Small. Fast. Reliable.
Choose any three.
Home
Menu
About
Documentation
Download
License
Support
Purchase
Search
About
Documentation
Download
Support
Purchase
Search Documentation
Search Changelog
Syntax Diagrams For SQLite
sql-stmt-list:
References:
sql-stmt
See also:
lang.html
sql-stmt:
Used by:
sql-stmt-list
References:
alter-table-stmt
analyze-stmt
attach-stmt
begin-stmt
commit-stmt
create-index-stmt
create-table-stmt
create-trigger-stmt
create-view-stmt
create-virtual-table-stmt
delete-stmt
delete-stmt-limited
detach-stmt
drop-index-stmt
drop-table-stmt
drop-trigger-stmt
drop-view-stmt
insert-stmt
pragma-stmt
reindex-stmt
release-stmt
rollback-stmt
savepoint-stmt
select-stmt
update-stmt
update-stmt-limited
vacuum-stmt
See also:
lang.html
lang_explain.html
alter-table-stmt:
Used by:
sql-stmt
References:
column-def
See also:
lang_altertable.html
analyze-stmt:
Used by:
sql-stmt
See also:
lang_analyze.html
attach-stmt:
Used by:
sql-stmt
References:
expr
See also:
lang_attach.html
begin-stmt:
Used by:
sql-stmt
See also:
lang_transaction.html
commit-stmt:
Used by:
sql-stmt
See also:
lang_transaction.html
rollback-stmt:
Used by:
sql-stmt
See also:
lang_savepoint.html
lang_transaction.html
savepoint-stmt:
Used by:
sql-stmt
See also:
lang_savepoint.html
release-stmt:
Used by:
sql-stmt
See also:
lang_savepoint.html
create-index-stmt:
Used by:
sql-stmt
References:
expr
indexed-column
See also:
lang_createindex.html
partialindex.html
indexed-column:
Used by:
create-index-stmt
table-constraint
upsert-clause
References:
expr
See also:
lang_createindex.html
lang_createtable.html
lang_createtable.html#primkeyconst
lang_createtable.html#uniqueconst
lang_createtrigger.html
lang_insert.html
lang_upsert.html
partialindex.html
create-table-stmt:
Used by:
sql-stmt
References:
column-def
select-stmt
table-constraint
See also:
lang_createtable.html
column-def:
Used by:
alter-table-stmt
create-table-stmt
References:
column-constraint
type-name
See also:
lang_altertable.html
lang_altertable.html#altertabaddcol
lang_createtable.html
lang_createtable.html#tablecoldef
type-name:
Used by:
column-def
expr
References:
signed-number
See also:
lang_aggfunc.html
lang_altertable.html
lang_attach.html
lang_createindex.html
lang_createtable.html
lang_createtrigger.html
lang_createview.html
lang_delete.html
lang_expr.html
lang_insert.html
lang_select.html
lang_select.html#compound
lang_select.html#simpleselect
lang_update.html
lang_upsert.html
lang_with.html
partialindex.html
column-constraint:
Used by:
column-def
References:
conflict-clause
expr
foreign-key-clause
literal-value
signed-number
See also:
gencol.html
lang_altertable.html
lang_createtable.html
lang_createtable.html#tablecoldef
signed-number:
Used by:
column-constraint
pragma-value
type-name
See also:
lang_aggfunc.html
lang_altertable.html
lang_attach.html
lang_createindex.html
lang_createtable.html
lang_createtrigger.html
lang_createview.html
lang_delete.html
lang_expr.html
lang_insert.html
lang_select.html
lang_select.html#compound
lang_select.html#simpleselect
lang_update.html
lang_upsert.html
lang_with.html
partialindex.html
pragma.html#syntax
table-constraint:
Used by:
create-table-stmt
References:
conflict-clause
expr
foreign-key-clause
indexed-column
See also:
lang_createtable.html
lang_createtable.html#primkeyconst
lang_createtable.html#tablecoldef
lang_createtable.html#uniqueconst
foreign-key-clause:
Used by:
column-constraint
table-constraint
See also:
lang_altertable.html
lang_altertable.html#altertabaddcol
lang_createtable.html
conflict-clause:
Used by:
column-constraint
table-constraint
See also:
lang_altertable.html
lang_conflict.html
lang_createtable.html
lang_createtable.html#notnullconst
create-trigger-stmt:
Used by:
sql-stmt
References:
delete-stmt
expr
insert-stmt
select-stmt
update-stmt
See also:
lang_createtrigger.html
create-view-stmt:
Used by:
sql-stmt
References:
select-stmt
See also:
lang_createview.html
create-virtual-table-stmt:
Used by:
sql-stmt
See also:
lang_createvtab.html
with-clause:
References:
cte-table-name
select-stmt
See also:
lang_with.html
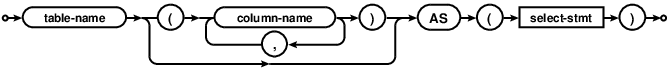
cte-table-name:
Used by:
recursive-cte
with-clause
See also:
lang_with.html
lang_with.html#recursivecte
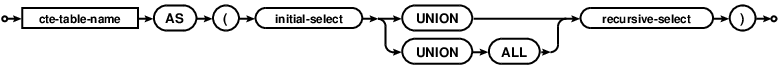
recursive-cte:
References:
cte-table-name
See also:
lang_with.html#recursivecte
common-table-expression:
Used by:
compound-select-stmt
delete-stmt
delete-stmt-limited
factored-select-stmt
insert-stmt
select-stmt
simple-select-stmt
update-stmt
update-stmt-limited
References:
select-stmt
See also:
lang_aggfunc.html
lang_altertable.html
lang_attach.html
lang_createindex.html
lang_createtable.html
lang_createtrigger.html
lang_createview.html
lang_delete.html
lang_expr.html
lang_insert.html
lang_select.html
lang_select.html#compound
lang_select.html#simpleselect
lang_update.html
lang_upsert.html
lang_with.html
partialindex.html
delete-stmt:
Used by:
create-trigger-stmt
sql-stmt
References:
common-table-expression
expr
qualified-table-name
See also:
lang_createtrigger.html
lang_delete.html
delete-stmt-limited:
Used by:
sql-stmt
References:
common-table-expression
expr
ordering-term
qualified-table-name
See also:
lang_delete.html
detach-stmt:
Used by:
sql-stmt
See also:
lang_detach.html
drop-index-stmt:
Used by:
sql-stmt
See also:
lang_dropindex.html
drop-table-stmt:
Used by:
sql-stmt
See also:
lang_droptable.html
drop-trigger-stmt:
Used by:
sql-stmt
See also:
lang_droptrigger.html
drop-view-stmt:
Used by:
sql-stmt
See also:
lang_dropview.html
expr:
Used by:
aggregate-function-invocation
attach-stmt
column-constraint
compound-select-stmt
create-index-stmt
create-trigger-stmt
delete-stmt
delete-stmt-limited
factored-select-stmt
filter-clause
frame-spec
indexed-column
insert-stmt
join-constraint
ordering-term
over-clause
result-column
select-core
select-stmt
simple-function-invocation
simple-select-stmt
table-constraint
table-or-subquery
update-stmt
update-stmt-limited
upsert-clause
window-defn
window-function-invocation
References:
filter-clause
literal-value
over-clause
raise-function
select-stmt
type-name
See also:
lang_aggfunc.html
lang_altertable.html
lang_attach.html
lang_createindex.html
lang_createtable.html
lang_createtrigger.html
lang_createview.html
lang_delete.html
lang_expr.html
lang_insert.html
lang_select.html
lang_select.html#compound
lang_select.html#simpleselect
lang_update.html
lang_upsert.html
lang_with.html
partialindex.html
raise-function:
Used by:
expr
See also:
lang_aggfunc.html
lang_altertable.html
lang_attach.html
lang_createindex.html
lang_createtable.html
lang_createtrigger.html
lang_createtrigger.html#raise
lang_createview.html
lang_delete.html
lang_expr.html
lang_insert.html
lang_select.html
lang_select.html#compound
lang_select.html#simpleselect
lang_update.html
lang_upsert.html
lang_with.html
partialindex.html
literal-value:
Used by:
column-constraint
expr
See also:
lang_aggfunc.html
lang_altertable.html
lang_attach.html
lang_createindex.html
lang_createtable.html
lang_createtrigger.html
lang_createview.html
lang_delete.html
lang_expr.html
lang_insert.html
lang_select.html
lang_select.html#compound
lang_select.html#simpleselect
lang_update.html
lang_upsert.html
lang_with.html
partialindex.html
numeric-literal:
See also:
lang_expr.html#litvalue
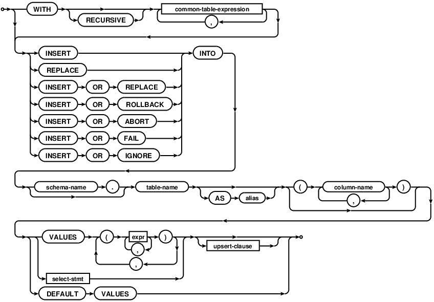
insert-stmt:
Used by:
create-trigger-stmt
sql-stmt
References:
common-table-expression
expr
select-stmt
upsert-clause
See also:
lang_createtrigger.html
lang_insert.html
upsert-clause:
Used by:
insert-stmt
References:
column-name-list
expr
indexed-column
See also:
lang_createtrigger.html
lang_insert.html
lang_upsert.html
pragma-stmt:
Used by:
sql-stmt
References:
pragma-value
See also:
pragma.html#syntax
pragma-value:
Used by:
pragma-stmt
References:
signed-number
See also:
pragma.html#syntax
reindex-stmt:
Used by:
sql-stmt
See also:
lang_reindex.html
select-stmt:
Used by:
common-table-expression
create-table-stmt
create-trigger-stmt
create-view-stmt
expr
insert-stmt
sql-stmt
table-or-subquery
with-clause
References:
common-table-expression
compound-operator
expr
join-clause
ordering-term
result-column
table-or-subquery
window-defn
See also:
lang_aggfunc.html
lang_altertable.html
lang_attach.html
lang_createindex.html
lang_createtable.html
lang_createtrigger.html
lang_createview.html
lang_delete.html
lang_expr.html
lang_insert.html
lang_select.html
lang_select.html#compound
lang_select.html#simpleselect
lang_update.html
lang_upsert.html
lang_with.html
lang_with.html#recursivecte
partialindex.html
join-clause:
Used by:
select-core
select-stmt
table-or-subquery
update-stmt
update-stmt-limited
References:
join-constraint
join-operator
table-or-subquery
See also:
lang_aggfunc.html
lang_altertable.html
lang_attach.html
lang_createindex.html
lang_createtable.html
lang_createtrigger.html
lang_createview.html
lang_delete.html
lang_expr.html
lang_insert.html
lang_select.html
lang_select.html#compound
lang_select.html#simpleselect
lang_update.html
lang_upsert.html
lang_with.html
partialindex.html
select-core:
Used by:
compound-select-stmt
factored-select-stmt
simple-select-stmt
References:
expr
join-clause
result-column
table-or-subquery
window-defn
See also:
lang_select.html
lang_select.html#compound
lang_select.html#simpleselect
factored-select-stmt:
References:
common-table-expression
compound-operator
expr
ordering-term
select-core
See also:
lang_select.html
simple-select-stmt:
References:
common-table-expression
expr
ordering-term
select-core
See also:
lang_select.html#simpleselect
compound-select-stmt:
References:
common-table-expression
expr
ordering-term
select-core
See also:
lang_select.html#compound
table-or-subquery:
Used by:
join-clause
select-core
select-stmt
update-stmt
update-stmt-limited
References:
expr
join-clause
select-stmt
See also:
lang_aggfunc.html
lang_altertable.html
lang_attach.html
lang_createindex.html
lang_createtable.html
lang_createtrigger.html
lang_createview.html
lang_delete.html
lang_expr.html
lang_insert.html
lang_select.html
lang_select.html#compound
lang_select.html#simpleselect
lang_update.html
lang_upsert.html
lang_with.html
partialindex.html
result-column:
Used by:
select-core
select-stmt
References:
expr
See also:
lang_aggfunc.html
lang_altertable.html
lang_attach.html
lang_createindex.html
lang_createtable.html
lang_createtrigger.html
lang_createview.html
lang_delete.html
lang_expr.html
lang_insert.html
lang_select.html
lang_select.html#compound
lang_select.html#simpleselect
lang_update.html
lang_upsert.html
lang_with.html
partialindex.html
join-operator:
Used by:
join-clause
See also:
lang_aggfunc.html
lang_altertable.html
lang_attach.html
lang_createindex.html
lang_createtable.html
lang_createtrigger.html
lang_createview.html
lang_delete.html
lang_expr.html
lang_insert.html
lang_select.html
lang_select.html#compound
lang_select.html#fromclause
lang_select.html#simpleselect
lang_update.html
lang_upsert.html
lang_with.html
partialindex.html
join-constraint:
Used by:
join-clause
References:
expr
See also:
lang_aggfunc.html
lang_altertable.html
lang_attach.html
lang_createindex.html
lang_createtable.html
lang_createtrigger.html
lang_createview.html
lang_delete.html
lang_expr.html
lang_insert.html
lang_select.html
lang_select.html#compound
lang_select.html#fromclause
lang_select.html#simpleselect
lang_update.html
lang_upsert.html
lang_with.html
partialindex.html
ordering-term:
Used by:
compound-select-stmt
delete-stmt-limited
factored-select-stmt
over-clause
select-stmt
simple-select-stmt
update-stmt-limited
window-defn
References:
expr
See also:
lang_aggfunc.html
lang_altertable.html
lang_attach.html
lang_createindex.html
lang_createtable.html
lang_createtrigger.html
lang_createview.html
lang_delete.html
lang_expr.html
lang_insert.html
lang_select.html
lang_select.html#compound
lang_select.html#simpleselect
lang_update.html
lang_upsert.html
lang_with.html
partialindex.html
compound-operator:
Used by:
factored-select-stmt
select-stmt
See also:
lang_aggfunc.html
lang_altertable.html
lang_attach.html
lang_createindex.html
lang_createtable.html
lang_createtrigger.html
lang_createview.html
lang_delete.html
lang_expr.html
lang_insert.html
lang_select.html
lang_select.html#compound
lang_select.html#simpleselect
lang_update.html
lang_upsert.html
lang_with.html
lang_with.html#recursivecte
partialindex.html
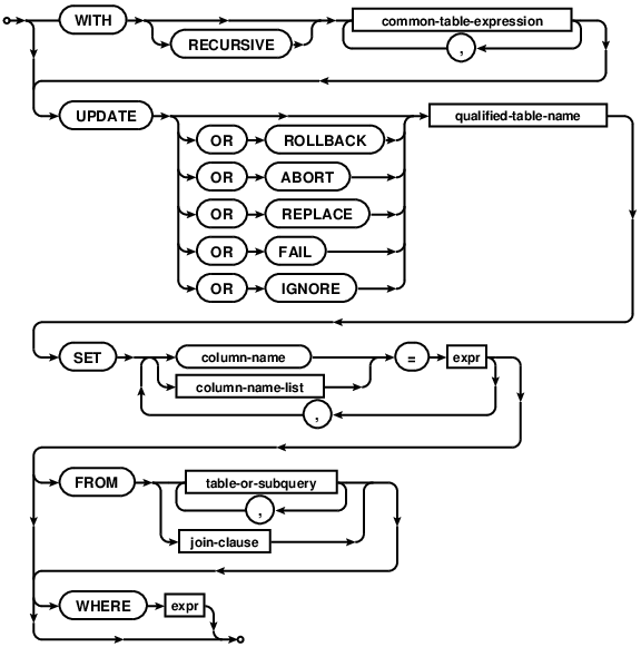
update-stmt:
Used by:
create-trigger-stmt
sql-stmt
References:
column-name-list
common-table-expression
expr
join-clause
qualified-table-name
table-or-subquery
See also:
lang_createtrigger.html
lang_update.html
column-name-list:
Used by:
update-stmt
update-stmt-limited
upsert-clause
See also:
lang_createtrigger.html
lang_insert.html
lang_update.html
lang_upsert.html
update-stmt-limited:
Used by:
sql-stmt
References:
column-name-list
common-table-expression
expr
join-clause
ordering-term
qualified-table-name
table-or-subquery
See also:
lang_update.html#upfrom
qualified-table-name:
Used by:
delete-stmt
delete-stmt-limited
update-stmt
update-stmt-limited
See also:
lang_createtrigger.html
lang_delete.html
lang_indexedby.html
lang_update.html
vacuum-stmt:
Used by:
sql-stmt
See also:
lang_vacuum.html
comment-syntax:
See also:
lang_comment.html
filter-clause:
Used by:
aggregate-function-invocation
expr
window-function-invocation
References:
expr
See also:
lang_aggfunc.html
lang_altertable.html
lang_attach.html
lang_createindex.html
lang_createtable.html
lang_createtrigger.html
lang_createview.html
lang_delete.html
lang_expr.html
lang_insert.html
lang_select.html
lang_select.html#compound
lang_select.html#simpleselect
lang_update.html
lang_upsert.html
lang_with.html
partialindex.html
window-defn:
Used by:
select-core
select-stmt
window-function-invocation
References:
expr
frame-spec
ordering-term
See also:
lang_aggfunc.html
lang_altertable.html
lang_attach.html
lang_createindex.html
lang_createtable.html
lang_createtrigger.html
lang_createview.html
lang_delete.html
lang_expr.html
lang_insert.html
lang_select.html
lang_select.html#compound
lang_select.html#simpleselect
lang_update.html
lang_upsert.html
lang_with.html
partialindex.html
over-clause:
Used by:
expr
References:
expr
frame-spec
ordering-term
See also:
lang_aggfunc.html
lang_altertable.html
lang_attach.html
lang_createindex.html
lang_createtable.html
lang_createtrigger.html
lang_createview.html
lang_delete.html
lang_expr.html
lang_insert.html
lang_select.html
lang_select.html#compound
lang_select.html#simpleselect
lang_update.html
lang_upsert.html
lang_with.html
partialindex.html
frame-spec:
Used by:
over-clause
window-defn
References:
expr
See also:
lang_aggfunc.html
lang_altertable.html
lang_attach.html
lang_createindex.html
lang_createtable.html
lang_createtrigger.html
lang_createview.html
lang_delete.html
lang_expr.html
lang_insert.html
lang_select.html
lang_select.html#compound
lang_select.html#simpleselect
lang_update.html
lang_upsert.html
lang_with.html
partialindex.html
simple-function-invocation:
References:
expr
See also:
lang_expr.html#booleanexpr
aggregate-function-invocation:
References:
expr
filter-clause
See also:
lang_aggfunc.html
lang_expr.html#booleanexpr
window-function-invocation:
References:
expr
filter-clause
window-defn
See also:
lang_expr.html#booleanexpr