Small. Fast. Reliable.
Choose any three.

Syntax Diagrams For SQLite

sql-stmt-list:





References:   sql-stmt

See also:   lang.html

sql-stmt:



Used by:   sql-stmt-list

References:   alter-table-stmt   analyze-stmt   attach-stmt   begin-stmt   commit-stmt   create-index-stmt   create-table-stmt   create-trigger-stmt   create-view-stmt   create-virtual-table-stmt   delete-stmt   delete-stmt-limited   detach-stmt   drop-index-stmt   drop-table-stmt   drop-trigger-stmt   drop-view-stmt   insert-stmt   pragma-stmt   reindex-stmt   release-stmt   rollback-stmt   savepoint-stmt   select-stmt   update-stmt   update-stmt-limited   vacuum-stmt

See also:   lang.html   lang_explain.html

alter-table-stmt:



Used by:   sql-stmt

References:   column-def

See also:   lang_altertable.html

analyze-stmt:



Used by:   sql-stmt

See also:   lang_analyze.html

attach-stmt:



Used by:   sql-stmt

References:   expr

See also:   lang_attach.html

begin-stmt:



Used by:   sql-stmt

See also:   lang_transaction.html

commit-stmt:



Used by:   sql-stmt

See also:   lang_transaction.html

rollback-stmt:



Used by:   sql-stmt

See also:   lang_savepoint.html   lang_transaction.html

savepoint-stmt:



Used by:   sql-stmt

See also:   lang_savepoint.html

release-stmt:



Used by:   sql-stmt

See also:   lang_savepoint.html

create-index-stmt:



Used by:   sql-stmt

References:   expr   indexed-column

See also:   lang_createindex.html   partialindex.html

indexed-column:



Used by:   create-index-stmt   table-constraint   upsert-clause

References:   expr

See also:   lang_createindex.html   lang_createtable.html   lang_createtable.html#primkeyconst   lang_createtable.html#uniqueconst   lang_createtrigger.html   lang_insert.html   lang_upsert.html   partialindex.html

create-table-stmt:



Used by:   sql-stmt

References:   column-def   select-stmt   table-constraint

See also:   lang_createtable.html

column-def:



Used by:   alter-table-stmt   create-table-stmt

References:   column-constraint   type-name

See also:   lang_altertable.html   lang_altertable.html#altertabaddcol   lang_createtable.html   lang_createtable.html#tablecoldef

type-name:



Used by:   column-def   expr

References:   signed-number

See also:   lang_aggfunc.html   lang_altertable.html   lang_attach.html   lang_createindex.html   lang_createtable.html   lang_createtrigger.html   lang_createview.html   lang_delete.html   lang_expr.html   lang_insert.html   lang_select.html   lang_select.html#compound   lang_select.html#simpleselect   lang_update.html   lang_upsert.html   lang_with.html   partialindex.html

column-constraint:



Used by:   column-def

References:   conflict-clause   expr   foreign-key-clause   literal-value   signed-number

See also:   gencol.html   lang_altertable.html   lang_createtable.html   lang_createtable.html#tablecoldef

signed-number:



Used by:   column-constraint   pragma-value   type-name

See also:   lang_aggfunc.html   lang_altertable.html   lang_attach.html   lang_createindex.html   lang_createtable.html   lang_createtrigger.html   lang_createview.html   lang_delete.html   lang_expr.html   lang_insert.html   lang_select.html   lang_select.html#compound   lang_select.html#simpleselect   lang_update.html   lang_upsert.html   lang_with.html   partialindex.html   pragma.html#syntax

table-constraint:



Used by:   create-table-stmt

References:   conflict-clause   expr   foreign-key-clause   indexed-column

See also:   lang_createtable.html   lang_createtable.html#primkeyconst   lang_createtable.html#tablecoldef   lang_createtable.html#uniqueconst

foreign-key-clause:



Used by:   column-constraint   table-constraint

See also:   lang_altertable.html   lang_altertable.html#altertabaddcol   lang_createtable.html

conflict-clause:



Used by:   column-constraint   table-constraint

See also:   lang_altertable.html   lang_conflict.html   lang_createtable.html   lang_createtable.html#notnullconst

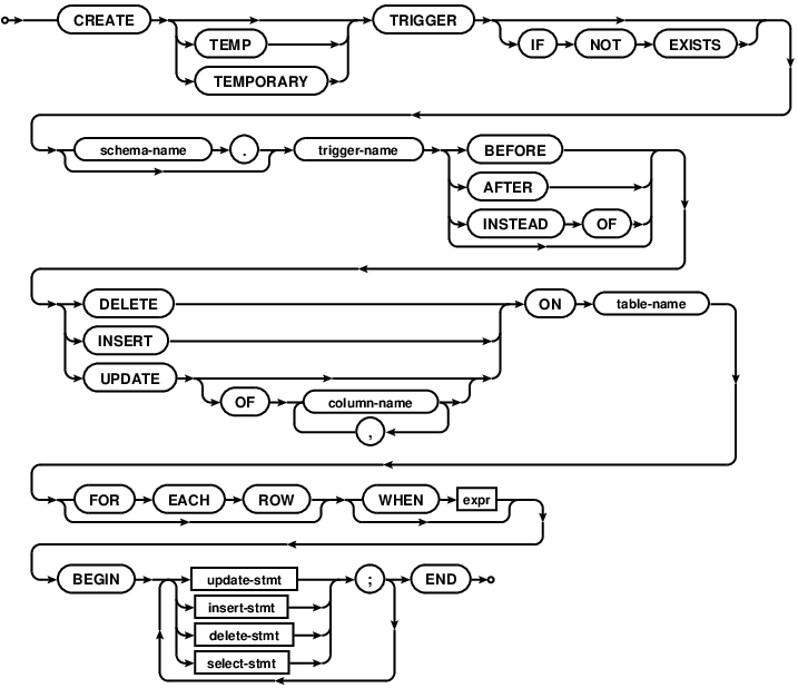
create-trigger-stmt:



Used by:   sql-stmt

References:   delete-stmt   expr   insert-stmt   select-stmt   update-stmt

See also:   lang_createtrigger.html

create-view-stmt:



Used by:   sql-stmt

References:   select-stmt

See also:   lang_createview.html

create-virtual-table-stmt:



Used by:   sql-stmt

See also:   lang_createvtab.html

with-clause:





References:   cte-table-name   select-stmt

See also:   lang_with.html

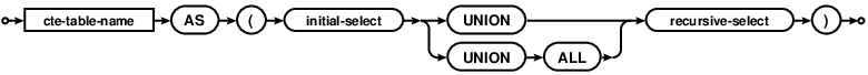
cte-table-name:



Used by:   recursive-cte   with-clause

See also:   lang_with.html   lang_with.html#recursivecte

recursive-cte:





References:   cte-table-name

See also:   lang_with.html#recursivecte

common-table-expression:



Used by:   compound-select-stmt   delete-stmt   delete-stmt-limited   factored-select-stmt   insert-stmt   select-stmt   simple-select-stmt   update-stmt   update-stmt-limited

References:   select-stmt

See also:   lang_aggfunc.html   lang_altertable.html   lang_attach.html   lang_createindex.html   lang_createtable.html   lang_createtrigger.html   lang_createview.html   lang_delete.html   lang_expr.html   lang_insert.html   lang_select.html   lang_select.html#compound   lang_select.html#simpleselect   lang_update.html   lang_upsert.html   lang_with.html   partialindex.html

delete-stmt:



Used by:   create-trigger-stmt   sql-stmt

References:   common-table-expression   expr   qualified-table-name

See also:   lang_createtrigger.html   lang_delete.html

delete-stmt-limited:



Used by:   sql-stmt

References:   common-table-expression   expr   ordering-term   qualified-table-name

See also:   lang_delete.html

detach-stmt:



Used by:   sql-stmt

See also:   lang_detach.html

drop-index-stmt:



Used by:   sql-stmt

See also:   lang_dropindex.html

drop-table-stmt:



Used by:   sql-stmt

See also:   lang_droptable.html

drop-trigger-stmt:



Used by:   sql-stmt

See also:   lang_droptrigger.html

drop-view-stmt:



Used by:   sql-stmt

See also:   lang_dropview.html

expr:



Used by:   aggregate-function-invocation   attach-stmt   column-constraint   compound-select-stmt   create-index-stmt   create-trigger-stmt   delete-stmt   delete-stmt-limited   factored-select-stmt   filter-clause   frame-spec   indexed-column   insert-stmt   join-constraint   ordering-term   over-clause   result-column   select-core   select-stmt   simple-function-invocation   simple-select-stmt   table-constraint   table-or-subquery   update-stmt   update-stmt-limited   upsert-clause   window-defn   window-function-invocation

References:   filter-clause   literal-value   over-clause   raise-function   select-stmt   type-name

See also:   lang_aggfunc.html   lang_altertable.html   lang_attach.html   lang_createindex.html   lang_createtable.html   lang_createtrigger.html   lang_createview.html   lang_delete.html   lang_expr.html   lang_insert.html   lang_select.html   lang_select.html#compound   lang_select.html#simpleselect   lang_update.html   lang_upsert.html   lang_with.html   partialindex.html

raise-function:



Used by:   expr

See also:   lang_aggfunc.html   lang_altertable.html   lang_attach.html   lang_createindex.html   lang_createtable.html   lang_createtrigger.html   lang_createtrigger.html#raise   lang_createview.html   lang_delete.html   lang_expr.html   lang_insert.html   lang_select.html   lang_select.html#compound   lang_select.html#simpleselect   lang_update.html   lang_upsert.html   lang_with.html   partialindex.html

literal-value:



Used by:   column-constraint   expr

See also:   lang_aggfunc.html   lang_altertable.html   lang_attach.html   lang_createindex.html   lang_createtable.html   lang_createtrigger.html   lang_createview.html   lang_delete.html   lang_expr.html   lang_insert.html   lang_select.html   lang_select.html#compound   lang_select.html#simpleselect   lang_update.html   lang_upsert.html   lang_with.html   partialindex.html

numeric-literal:





See also:   lang_expr.html#litvalue

insert-stmt:



Used by:   create-trigger-stmt   sql-stmt

References:   common-table-expression   expr   select-stmt   upsert-clause

See also:   lang_createtrigger.html   lang_insert.html

upsert-clause:



Used by:   insert-stmt

References:   column-name-list   expr   indexed-column

See also:   lang_createtrigger.html   lang_insert.html   lang_upsert.html

pragma-stmt:



Used by:   sql-stmt

References:   pragma-value

See also:   pragma.html#syntax

pragma-value:



Used by:   pragma-stmt

References:   signed-number

See also:   pragma.html#syntax

reindex-stmt:



Used by:   sql-stmt

See also:   lang_reindex.html

select-stmt:



Used by:   common-table-expression   create-table-stmt   create-trigger-stmt   create-view-stmt   expr   insert-stmt   sql-stmt   table-or-subquery   with-clause

References:   common-table-expression   compound-operator   expr   join-clause   ordering-term   result-column   table-or-subquery   window-defn

See also:   lang_aggfunc.html   lang_altertable.html   lang_attach.html   lang_createindex.html   lang_createtable.html   lang_createtrigger.html   lang_createview.html   lang_delete.html   lang_expr.html   lang_insert.html   lang_select.html   lang_select.html#compound   lang_select.html#simpleselect   lang_update.html   lang_upsert.html   lang_with.html   lang_with.html#recursivecte   partialindex.html

join-clause:



Used by:   select-core   select-stmt   table-or-subquery   update-stmt   update-stmt-limited

References:   join-constraint   join-operator   table-or-subquery

See also:   lang_aggfunc.html   lang_altertable.html   lang_attach.html   lang_createindex.html   lang_createtable.html   lang_createtrigger.html   lang_createview.html   lang_delete.html   lang_expr.html   lang_insert.html   lang_select.html   lang_select.html#compound   lang_select.html#simpleselect   lang_update.html   lang_upsert.html   lang_with.html   partialindex.html

select-core:



Used by:   compound-select-stmt   factored-select-stmt   simple-select-stmt

References:   expr   join-clause   result-column   table-or-subquery   window-defn

See also:   lang_select.html   lang_select.html#compound   lang_select.html#simpleselect

factored-select-stmt:





References:   common-table-expression   compound-operator   expr   ordering-term   select-core

See also:   lang_select.html

simple-select-stmt:





References:   common-table-expression   expr   ordering-term   select-core

See also:   lang_select.html#simpleselect

compound-select-stmt:





References:   common-table-expression   expr   ordering-term   select-core

See also:   lang_select.html#compound

table-or-subquery:



Used by:   join-clause   select-core   select-stmt   update-stmt   update-stmt-limited

References:   expr   join-clause   select-stmt

See also:   lang_aggfunc.html   lang_altertable.html   lang_attach.html   lang_createindex.html   lang_createtable.html   lang_createtrigger.html   lang_createview.html   lang_delete.html   lang_expr.html   lang_insert.html   lang_select.html   lang_select.html#compound   lang_select.html#simpleselect   lang_update.html   lang_upsert.html   lang_with.html   partialindex.html

result-column:



Used by:   select-core   select-stmt

References:   expr

See also:   lang_aggfunc.html   lang_altertable.html   lang_attach.html   lang_createindex.html   lang_createtable.html   lang_createtrigger.html   lang_createview.html   lang_delete.html   lang_expr.html   lang_insert.html   lang_select.html   lang_select.html#compound   lang_select.html#simpleselect   lang_update.html   lang_upsert.html   lang_with.html   partialindex.html

join-operator:



Used by:   join-clause

See also:   lang_aggfunc.html   lang_altertable.html   lang_attach.html   lang_createindex.html   lang_createtable.html   lang_createtrigger.html   lang_createview.html   lang_delete.html   lang_expr.html   lang_insert.html   lang_select.html   lang_select.html#compound   lang_select.html#fromclause   lang_select.html#simpleselect   lang_update.html   lang_upsert.html   lang_with.html   partialindex.html

join-constraint:



Used by:   join-clause

References:   expr

See also:   lang_aggfunc.html   lang_altertable.html   lang_attach.html   lang_createindex.html   lang_createtable.html   lang_createtrigger.html   lang_createview.html   lang_delete.html   lang_expr.html   lang_insert.html   lang_select.html   lang_select.html#compound   lang_select.html#fromclause   lang_select.html#simpleselect   lang_update.html   lang_upsert.html   lang_with.html   partialindex.html

ordering-term:



Used by:   compound-select-stmt   delete-stmt-limited   factored-select-stmt   over-clause   select-stmt   simple-select-stmt   update-stmt-limited   window-defn

References:   expr

See also:   lang_aggfunc.html   lang_altertable.html   lang_attach.html   lang_createindex.html   lang_createtable.html   lang_createtrigger.html   lang_createview.html   lang_delete.html   lang_expr.html   lang_insert.html   lang_select.html   lang_select.html#compound   lang_select.html#simpleselect   lang_update.html   lang_upsert.html   lang_with.html   partialindex.html

compound-operator:



Used by:   factored-select-stmt   select-stmt

See also:   lang_aggfunc.html   lang_altertable.html   lang_attach.html   lang_createindex.html   lang_createtable.html   lang_createtrigger.html   lang_createview.html   lang_delete.html   lang_expr.html   lang_insert.html   lang_select.html   lang_select.html#compound   lang_select.html#simpleselect   lang_update.html   lang_upsert.html   lang_with.html   lang_with.html#recursivecte   partialindex.html

update-stmt:



Used by:   create-trigger-stmt   sql-stmt

References:   column-name-list   common-table-expression   expr   join-clause   qualified-table-name   table-or-subquery

See also:   lang_createtrigger.html   lang_update.html

column-name-list:



Used by:   update-stmt   update-stmt-limited   upsert-clause

See also:   lang_createtrigger.html   lang_insert.html   lang_update.html   lang_upsert.html

update-stmt-limited:



Used by:   sql-stmt

References:   column-name-list   common-table-expression   expr   join-clause   ordering-term   qualified-table-name   table-or-subquery

See also:   lang_update.html#upfrom

qualified-table-name:



Used by:   delete-stmt   delete-stmt-limited   update-stmt   update-stmt-limited

See also:   lang_createtrigger.html   lang_delete.html   lang_indexedby.html   lang_update.html

vacuum-stmt:



Used by:   sql-stmt

See also:   lang_vacuum.html

comment-syntax:





See also:   lang_comment.html

filter-clause:



Used by:   aggregate-function-invocation   expr   window-function-invocation

References:   expr

See also:   lang_aggfunc.html   lang_altertable.html   lang_attach.html   lang_createindex.html   lang_createtable.html   lang_createtrigger.html   lang_createview.html   lang_delete.html   lang_expr.html   lang_insert.html   lang_select.html   lang_select.html#compound   lang_select.html#simpleselect   lang_update.html   lang_upsert.html   lang_with.html   partialindex.html

window-defn:



Used by:   select-core   select-stmt   window-function-invocation

References:   expr   frame-spec   ordering-term

See also:   lang_aggfunc.html   lang_altertable.html   lang_attach.html   lang_createindex.html   lang_createtable.html   lang_createtrigger.html   lang_createview.html   lang_delete.html   lang_expr.html   lang_insert.html   lang_select.html   lang_select.html#compound   lang_select.html#simpleselect   lang_update.html   lang_upsert.html   lang_with.html   partialindex.html

over-clause:



Used by:   expr

References:   expr   frame-spec   ordering-term

See also:   lang_aggfunc.html   lang_altertable.html   lang_attach.html   lang_createindex.html   lang_createtable.html   lang_createtrigger.html   lang_createview.html   lang_delete.html   lang_expr.html   lang_insert.html   lang_select.html   lang_select.html#compound   lang_select.html#simpleselect   lang_update.html   lang_upsert.html   lang_with.html   partialindex.html

frame-spec:



Used by:   over-clause   window-defn

References:   expr

See also:   lang_aggfunc.html   lang_altertable.html   lang_attach.html   lang_createindex.html   lang_createtable.html   lang_createtrigger.html   lang_createview.html   lang_delete.html   lang_expr.html   lang_insert.html   lang_select.html   lang_select.html#compound   lang_select.html#simpleselect   lang_update.html   lang_upsert.html   lang_with.html   partialindex.html

simple-function-invocation:





References:   expr

See also:   lang_expr.html#booleanexpr

aggregate-function-invocation:





References:   expr   filter-clause

See also:   lang_aggfunc.html   lang_expr.html#booleanexpr

window-function-invocation:





References:   expr   filter-clause   window-defn

See also:   lang_expr.html#booleanexpr