Small. Fast. Reliable.
Choose any three.

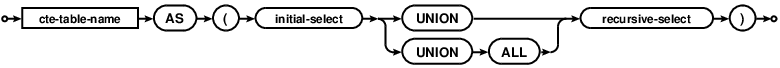
recursive-cte

syntax diagram recursive-cte


References:   cte-table-name

See also:   lang_with.html