Small. Fast. Reliable.
Choose any three.

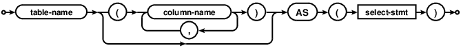
common-table-expression

syntax diagram common-table-expression
Used by:   compound-select-stmt   delete-stmt   delete-stmt-limited   factored-select-stmt   insert-stmt   select-stmt   simple-select-stmt   update-stmt   update-stmt-limited

References:   select-stmt

See also:   lang_aggfunc.html   lang_altertable.html   lang_attach.html   lang_createindex.html   lang_createtable.html   lang_createtrigger.html   lang_createview.html   lang_delete.html   lang_expr.html   lang_insert.html   lang_select.html   lang_update.html   lang_upsert.html   lang_with.html   partialindex.html