Small. Fast. Reliable.
Choose any three.
Home
Menu
About
Documentation
Download
License
Support
Purchase
Search
About
Documentation
Download
Support
Purchase
Search Documentation
Search Changelog
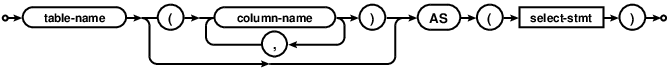
common-table-expression
Used by:
compound-select-stmt
delete-stmt
delete-stmt-limited
factored-select-stmt
insert-stmt
select-stmt
simple-select-stmt
update-stmt
update-stmt-limited
References:
select-stmt
See also:
lang_aggfunc.html
lang_altertable.html
lang_attach.html
lang_createindex.html
lang_createtable.html
lang_createtrigger.html
lang_createview.html
lang_delete.html
lang_expr.html
lang_insert.html
lang_select.html
lang_update.html
lang_upsert.html
lang_with.html
partialindex.html