X. (source: c3ref/table_column_metadata.html, checked-by: th3/cov1/metadata01.test, matrix: context, detail)
Key/value pairs are separated by a single "&" character. (source: uri.html, matrix: context, detail)
If the most recent evaluation of the statement encountered no errors or if the statement is never been evaluated, then sqlite3_finalize() returns SQLITE_OK. (source: c3ref/finalize.html, checked-by: th3/req1/finalize01.test, matrix: context, detail)
The SQLite query planner might use the estimated row size information provided by the "sz=NNN" token to help it choose smaller tables and indexes that require less disk I/O. (source: fileformat2.html, checked-by: th3/cov1/index02.test, matrix: context, detail)
This API is only available if the library was compiled with the SQLITE_ENABLE_UNLOCK_NOTIFY C-preprocessor symbol defined. (source: c3ref/unlock_notify.html, matrix: context, detail)
The sqlite3_get_auxdata(C,N) interface returns a pointer to the metadata associated by the sqlite3_set_auxdata(C,N,P,X) function with the Nth argument value to the application-defined function. (source: c3ref/get_auxdata.html, matrix: context, detail)
On success, the sqlite3_prepare() family of routines return SQLITE_OK; otherwise an error code is returned. (source: c3ref/prepare.html, checked-by: th3/req1/prepare01.test, matrix: context, detail)
The sqlite3_mutex_try() interface returns SQLITE_OK upon successful entry. (source: c3ref/mutex_alloc.html, matrix: context, detail)
Format 12 is the Julian day number expressed as a floating point value. (source: lang_datefunc.html, checked-by: th3/req1/date01.test, matrix: context, detail)
The normal ROWID selection algorithm described above will generate monotonically increasing unique ROWIDs as long as you never use the maximum ROWID value and you never delete the entry in the table with the largest ROWID. (source: autoinc.html, checked-by: th3/req1/autoinc01.test, matrix: context, detail)
The column on the left side of the GLOB operator must always use the built-in BINARY collating sequence or no attempt will be made to optimize that operator with indices. (source: optoverview.html, matrix: context, detail)
Running VACUUM to rebuild the database reclaims this space and reduces the size of the database file. (source: lang_vacuum.html, checked-by: tcl/e_vacuum.test, matrix: context, detail)
Unless it returns SQLITE_MISUSE, the sqlite3_wal_checkpoint_v2() interface sets the error information that is queried by sqlite3_errcode() and sqlite3_errmsg(). (source: c3ref/wal_checkpoint_v2.html, checked-by: tcl/e_walckpt.test, matrix: context, detail)
If the default value of a column is an expression in parentheses, then the expression is evaluated once for each row inserted and the results used in the new row. (source: lang_createtable.html, checked-by: tcl/e_createtable.test, matrix: context, detail)
All query parameters are always passed through into the xOpen method of the VFS even if they are previously read and interpreted by the SQLite core. (source: uri.html, matrix: context, detail)
If the writer lock cannot be obtained immediately, and a busy-handler is configured, it is invoked and the writer lock retried until either the busy-handler returns 0 or the lock is successfully obtained. (source: c3ref/wal_checkpoint_v2.html, checked-by: src/wal.c, tcl/e_walckpt.test, matrix: context, detail)
sqlite> CREATE INDEX i3 ON t1(b); sqlite> EXPLAIN QUERY PLAN SELECT * FROM t1 WHERE a=1 OR b=2; QUERY PLAN `--MULTI-INDEX OR |--SEARCH TABLE t1 USING COVERING INDEX i2 (a=?) `--SEARCH TABLE t1 USING INDEX i3 (b=?) (source: eqp.html, matrix: context, detail)
BLOBs are encoded as hexadecimal literals. (source: lang_corefunc.html, checked-by: th3/cov1/func02.test, matrix: context, detail)
If the hard heap limit is enabled and if sqlite3_soft_heap_limit(N) is invoked with a value of N that is greater than the hard heap limit, the the soft heap limit is set to the value of the hard heap limit. (source: c3ref/hard_heap_limit64.html, matrix: context, detail)
The application_id PRAGMA is used to query or set the 32-bit signed big-endian "Application ID" integer located at offset 68 into the database header. (source: pragma.html, checked-by: th3/cov1/pragma20.test, matrix: context, detail)
The RELEASE command causes all savepoints back to and including the most recent savepoint with a matching name to be removed from the transaction stack. (source: lang_savepoint.html, matrix: context, detail)
One of the ALL or DISTINCT keywords may follow the SELECT keyword in a simple SELECT statement. (source: lang_select.html, checked-by: tcl/e_select.test, matrix: context, detail)
If a WHERE clause is specified, the WHERE expression is evaluated for each row in the input data as a boolean expression. Only rows for which the WHERE clause expression evaluates to true are included from the dataset before continuing. (source: lang_select.html, checked-by: tcl/e_select.test, matrix: context, detail)
(source: syntax/qualified-table-name.html, matrix: context, detail)
The answers from changes() and last_insert_rowid() depend on prior SQL statements, and so they are also non-deterministic. (source: deterministic.html, matrix: context, detail)
If another thread is already within the mutex, sqlite3_mutex_enter() will block and sqlite3_mutex_try() will return SQLITE_BUSY. (source: c3ref/mutex_alloc.html, matrix: context, detail)
The argument is may be either in parentheses or it may be separated from the pragma name by an equal sign. (source: pragma.html, checked-by: th3/req1/pragma01.test, matrix: context, detail)
The sqlite3_value_text16() interface extracts a UTF-16 string in the native byte-order of the host machine. (source: c3ref/value_blob.html, checked-by: th3/req1/value02.test, th3/req1/value03.test, matrix: context, detail)
In the current implementation, the update hook is not invoked when conflicting rows are deleted because of an ON CONFLICT REPLACE clause. (source: c3ref/update_hook.html, checked-by: th3/cov1/main15.test, matrix: context, detail)
SQLite will convert the value back to floating point when extracting it from the record. (source: fileformat2.html, checked-by: src/expr.c, matrix: context, detail)
The third column is the name of the database file itself, or an empty string if the database is not associated with a file. (source: pragma.html, checked-by: th3/req1/pragma14.test, matrix: context, detail)
If the memory pointer is not NULL then the alternative memory allocator is engaged to handle all of SQLites memory allocation needs. (source: c3ref/c_config_covering_index_scan.html, checked-by: src/main.c, matrix: context, detail)
If an sqlite3_exec() callback returns non-zero, the sqlite3_exec() routine returns SQLITE_ABORT without invoking the callback again and without running any subsequent SQL statements. (source: c3ref/exec.html, checked-by: th3/req1/exec01.test, matrix: context, detail)
When selecting the order of tables in a join, SQLite uses an efficient polynomial-time algorithm. (source: optoverview.html, matrix: context, detail)
The value of the default cache size is stored in the 4-byte big-endian integer located at offset 48 in the header of the database file. (source: pragma.html, checked-by: th3/req1/pragma09.test, matrix: context, detail)
If the third parameter to sqlite3_bind_text16() is not NULL, then it should be a pointer to well-formed UTF16 text. (source: c3ref/bind_blob.html, matrix: context, detail)
The DROP TRIGGER statement removes a trigger created by the CREATE TRIGGER statement. (source: lang_droptrigger.html, checked-by: tcl/e_droptrigger.test, matrix: context, detail)
The sqlite3_vfs_find() interface returns a pointer to a VFS given its name. (source: c3ref/vfs_find.html, checked-by: th3/req1/vfs01.test, matrix: context, detail)
If the function pointer is not NULL, it is invoked by sqlite3_log() to process each logging event. (source: c3ref/c_config_covering_index_scan.html, checked-by: th3/cov1/log01.test, matrix: context, detail)
SQLite will always allocate at least mxPathname+1 bytes for the output buffer xFullPathname. (source: c3ref/vfs.html, checked-by: th3/th3testvfs.c, matrix: context, detail)
A zeroblob uses a fixed amount of memory (just an integer to hold its size) while it is being processed. (source: c3ref/bind_blob.html, checked-by: th3/req1/bind02.test, matrix: context, detail)
The SQLITE_CONFIG_MEMSTATUS option takes single argument of type int, interpreted as a boolean, which enables or disables the collection of memory allocation statistics. (source: c3ref/c_config_covering_index_scan.html, checked-by: src/main.c, th3/th3main.c, matrix: context, detail)
The unlikely(X) function is equivalent to likelihood(X, 0.0625). (source: lang_corefunc.html, checked-by: src/resolve.c, matrix: context, detail)
Attempting to insert a row into the track table that does not correspond to any row in the artist table will fail, (source: foreignkeys.html, checked-by: tcl/e_fkey.test, th3/req1/foreignkeys01.test, matrix: context, detail)
The glob(X,Y) function is equivalent to the expression "Y GLOB X". (source: lang_corefunc.html, checked-by: th3/req1/func01.test, matrix: context, detail)
A "CASCADE" action propagates the delete or update operation on the parent key to each dependent child key. (source: foreignkeys.html, checked-by: tcl/e_fkey.test, th3/req1/foreignkeys16.test, matrix: context, detail)
The sqlite_master.type column will be one of the following text strings: 'table', 'index', 'view', or 'trigger' according to the type of object defined. The 'table' string is used for both ordinary and virtual tables. (source: fileformat2.html, matrix: context, detail)
The SQLITE_CONFIG_STMTJRNL_SPILL option takes a single parameter which becomes the statement journal spill-to-disk threshold. (source: c3ref/c_config_covering_index_scan.html, matrix: context, detail)
For example, a query like the following might be used to find all R*Tree entries that overlap with a circle centered a 45.3,22.9 with a radius of 5.0: SELECT id FROM demo_index WHERE id MATCH circle(45.3, 22.9, 5.0) (source: rtree.html, matrix: context, detail)
If an out-of-memory condition or IO error occurred during any prior sqlite3_backup_step() call on the same sqlite3_backup object, then sqlite3_backup_finish() returns the corresponding error code. (source: c3ref/backup_finish.html, matrix: context, detail)
The returned string is always UTF-8 encoded. (source: c3ref/column_decltype.html, matrix: context, detail)
If the X callback is NULL or if the M mask is zero, then tracing is disabled. (source: c3ref/trace_v2.html, checked-by: th3/cov1/trace01.test, matrix: context, detail)
If the 4th parameter to the sqlite3_result_text* interfaces or to sqlite3_result_blob is the special constant SQLITE_STATIC, then SQLite assumes that the text or BLOB result is in constant space and does not copy the content of the parameter nor call a destructor on the content when it has finished using that result. (source: c3ref/result_blob.html, checked-by: th3/req1/result02.test, matrix: context, detail)
The SQLite R*Tree implementation does not support R*Trees wider than 5 dimensions. (source: rtree.html, matrix: context, detail)
The sqlite3_result_int64() interface sets the return value of the application-defined function to be the 64-bit signed integer value given in the 2nd argument. (source: c3ref/result_blob.html, checked-by: th3/req1/result01.test, matrix: context, detail)
SQLITE_OPEN_READWRITE The database is opened for reading and writing if possible, or reading only if the file is write protected by the operating system. In either case the database must already exist, otherwise an error is returned. (source: c3ref/open.html, matrix: context, detail)
The xCurrentTime() method returns a Julian Day Number for the current date and time as a floating point value. (source: c3ref/vfs.html, checked-by: th3/th3testvfs.c, matrix: context, detail)
Similar queries may be run if the content of the parent key is modified or a new row is inserted into the parent table. (source: foreignkeys.html, checked-by: tcl/e_fkey.test, th3/req1/foreignkeys10.test, matrix: context, detail)
SQLITE_LIMIT_TRIGGER_DEPTH The maximum depth of recursion for triggers. (source: c3ref/c_limit_attached.html, checked-by: th3/req1/limit02.test, matrix: context, detail)
Executing any other type of SQL statement does not affect the value returned by sqlite3_total_changes(). (source: c3ref/total_changes.html, checked-by: tcl/e_totalchanges.test, matrix: context, detail)
The sqlite3_update_hook() interface does not fire callbacks for changes to a WITHOUT ROWID table. (source: withoutrowid.html, checked-by: tcl/hook.test, th3/cov1/main15.test, matrix: context, detail)
For an "ON DELETE CASCADE" action, this means that each row in the child table that was associated with the deleted parent row is also deleted. (source: foreignkeys.html, checked-by: tcl/e_fkey.test, th3/req1/foreignkeys16.test, matrix: context, detail)
SQLite will invoke sqlite3_free() on *pzErrMsg after xEntryPoint() returns. (source: c3ref/auto_extension.html, checked-by: th3/req1/autoext01.test, matrix: context, detail)
This interface is used to retrieve and reset counter values from a prepared statement. The first argument is the prepared statement object to be interrogated. The second argument is an integer code for a specific SQLITE_STMTSTATUS counter to be interrogated. (source: c3ref/stmt_status.html, matrix: context, detail)
The sqlite3_finalize(S) routine can be called at any point during the life cycle of prepared statement S: before statement S is ever evaluated, after one or more calls to sqlite3_reset(), or after any call to sqlite3_step() regardless of whether or not the statement has completed execution. (source: c3ref/finalize.html, checked-by: th3/req1/finalize01.test, matrix: context, detail)
This is the approximate number of bytes of heap memory used to store the prepared statement. (source: c3ref/c_stmtstatus_counter.html, matrix: context, detail)
SQLite invokes the xCreate() method to construct a new cache instance. (source: c3ref/pcache_methods2.html, matrix: context, detail)
If the table is initially empty, then a ROWID of 1 is used. (source: autoinc.html, checked-by: src/vdbe.c, th3/req1/autoinc01.test, matrix: context, detail)
The sqlite3_file_control() interface makes a direct call to the xFileControl method for the sqlite3_io_methods object associated with a particular database identified by the second argument. (source: c3ref/file_control.html, matrix: context, detail)
An SQL statement can be preceded by the keyword "EXPLAIN" or by the phrase "EXPLAIN QUERY PLAN". (source: lang_explain.html, checked-by: th3/cov1/vdbeaux01.test, matrix: context, detail)
The first argument after the SQLITE_DBCONFIG_LOOKASIDE verb may be NULL in which case SQLite will allocate the lookaside buffer itself using sqlite3_malloc(). (source: c3ref/c_dbconfig_defensive.html, checked-by: src/main.c, th3/req1/dbconfig01.test, matrix: context, detail)
If SQLite is compiled and configured to support threadsafe database connections, then the source database connection may be used concurrently from within other threads. (source: c3ref/backup_finish.html, matrix: context, detail)
It is not possible for an IS or IS NOT expression to evaluate to NULL. (source: lang_expr.html, checked-by: tcl/e_expr.test, matrix: context, detail)
In an index on a WITHOUT ROWID table, if a column of the PRIMARY KEY is also a column in the index and has a matching collating sequence, then the indexed column is not repeated in the table-key suffix on the end of the index record. (source: fileformat2.html, checked-by: th3/req1/fileformat04.test, matrix: context, detail)
SQLITE_LIMIT_LENGTH The maximum size of any string or BLOB or table row, in bytes. (source: c3ref/c_limit_attached.html, checked-by: tcl/sqllimits1.test, th3/req1/limit01.test, matrix: context, detail)
All calls obtain an exclusive "checkpoint" lock on the database file. (source: c3ref/wal_checkpoint_v2.html, checked-by: src/wal.c, tcl/e_walckpt.test, matrix: context, detail)
Semicolons that are embedded within string literals or quoted identifier names or comments are not independent tokens (they are part of the token in which they are embedded) and thus do not count as a statement terminator. (source: c3ref/complete.html, checked-by: th3/cov1/complete01.test, matrix: context, detail)
The changes() SQL function is a wrapper around the sqlite3_changes() C/C++ function and hence follows the same rules for counting changes. (source: lang_corefunc.html, checked-by: src/func.c, matrix: context, detail)
The typeof(X) function returns a string that indicates the datatype of the expression X: "null", "integer", "real", "text", or "blob". (source: lang_corefunc.html, checked-by: th3/cov1/func04.test, matrix: context, detail)
The date() function returns the date in this format: YYYY-MM-DD. (source: lang_datefunc.html, checked-by: th3/req1/date01.test, matrix: context, detail)
The transaction names need not be unique. (source: lang_savepoint.html, matrix: context, detail)
If the busy callback is NULL, then SQLITE_BUSY is returned immediately upon encountering the lock. (source: c3ref/busy_handler.html, checked-by: th3/req1/busy01.test, matrix: context, detail)
If the query optimizer is unable to use the index specified by the INDEX BY clause, then the query will fail with an error. (source: lang_indexedby.html, checked-by: tcl/indexedby.test, matrix: context, detail)
The number of bytes stored on the index page is never less than M. (source: fileformat2.html, matrix: context, detail)
The sqlite3_mutex_alloc() routine allocates a new mutex and returns a pointer to it. (source: c3ref/mutex_alloc.html, matrix: context, detail)
Automatically started transactions are committed when the last SQL statement finishes. (source: lang_transaction.html, matrix: context, detail)
In this implementation, the standard C library function localtime_r() is used to assist in the calculation of local time. (source: lang_datefunc.html, checked-by: src/date.c, matrix: context, detail)
New automatically generated integer primary keys for AUTOINCREMENT tables are guaranteed to be larger than the sqlite_sequence. (source: fileformat2.html, matrix: context, detail)
The SQLITE_UTF16_ALIGNED value for eTextRep forces strings to begin on an even byte address. (source: c3ref/create_collation.html, checked-by: th3/req1/createcoll01.test, matrix: context, detail)
In the extreme case where the columns being indexed cover all columns of the PRIMARY KEY, the index will consist of only the columns being indexed. The ex25acde example above demonstrates this. (source: fileformat2.html, checked-by: th3/req1/fileformat04.test, matrix: context, detail)
When one of RAISE(ROLLBACK,...), RAISE(ABORT,...) or RAISE(FAIL,...) is called during trigger-program execution, the specified ON CONFLICT processing is performed and the current query terminates. (source: lang_createtrigger.html, matrix: context, detail)
For CURRENT_TIME, the format of the value is "HH:MM:SS". (source: lang_createtable.html, checked-by: tcl/e_createtable.test, matrix: context, detail)
Comments can appear anywhere whitespace can occur, including inside expressions and in the middle of other SQL statements. (source: lang_comment.html, checked-by: th3/req1/comment01.test, matrix: context, detail)
For any given query, the fact that the OR-clause optimization described here can be used does not guarantee that it will be used. (source: optoverview.html, matrix: context, detail)
The SQLITE_OPEN_DELETEONCLOSE will be set for TEMP databases and their journals, transient databases, and subjournals. (source: c3ref/vfs.html, checked-by: th3/th3testvfs.c, matrix: context, detail)
(source: syntax/window-function-invocation.html, matrix: context, detail)
The sqlite3_result_error_toobig() interface causes SQLite to throw an error indicating that a string or BLOB is too long to represent. (source: c3ref/result_blob.html, checked-by: th3/req1/result01.test, matrix: context, detail)
New SQL statements that are started after the running statement count reaches zero are not effected by the sqlite3_interrupt(). (source: c3ref/interrupt.html, matrix: context, detail)
For example, the values NULL, 0.0, 0, 'english' and '0' are all considered to be false. (source: lang_expr.html, checked-by: tcl/e_expr.test, matrix: context, detail)
(source: syntax/type-name.html, matrix: context, detail)
The sqlite_offset(X) function returns the byte offset in the database file for the beginning of the record from which value would be read. (source: lang_corefunc.html, matrix: context, detail)
SQLite uses the path component of the URI as the name of the disk file which contains the database. (source: c3ref/open.html, checked-by: tcl/e_uri.test, matrix: context, detail)
If an error occurs while running sqlite3_backup_step(B,N), then an error code is returned. (source: c3ref/backup_finish.html, checked-by: th3/cov1/backup01.test, matrix: context, detail)
A dollar-sign followed by an identifier name also holds a spot for a named parameter with the name $AAAA. (source: lang_expr.html, checked-by: tcl/e_expr.test, matrix: context, detail)
Coincidentally, that same index is useful for locating the team leader of a particular team: SELECT person_id FROM person WHERE is_team_leader AND team_id=?1; (source: partialindex.html, checked-by: th3/cov1/index01.test, matrix: context, detail)
If for some reason, sqlite3_initialize() is unable to initialize the library (perhaps it is unable to allocate a needed resource such as a mutex) it returns an error code other than SQLITE_OK. (source: c3ref/initialize.html, matrix: context, detail)
To change from "full" or "incremental" back to "none" always requires running VACUUM even on an empty database. (source: pragma.html, checked-by: th3/req1/pragma07.test, matrix: context, detail)
The module name is registered on the database connection specified by the first parameter. (source: c3ref/create_module.html, matrix: context, detail)
The new journal mode is returned. (source: pragma.html, checked-by: th3/req1/pragma23.test, matrix: context, detail)
Note that "±NNN months" works by rendering the original date into the YYYY-MM-DD format, adding the ±NNN to the MM month value, then normalizing the result. (source: lang_datefunc.html, checked-by: th3/req1/date01.test, matrix: context, detail)
The "legacy" schema format (1) ignores index sort order. (source: lang_createindex.html, checked-by: th3/req1/createidx02.test, matrix: context, detail)
(source: syntax/join-clause.html, matrix: context, detail)
The fourth column is the index of the specific foreign key constraint that failed. (source: pragma.html, checked-by: tcl/fkey5.test, th3/cov1/fkey23.test, matrix: context, detail)
If the blocked connection is attempting to obtain a write-lock on a shared-cache table, and more than one other connection currently holds a read-lock on the same table, then SQLite arbitrarily selects one of the other connections to use as the blocking connection. (source: c3ref/unlock_notify.html, matrix: context, detail)
This function is used to write data into an open BLOB handle from a caller-supplied buffer. N bytes of data are copied from the buffer Z into the open BLOB, starting at offset iOffset. (source: c3ref/blob_write.html, checked-by: tcl/e_blobwrite.test, matrix: context, detail)
Otherwise, it is evaluated against a single arbitrarily chosen row from within the group. (source: lang_select.html, checked-by: tcl/e_select.test, matrix: context, detail)
The sqlite3_stmt_busy(S) interface returns true (non-zero) if the prepared statement S has been stepped at least once using sqlite3_step(S) but has neither run to completion (returned SQLITE_DONE from sqlite3_step(S)) nor been reset using sqlite3_reset(S). (source: c3ref/stmt_busy.html, checked-by: th3/cov1/vdbeapi03.test, matrix: context, detail)
The busy-handler callback is never invoked in the SQLITE_CHECKPOINT_PASSIVE mode. (source: c3ref/wal_checkpoint_v2.html, checked-by: src/wal.c, tcl/e_walckpt.test, th3/req1/checkpoint01.test, matrix: context, detail)
The sqlite3_result_error() and sqlite3_result_error16() functions cause the implemented SQL function to throw an exception. (source: c3ref/result_blob.html, checked-by: th3/req1/result01.test, matrix: context, detail)
sqlite> EXPLAIN QUERY PLAN SELECT t1.*, t2.* FROM t1, t2 WHERE t1.a=1 AND t1.b>2; QUERY PLAN |--SEARCH TABLE t1 USING INDEX i2 (a=? AND b>?) `--SCAN TABLE t2 (source: eqp.html, matrix: context, detail)
SQLITE_OPEN_SHAREDCACHE The database is opened shared cache enabled, overriding the default shared cache setting provided by sqlite3_enable_shared_cache(). (source: c3ref/open.html, matrix: context, detail)
The integer values returned by two invocations of "PRAGMA data_version" from the same connection will be different if changes were committed to the database by any other connection in the interim. (source: pragma.html, checked-by: tcl/pragma3.test, th3/cov1/pragma26.test, matrix: context, detail)
A pragma may have an optional schema-name before the pragma name. (source: pragma.html, checked-by: th3/req1/pragma01.test, matrix: context, detail)
The number of freelist pages is stored as a 4-byte big-endian integer in the database header at an offset of 36 from the beginning of the file. (source: fileformat2.html, matrix: context, detail)
The printf(FORMAT,...) SQL function works like the sqlite3_mprintf() C-language function and the printf() function from the standard C library. (source: lang_corefunc.html, checked-by: tcl/printf2.test, th3/cov1/printf08.test, matrix: context, detail)
If the declared type for a column contains the string "BLOB" or if no type is specified then the column has affinity BLOB. (source: datatype3.html, checked-by: th3/req1/datatype3_01.test, matrix: context, detail)
Once the view is created, it can be used in the FROM clause of another SELECT in place of a table name. (source: lang_createview.html, checked-by: th3/req1/view01.test, matrix: context, detail)
Calling sqlite3_blob_bytes() on an aborted blob handle always returns zero. (source: c3ref/blob_reopen.html, checked-by: th3/req1/blob01.test, matrix: context, detail)
Tables child6 and child7 are incorrect because while both have UNIQUE indices on their parent keys, the keys are not an exact match to the columns of a single UNIQUE index. (source: foreignkeys.html, checked-by: tcl/e_fkey.test, th3/req1/foreignkeys07.test, matrix: context, detail)
The sixth argument to sqlite3_bind_text64() must be one of SQLITE_UTF8, SQLITE_UTF16, SQLITE_UTF16BE, or SQLITE_UTF16LE to specify the encoding of the text in the third parameter. (source: c3ref/bind_blob.html, checked-by: th3/req1/bind01.test, matrix: context, detail)
New database files created by SQLite use format 4 by default. (source: fileformat2.html, checked-by: th3/req1/fileformat01.test, matrix: context, detail)
The pragma is like integrity_check except that it does not verify UNIQUE constraints and does not verify that index content matches table content. (source: pragma.html, matrix: context, detail)
If none of the arguments to max() define a collating function, then the BINARY collating function is used. (source: lang_corefunc.html, checked-by: th3/req1/func03.test, matrix: context, detail)
These APIs are only available if the library was compiled with the SQLITE_ENABLE_COLUMN_METADATA C-preprocessor symbol. (source: c3ref/column_database_name.html, matrix: context, detail)
If no schema name is specified, and the TEMP keyword is not present, the VIEW is created in the main database. (source: lang_createview.html, checked-by: th3/req1/view01.test, matrix: context, detail)
A virtual table is destroyed using the ordinary DROP TABLE statement. (source: lang_createvtab.html, matrix: context, detail)
A value of -1 means rowid and a value of -2 means that an expression is being used. (source: pragma.html, matrix: context, detail)
When the payload of a b-tree cell is too large for the b-tree page, the surplus is spilled onto overflow pages. (source: fileformat2.html, matrix: context, detail)
When an expression is a simple reference to a column of a real table (not a VIEW or subquery) then the expression has the same affinity as the table column. (source: datatype3.html, checked-by: th3/req1/datatype3_05.test, matrix: context, detail)
Calling sqlite3_close() or sqlite3_close_v2() with a NULL pointer argument is a harmless no-op. (source: c3ref/close.html, checked-by: src/main.c, th3/cov1/main23.test, matrix: context, detail)
The default encoding will be UTF-8 for databases created using sqlite3_open() or sqlite3_open_v2(). (source: c3ref/open.html, checked-by: th3/cov1/main12.test, matrix: context, detail)
In the SQL statement text input to sqlite3_prepare_v2() and its variants, literals may be replaced by a parameter that matches one of following templates: ? ?NNN :VVV @VVV $VVV In the templates above, NNN represents an integer literal, and VVV represents an alphanumeric identifier. (source: c3ref/bind_blob.html, checked-by: th3/req1/bind01.test, matrix: context, detail)
If the ORDER BY expression is an identifier that corresponds to the alias of one of the output columns, then the expression is considered an alias for that column. (source: lang_select.html, checked-by: tcl/e_select.test, matrix: context, detail)
When all collating functions having the same name are deleted, that collation is no longer usable. (source: c3ref/create_collation.html, checked-by: th3/req1/createcoll01.test, matrix: context, detail)
Triggers may be created on views, as well as ordinary tables, by specifying INSTEAD OF in the CREATE TRIGGER statement. (source: lang_createtrigger.html, matrix: context, detail)
Applications may change the content of the string returned by sqlite3_str_value(X) as long as they do not write into any bytes outside the range of 0 to sqlite3_str_length(X) and do not read or write any byte after any subsequent sqlite3_str method call. (source: c3ref/str_errcode.html, matrix: context, detail)
The SQLITE_CONFIG_PCACHE2 option takes a single argument which is a pointer to an sqlite3_pcache_methods2 object. This object specifies the interface to a custom page cache implementation. (source: c3ref/c_config_covering_index_scan.html, checked-by: src/main.c, th3/th3pcache.c, matrix: context, detail)
If the BLOB handle passed as the first argument was not opened for writing (the flags parameter to sqlite3_blob_open() was zero), this function returns SQLITE_READONLY. (source: c3ref/blob_write.html, checked-by: tcl/e_blobwrite.test, matrix: context, detail)
The P argument is a pointer to the prepared statement and the X argument is unused. (source: c3ref/c_trace.html, checked-by: th3/cov1/trace01.test, matrix: context, detail)
All subsequent calls to sqlite3_blob_read(), sqlite3_blob_write() or sqlite3_blob_reopen() on an aborted blob handle immediately return SQLITE_ABORT. (source: c3ref/blob_reopen.html, checked-by: th3/req1/blob01.test, matrix: context, detail)
This means that, provided the API is not misused, it is always safe to call sqlite3_blob_close() on *ppBlob after this function it returns. (source: c3ref/blob_open.html, checked-by: tcl/e_blobopen.test, matrix: context, detail)
The sqlite3_get_autocommit() interface returns non-zero or zero if the given database connection is or is not in autocommit mode, respectively. (source: c3ref/get_autocommit.html, matrix: context, detail)
Every WITHOUT ROWID table must have a PRIMARY KEY. (source: withoutrowid.html, checked-by: tcl/without_rowid5.test, th3/cov1/withoutrowid01.test, matrix: context, detail)
If an application uses more than one database connection then application-defined SQL functions must be added to each database connection separately. (source: c3ref/create_function.html, checked-by: th3/req1/createfunc01.test, matrix: context, detail)
Specifying an unknown parameter in the query component of a URI is not an error. (source: c3ref/open.html, checked-by: tcl/e_uri.test, matrix: context, detail)
The load_extension(X,Y) function loads SQLite extensions out of the shared library file named X using the entry point Y. (source: lang_corefunc.html, checked-by: th3/cov1/func03.test, matrix: context, detail)
The only way to change out of EXCLUSIVE locking mode is to first change out of WAL journal mode. (source: wal.html, checked-by: tcl/e_wal.test, th3/req1/pragma05.test, matrix: context, detail)
PRAGMA cache_spill; PRAGMA cache_spill=boolean; PRAGMA schema.cache_spill=N; (source: pragma.html, checked-by: tcl/pragma2.test, matrix: context, detail)
The sqlite3_str_append(X,S,N) method appends exactly N bytes from string S onto the end of the sqlite3_str object X. (source: c3ref/str_append.html, matrix: context, detail)
The expressions in a GROUP BY clause may not be aggregate expressions. (source: lang_select.html, checked-by: tcl/e_select.test, matrix: context, detail)
A negative value is interpreted as "no limit". (source: lang_update.html, checked-by: tcl/e_update.test, matrix: context, detail)
If a column-list is specified, the number of columns in the result of the SELECT must be the same as the number of items in the column-list. (source: lang_insert.html, checked-by: tcl/e_insert.test, matrix: context, detail)
The sqlite3_db_handle interface returns the database connection handle to which a prepared statement belongs. (source: c3ref/db_handle.html, checked-by: th3/req1/dbhandle01.test, matrix: context, detail)
OLD and NEW references may only be used in triggers on events for which they are relevant, as follows: INSERT NEW references are valid UPDATE NEW and OLD references are valid DELETE OLD references are valid (source: lang_createtrigger.html, matrix: context, detail)
If SQLite is compiled with the SQLITE_THREADSAFE=0 compile-time option then the entire mutexing subsystem is omitted from the build and hence calls to sqlite3_config() with the SQLITE_CONFIG_MUTEX configuration option will return SQLITE_ERROR. (source: c3ref/c_config_covering_index_scan.html, checked-by: src/main.c, th3/th3main.c, matrix: context, detail)
The outputs s0 and s1 are both weighted checksums using Fibonacci weights in reverse order. (source: fileformat2.html, matrix: context, detail)
A call to sqlite3_backup_init() will fail, returning NULL, if there is already a read or read-write transaction open on the destination database. (source: c3ref/backup_finish.html, checked-by: th3/cov1/backup01.test, matrix: context, detail)
If there are fewer than N pages on the freelist, or if N is less than 1, or if the "(N)" argument is omitted, then the entire freelist is cleared. (source: pragma.html, checked-by: th3/req1/pragma21.test, matrix: context, detail)
Calls to sqlite3_db_config() return SQLITE_OK if and only if the call is considered successful. (source: c3ref/db_config.html, checked-by: th3/req1/dbconfig01.test, matrix: context, detail)
With the "v2" interface, any of the other result codes or extended result codes might be returned as well. (source: c3ref/step.html, matrix: context, detail)
Compute the date of the first Tuesday in October for the current year. SELECT date('now','start of year','+9 months','weekday 2'); (source: lang_datefunc.html, checked-by: th3/req1/date01.test, matrix: context, detail)
The LIKE optimization is not attempted if the right-hand side is a parameter and the statement was prepared using sqlite3_prepare() or sqlite3_prepare16(). (source: optoverview.html, matrix: context, detail)
The sqlite3_shutdown() routine deallocates any resources that were allocated by sqlite3_initialize(). (source: c3ref/initialize.html, matrix: context, detail)
If the resetFlg is true, then the highest instantaneous value is reset back down to the current value. (source: c3ref/db_status.html, checked-by: th3/req1/dbstatus01.test, matrix: context, detail)
If the column-name parameter to sqlite3_table_column_metadata() is a NULL pointer, then this routine simply checks for the existence of the table and returns SQLITE_OK if the table exists and SQLITE_ERROR if it does not. (source: c3ref/table_column_metadata.html, checked-by: th3/cov1/metadata01.test, matrix: context, detail)
To read a page from the database (call it page number P), a reader first checks the WAL to see if it contains page P. If so, then the last valid instance of page P that is followed by a commit frame or is a commit frame itself becomes the value read. (source: fileformat2.html, matrix: context, detail)
The text of the child CREATE TABLE statement or statements stored in the sqlite_master table are modified to reflect the new parent table name. (source: foreignkeys.html, checked-by: tcl/e_fkey.test, th3/req1/foreignkeys21.test, matrix: context, detail)
Generated columns can participate in indexes, just like ordinary columns. (source: gencol.html, matrix: context, detail)
On second and subsequent calls to sqlite3_aggregate_context() for the same aggregate function instance, the same buffer is returned. (source: c3ref/aggregate_context.html, checked-by: th3/req1/aggcntx01.test, matrix: context, detail)
If there is no attached database N on the database connection D, or if database N is a temporary or in-memory database, then this function will return either a NULL pointer or an empty string. (source: c3ref/db_filename.html, matrix: context, detail)
If there is no OFFSET clause, or the calculated integer value is negative, the effective OFFSET value is zero. (source: lang_delete.html, checked-by: tcl/e_delete.test, matrix: context, detail)
A column with NUMERIC affinity may contain values using all five storage classes. (source: datatype3.html, checked-by: th3/req1/datatype3_01.test, matrix: context, detail)
The sqlite3_finalize() function is called to delete a prepared statement. (source: c3ref/finalize.html, checked-by: th3/req1/finalize01.test, matrix: context, detail)
If the write-ahead log is enabled (via the journal_mode pragma), this pragma causes a checkpoint operation to run on database database, or on all attached databases if database is omitted. (source: pragma.html, matrix: context, detail)
If the sqlite_stat1.idx column is NULL, then the sqlite_stat1.stat column contains a single integer which is the approximate number of rows in the table identified by sqlite_stat1.tbl. (source: fileformat2.html, matrix: context, detail)
The expression "a IN (x, y, z, ...)" is equivalent to "a = +x OR a = +y OR a = +z OR ...". (source: datatype3.html, checked-by: th3/req1/datatype3_05.test, matrix: context, detail)
date(timestring, modifier, modifier, ...) (source: lang_datefunc.html, checked-by: th3/req1/date01.test, matrix: context, detail)
No database changes are rolled back. (source: lang_createtrigger.html, matrix: context, detail)
The fifth argument to the BLOB and string binding interfaces is a destructor used to dispose of the BLOB or string after SQLite has finished with it. (source: c3ref/bind_blob.html, checked-by: th3/req1/bind01.test, matrix: context, detail)
PRAGMA schema.index_list(table-name); This pragma returns one row for each index associated with the given table. (source: pragma.html, checked-by: tcl/pragma.test, th3/req1/pragma15.test, matrix: context, detail)
The nullif(X,Y) function searches its arguments from left to right for an argument that defines a collating function and uses that collating function for all string comparisons. (source: lang_corefunc.html, checked-by: th3/req1/func03.test, matrix: context, detail)
Use sqlite3_db_config(db,SQLITE_DBCONFIG_ENABLE_LOAD_EXTENSION,..) to enable or disable only the C-API. (source: c3ref/enable_load_extension.html, matrix: context, detail)
The substr(X,Y,Z) function returns a substring of input string X that begins with the Y-th character and which is Z characters long. (source: lang_corefunc.html, checked-by: th3/cov1/func02.test, matrix: context, detail)
An aggregate query without a GROUP BY clause always returns exactly one row of data, even if there are zero rows of input data. (source: lang_select.html, checked-by: tcl/e_select.test, matrix: context, detail)
The sqlite3_expanded_sql(P) interface returns a pointer to a UTF-8 string containing the SQL text of prepared statement P with bound parameters expanded. (source: c3ref/expanded_sql.html, checked-by: th3/req1/sql01.test, matrix: context, detail)
If the ORDER BY expression is assigned a collation sequence using the postfix COLLATE operator, then the specified collation sequence is used. (source: lang_select.html, checked-by: tcl/e_select.test, matrix: context, detail)
The same SQL function may be registered multiple times using different preferred text encodings, with different implementations for each encoding. (source: c3ref/create_function.html, checked-by: th3/req1/createfunc04.test, matrix: context, detail)
The SQLITE_DEFAULT_PAGE_SIZE compile-time option can be used to change the default page size assigned to new databases. (source: pragma.html, matrix: context, detail)
(source: syntax/insert-stmt.html, matrix: context, detail)
If an UPDATE statement attempts to set an integer primary key or rowid column to a NULL or blob value, or to a string or real value that cannot be losslessly converted to an integer, a "datatype mismatch" error occurs and the statement is aborted. (source: lang_createtable.html, checked-by: tcl/e_createtable.test, matrix: context, detail)
The ltrim(X,Y) function returns a string formed by removing any and all characters that appear in Y from the left side of X. (source: lang_corefunc.html, checked-by: th3/cov1/func02.test, matrix: context, detail)
The string returned by sqlite3_expanded_sql(P), on the other hand, is obtained from sqlite3_malloc() and must be free by the application by passing it to sqlite3_free(). (source: c3ref/expanded_sql.html, checked-by: th3/req1/sql01.test, matrix: context, detail)
Any existing statements prepared using the legacy sqlite3_prepare() interface may fail with an SQLITE_SCHEMA error after the foreign_keys setting is changed. (source: pragma.html, checked-by: th3/req1/pragma19.test, matrix: context, detail)
The other columns are pairs, one pair per dimension, containing the minimum and maximum values for that dimension, respectively. (source: rtree.html, matrix: context, detail)
A TEXT value is less than a BLOB value. (source: datatype3.html, checked-by: th3/req1/datatype3_04.test, matrix: context, detail)
sqlite> SELECT * FROM > (SELECT * FROM t1 WHERE a=1 ORDER BY b LIMIT 2) AS x, > (SELECT * FROM t2 WHERE c=1 ORDER BY d LIMIT 2) AS y; QUERY PLAN |--MATERIALIZE 0x18F06F0 | `--SEARCH TABLE t1 USING COVERING INDEX i2 (a=?) |--MATERIALIZE 0x18F80D0 | |--SEARCH TABLE t2 USING INDEX i4 (c=?) | `--USE TEMP B-TREE FOR ORDER BY |--SCAN SUBQUERY 0x18F06F0 AS x `--SCAN SUBQUERY 0x18F80D0 AS y (source: eqp.html, matrix: context, detail)
SQLITE_DBSTATUS_CACHE_HIT This parameter returns the number of pager cache hits that have occurred. (source: c3ref/c_dbstatus_options.html, matrix: context, detail)
A record might have fewer values than the number of columns in the corresponding table. (source: fileformat2.html, matrix: context, detail)
If the limit is zero, then the analysis limit is disabled and the ANALYZE command will examine all rows of each index. (source: pragma.html, matrix: context, detail)
The soft_heap_limit pragma always returns the same integer that would be returned by the sqlite3_soft_heap_limit64(-1) C-language function. (source: pragma.html, checked-by: src/pragma.c, tcl/softheap1.test, matrix: context, detail)
Calling this routine with an argument less than or equal to zero turns off all busy handlers. (source: c3ref/busy_timeout.html, checked-by: th3/cov1/main21.test, matrix: context, detail)
The highwater mark associated with SQLITE_DBSTATUS_STMT_USED is always 0. (source: c3ref/c_dbstatus_options.html, checked-by: src/status.c, th3/req1/dbstatus01.test, matrix: context, detail)
All five date and time functions take a time string as an argument. (source: lang_datefunc.html, checked-by: th3/req1/date01.test, matrix: context, detail)
The temp_store_directory pragma can be used to specify the directory containing temporary files when FILE is specified. (source: pragma.html, matrix: context, detail)
If the 3rd parameter to the sqlite3_result_text* interfaces is non-negative, then as many bytes (not characters) of the text pointed to by the 2nd parameter are taken as the application-defined function result. (source: c3ref/result_blob.html, checked-by: th3/req1/result02.test, matrix: context, detail)
Invoking this pragma without an argument is equivalent to calling the sqlite3_wal_checkpoint() C interface. (source: pragma.html, checked-by: th3/req1/checkpoint01.test, matrix: context, detail)
If there are less than N rows remaining after taking the OFFSET clause into account, or if the LIMIT clause evaluated to a negative value, then all remaining rows are deleted. (source: lang_delete.html, checked-by: tcl/e_delete.test, matrix: context, detail)
The values for each column in the record immediately follow the header. (source: fileformat2.html, checked-by: src/vdbe.c, matrix: context, detail)
Note that the result from casting any non-BLOB value into a BLOB and the result from casting any BLOB value into a non-BLOB value may be different depending on whether the database encoding is UTF-8, UTF-16be, or UTF-16le. (source: lang_expr.html, checked-by: tcl/e_expr.test, matrix: context, detail)
On a checkpoint, the WAL is first flushed to persistent storage using the xSync method of the VFS. (source: fileformat2.html, matrix: context, detail)
The first ptrmap page will contain back pointer information for pages 3 through J+2, inclusive. (source: fileformat2.html, matrix: context, detail)
If X is a memory allocation previously obtained from sqlite3_malloc(), sqlite3_malloc64(), sqlite3_realloc(), or sqlite3_realloc64(), then sqlite3_msize(X) returns the size of that memory allocation in bytes. (source: c3ref/free.html, checked-by: th3/req1/malloc02.test, matrix: context, detail)
If the outer query is an aggregate, then the subquery may not contain ORDER BY. (source: optoverview.html, matrix: context, detail)
For the sqlite3_result_text16(), sqlite3_result_text16le(), and sqlite3_result_text16be() routines, and for sqlite3_result_text64() when the encoding is not UTF8, if the input UTF16 begins with a byte-order mark (BOM, U+FEFF) then the BOM is removed from the string and the rest of the string is interpreted according to the byte-order specified by the BOM. (source: c3ref/result_blob.html, matrix: context, detail)
The 6th parameter to the authorizer callback is the name of the inner-most trigger or view that is responsible for the access attempt or NULL if this access attempt is directly from top-level SQL code. (source: c3ref/c_alter_table.html, checked-by: th3/cov1/auth03.test, matrix: context, detail)
Unused database file pages are added to a "freelist" and reused for subsequent inserts. (source: pragma.html, checked-by: th3/req1/pragma07.test, matrix: context, detail)
The sqlite3_trace() callback is invoked with a UTF-8 rendering of the SQL statement text as the statement first begins executing. (source: c3ref/profile.html, checked-by: th3/cov1/main16.test, matrix: context, detail)
Note also that when adding a CHECK constraint, the CHECK constraint is not tested against preexisting rows of the table. (source: lang_altertable.html, checked-by: th3/req1/altertable01.test, matrix: context, detail)
For the purposes of this pragma, the VACUUM command is considered a schema change, since VACUUM will usual alter the "rootpage" values for entries in the sqlite_master table. (source: pragma.html, checked-by: th3/req1/pragma28.test, matrix: context, detail)
The left-most character of X is number 1. (source: lang_corefunc.html, checked-by: th3/cov1/func02.test, matrix: context, detail)
Some pragmas take effect during the SQL compilation stage, not the execution stage. (source: pragma.html, checked-by: th3/req1/pragma06.test, matrix: context, detail)
The expression may not use subqueries, aggregate functions, window functions, or table-valued functions. (source: gencol.html, matrix: context, detail)
An SQL operation that is interrupted will return SQLITE_INTERRUPT. (source: c3ref/interrupt.html, matrix: context, detail)
If every subterm of an OR clause is separately indexable then the OR clause might be coded such that a separate index is used to evaluate each term of the OR clause. (source: optoverview.html, matrix: context, detail)
The WAL is always located in the same directory as the database file and has the same name as the database file but with the string "-wal" appended. (source: fileformat2.html, matrix: context, detail)
The table has the same number of columns as the rows returned by the SELECT statement. The name of each column is the same as the name of the corresponding column in the result set of the SELECT statement. (source: lang_createtable.html, checked-by: tcl/e_createtable.test, matrix: context, detail)
SQLite may attempt to convert values between the storage classes INTEGER, REAL, and/or TEXT before performing a comparison. (source: datatype3.html, checked-by: th3/req1/datatype3_05.test, matrix: context, detail)
When auto_vacuum is enabled for a database free pages may be reclaimed after deleting data, causing the file to shrink, without rebuilding the entire database using VACUUM. (source: lang_vacuum.html, checked-by: tcl/e_vacuum.test, matrix: context, detail)
The sqlite3_backup object is created by a call to sqlite3_backup_init() and is destroyed by a call to sqlite3_backup_finish(). (source: c3ref/backup.html, checked-by: src/backup.c, th3/cov1/backup01.test, matrix: context, detail)
Thus if the BETWEEN term is not used as an index constraint and instead must be used to test input rows, the expr1 expression is only evaluated once. (source: optoverview.html, matrix: context, detail)
The string "?000" is returned if the argument is NULL or contains no ASCII alphabetic characters. (source: lang_corefunc.html, checked-by: src/func.c, th3/cov1/func07.test, matrix: context, detail)
The truncate optimization can be permanently disabled for all queries by recompiling SQLite with the SQLITE_OMIT_TRUNCATE_OPTIMIZATION compile-time switch. (source: lang_delete.html, matrix: context, detail)
The LIMIT and ORDER BY clauses (described below) are unsupported for DELETE statements within triggers. (source: lang_delete.html, checked-by: tcl/e_delete.test, matrix: context, detail)
If the subquery uses LIMIT, then the outer query may not be DISTINCT. (source: optoverview.html, matrix: context, detail)
Each column in an SQLite 3 database is assigned one of the following type affinities: TEXT NUMERIC INTEGER REAL BLOB (source: datatype3.html, checked-by: th3/req1/datatype3_05.test, matrix: context, detail)
If the authorizer callback returns any value other than SQLITE_IGNORE, SQLITE_OK, or SQLITE_DENY then the sqlite3_prepare_v2() or equivalent call that triggered the authorizer will fail with an error message. (source: c3ref/set_authorizer.html, checked-by: tcl/auth3.test, th3/cov1/auth01.test, matrix: context, detail)
The WAL journaling mode is persistent; after being set it stays in effect across multiple database connections and after closing and reopening the database. (source: pragma.html, checked-by: th3/req1/pragma24.test, matrix: context, detail)
A pragma can take either zero or one argument. (source: pragma.html, checked-by: th3/req1/pragma01.test, matrix: context, detail)
The rank of the column within the table being indexed. (source: pragma.html, checked-by: tcl/pragma.test, th3/req1/pragma15.test, matrix: context, detail)
The built-in BINARY collation compares strings byte by byte using the memcmp() function from the standard C library. (source: fileformat2.html, checked-by: src/main.c, matrix: context, detail)
For example, adding an "ON UPDATE CASCADE" clause to the foreign key as shown below enhances the example schema from section 1 to allow the user to update the artistid (the parent key of the foreign key constraint) column without breaking referential integrity: -- Database schema CREATE TABLE artist( artistid INTEGER PRIMARY KEY, artistname TEXT ); CREATE TABLE track( trackid INTEGER, trackname TEXT, trackartist INTEGER REFERENCES artist(artistid) ON UPDATE CASCADE ); sqlite> SELECT * FROM artist; artistid artistname -------- ----------------- 1 Dean Martin 2 Frank Sinatra sqlite> SELECT * FROM track; trackid trackname trackartist ------- ----------------- ----------- 11 That's Amore 1 12 Christmas Blues 1 13 My Way 2 sqlite> -- Update the artistid column of the artist record for "Dean Martin". sqlite> -- Normally, this would raise a constraint, as it would orphan the two sqlite> -- dependent records in the track table. However, the ON UPDATE CASCADE clause sqlite> -- attached to the foreign key definition causes the update to "cascade" sqlite> -- to the child table, preventing the foreign key constraint violation. sqlite> UPDATE artist SET artistid = 100 WHERE artistname = 'Dean Martin'; sqlite> SELECT * FROM artist; artistid artistname -------- ----------------- 2 Frank Sinatra 100 Dean Martin sqlite> SELECT * FROM track; trackid trackname trackartist ------- ----------------- ----------- 11 That's Amore 100 12 Christmas Blues 100 13 My Way 2 (source: foreignkeys.html, checked-by: tcl/e_fkey.test, th3/req1/foreignkeys17.test, matrix: context, detail)
If the savepoint-name in a RELEASE command does not match any savepoint currently in the transaction stack, then no savepoints are released, the database is unchanged, and the RELEASE command returns an error. (source: lang_savepoint.html, matrix: context, detail)
Otherwise, if the ORDER BY expression is any other expression, it is evaluated and the returned value used to order the output rows. (source: lang_select.html, checked-by: tcl/e_select.test, matrix: context, detail)
The default setting for secure_delete is determined by the SQLITE_SECURE_DELETE compile-time option and is normally off. (source: pragma.html, checked-by: th3/cov1/pragma20.test, th3/cov1/pragma21.test, matrix: context, detail)
sqlite3_shutdown() will invoke sqlite3_os_end(). (source: c3ref/initialize.html, matrix: context, detail)
The sqlite_stat4.sample column holds a BLOB in the record format that encodes the indexed columns followed by the rowid for a rowid table or by the columns of the primary key for a WITHOUT ROWID table. (source: fileformat2.html, matrix: context, detail)
The estimatedCost value is an estimate of the cost of a particular strategy. (source: c3ref/index_info.html, matrix: context, detail)
The WHERE clause may not contain subqueries, references to other tables, non-deterministic functions, or bound parameters. (source: partialindex.html, checked-by: th3/cov1/index01.test, matrix: context, detail)
Each prepared statement maintains various SQLITE_STMTSTATUS counters that measure the number of times it has performed specific operations. (source: c3ref/stmt_status.html, matrix: context, detail)
An operand on a mathematical operator that does not look in any way numeric and is not NULL is converted to 0 or 0.0. (source: datatype3.html, checked-by: th3/req1/datatype3_06.test, matrix: context, detail)
CREATE TABLE t1( a TEXT, -- text affinity b NUMERIC, -- numeric affinity c BLOB, -- no affinity d -- no affinity ); -- Values will be stored as TEXT, INTEGER, TEXT, and INTEGER respectively INSERT INTO t1 VALUES('500', '500', '500', 500); SELECT typeof(a), typeof(b), typeof(c), typeof(d) FROM t1; text|integer|text|integer -- Because column "a" has text affinity, numeric values on the -- right-hand side of the comparisons are converted to text before -- the comparison occurs. SELECT a < 40, a < 60, a < 600 FROM t1; 0|1|1 -- Text affinity is applied to the right-hand operands but since -- they are already TEXT this is a no-op; no conversions occur. SELECT a < '40', a < '60', a < '600' FROM t1; 0|1|1 -- Column "b" has numeric affinity and so numeric affinity is applied -- to the operands on the right. Since the operands are already numeric, -- the application of affinity is a no-op; no conversions occur. All -- values are compared numerically. SELECT b < 40, b < 60, b < 600 FROM t1; 0|0|1 -- Numeric affinity is applied to operands on the right, converting them -- from text to integers. Then a numeric comparison occurs. SELECT b < '40', b < '60', b < '600' FROM t1; 0|0|1 -- No affinity conversions occur. Right-hand side values all have -- storage class INTEGER which are always less than the TEXT values -- on the left. SELECT c < 40, c < 60, c < 600 FROM t1; 0|0|0 -- No affinity conversions occur. Values are compared as TEXT. SELECT c < '40', c < '60', c < '600' FROM t1; 0|1|1 -- No affinity conversions occur. Right-hand side values all have -- storage class INTEGER which compare numerically with the INTEGER -- values on the left. SELECT d < 40, d < 60, d < 600 FROM t1; 0|0|1 -- No affinity conversions occur. INTEGER values on the left are -- always less than TEXT values on the right. SELECT d < '40', d < '60', d < '600' FROM t1; 1|1|1 (source: datatype3.html, checked-by: th3/req1/datatype3_05.test, matrix: context, detail)
If the parameter N to sqlite3_malloc() is zero or negative then sqlite3_malloc() returns a NULL pointer. (source: c3ref/free.html, checked-by: th3/req1/malloc02.test, matrix: context, detail)
SQLite will normally invoke xFetch() with a createFlag of 0 or 1. SQLite will only use a createFlag of 2 after a prior call with a createFlag of 1 failed. (source: c3ref/pcache_methods2.html, matrix: context, detail)
In other words, the WAL can fill up with frames and then be checkpointed and then new frames can overwrite the old ones. (source: fileformat2.html, matrix: context, detail)
The callback is invoked by SQLite after the commit has taken place and the associated write-lock on the database released (source: c3ref/wal_hook.html, checked-by: tcl/e_walhook.test, matrix: context, detail)
If the right-most simple SELECT is a VALUES clause then no LIMIT clause is allowed. (source: lang_select.html, checked-by: th3/req1/select02.test, matrix: context, detail)
The SQLITE_ prefix may be omitted from the option name passed to sqlite3_compileoption_used(). (source: c3ref/compileoption_get.html, checked-by: th3/cov1/ctime01.test, matrix: context, detail)
The expression of a generated column may refer to other generated columns in the same row, but no generated column can depend upon itself, either directly or indirectly. (source: gencol.html, matrix: context, detail)
The xCurrentTimeInt64() method returns, as an integer, the Julian Day Number multiplied by 86400000 (the number of milliseconds in a 24-hour day). (source: c3ref/vfs.html, checked-by: th3/th3testvfs.c, matrix: context, detail)
The return value of the xFileControl method becomes the return value of this routine. (source: c3ref/file_control.html, matrix: context, detail)
This function returns the total number of rows inserted, modified or deleted by all INSERT, UPDATE or DELETE statements completed since the database connection was opened, including those executed as part of trigger programs. (source: c3ref/total_changes.html, checked-by: tcl/e_totalchanges.test, matrix: context, detail)
Any database name qualifier that occurs prior to the name of the object being created is removed. (source: fileformat2.html, matrix: context, detail)
BEFORE is the default when neither keyword is present. (source: lang_createtrigger.html, matrix: context, detail)
On the other hand, passive mode might leave the checkpoint unfinished if there are concurrent readers or writers. (source: c3ref/wal_checkpoint_v2.html, checked-by: tcl/e_walckpt.test, th3/req1/checkpoint01.test, matrix: context, detail)
The sqlite_stat1 is an internal table created by the ANALYZE command and used to hold supplemental information about tables and indexes that the query planner can use to help it find better ways of performing queries. (source: fileformat2.html, matrix: context, detail)
If an application-defined SQL function named "regexp" is added at run-time, then the "X REGEXP Y" operator will be implemented as a call to "regexp(Y,X)". (source: lang_expr.html, checked-by: tcl/e_expr.test, matrix: context, detail)